Publications
2026
Andrei Stankevych, Naomi Kinaret, Andriy Zhugayevych, Rishabh Saxena, Alexander Vakhnin, Kun-Han Lin, Denis Andrienko, Heinz Bässler, Anna Köhler and Andriy Kadashchuk
Magdalena Sophie Dörfler, Heinz Bässler, Harald Oberhofer and Anna Köhler
Advances in the development of organic field-effect transistors (OFETs), electrically gated organic semiconductors (EGOFETs), and organic electrochemical transistors (OECTs) allow for the operation of these devices at very high charge-carrier densities, where Coulomb interactions between carriers can be expected to become significant. We have studied the effects of such Coulomb interactions in an OFET-like structure […]
Lion Krüger, Fabian Brütting, Michael Baumann, Moritz B. Heindl, Maximilian Spies, Anna Köhler, Alexander J. C. Kühne and Georg Herink
J. Chem. Phys. 164, 084201 (2026) [DOI]
Quantum wells made of quasi two-dimensional organic–inorganic hybrid perovskites (2D-PKs) offer a high degree of flexibility in tailoring optoelectronic properties through carrier confinement and functional interlayers. Compared to their 3D counterparts, 2D-PKs exhibit tunable photoluminescence, excitonic binding at room temperature, and enhanced structural stability. However, the dynamics of photoinduced charge carriers and their transport properties […]
Fatemeh Haddadi Barzoki, Markus Griesbach, Anna Köhler and Helen Grüninger
ACS Energy Lett. [DOI]
Mixed halide perovskites often undergo reversible phase segregation under illumination, yet the exact underlying mechanism and the material properties affecting this process remain unclear. By combining time-resolved photoluminescence (TRPL) with in situ X-ray diffraction (XRD) under illumination, we show that segregation kinetics and the thermodynamic limit of segregation under illumination in MAPbI1.5Br1.5 are not intrinsically […]
2025
Satyadeep Waiba, Manami Banerjee, Lindsey Frederiksen, Aleksander Jaworski, Susanna Monti, Giovanni Barcaro, Kaan Karaca, Xiufang He, Anna Rokicińska, Thanh Huyen Vuong, Gianvito Vilé, Piotr Kuśtrowski, Jabor Rabeah, David Reyes, Peng Ren, Sergey Bagnich, Anna Köhler, Daniel Hohenberger, Josef Breu, Paul J. Dyson and Shoubhik Das
J. Am. Chem. Soc. (2025) 147, 44, 40282–40295 [DOI]
Green hydrogen is widely regarded as a key to a sustainable future, offering a clean and flexible fuel option for decarbonizing the energy, transport, and industrial sectors. While photocatalytic approaches are known for generating hydrogen directly from water, most existing methods require (over)stoichiometric amounts of sacrificial reagents, which is far from ideal for the production […]
Rakesh Maiti, Aritra Nath, Ana B. R. Guimarães, Sergey Bagnich, Anna Köhler, Feliu Maseras and Shoubhik Das
J. Am. Chem. Soc. (2025) 147, 42, 38021–38032 [DOI]
Visible-light-mediated difunctionalization of nonactivated alkenes offers a sustainable and efficient strategy for constructing diverse molecular frameworks relevant to medicinal chemistry, polymer science, and synthesis of fine chemicals. While established approaches─such as photoredox catalysis, energy transfer (EnT), and ligand-to-metal charge transfer (LMCT)─have demonstrated success, they typically require external photocatalysts to achieve high reactivity. Alternatively, electron donor–acceptor […]
Rishabh Saxena, Giacomo Cotelli, Kleitos Stavrou, Engin Torun, Larissa G. Franca, Andrew P. Monkman, Stefano Gottardi and Anna Köhler
Phys. Rev. Applied 24 (2025) 024064 [DOI]
We investigate loss mechanisms in hyperfluorescent organic light-emitting diodes (HF-OLEDs) with the emissive layer consisting of a host, a thermally activated delayed fluorescence (TADF) sensitizer, and a terminal emitter. We focus on understanding how the relative energy levels between the TADF sensitizer and terminal emitter impact device efficiency and roll-off through the formation and subsequent […]
Tobias Siegert, Prerna Pahwa, Markus Griesbach, Frank-Julian Kahle, Harald Oberhofer, Anna Köhler and Helen Grüninger
Adv. Funct. Mater. (2025) e10920 [DOI]
Halide migration limits the stability of hybrid halide perovskites for optoelectronic applications, yet can be decelerated at room temperature by adding ionic liquids. An approach is presented to quantitatively evaluate the diffusion of I− and Br− to form MAPbIxBr3-x from neat perovskite powders. First, in situ X-ray diffraction (XRD) data are used to extract the […]
Giacomo Cotelli, Engin Torun, Stefano Gottardi and Anna Köhler
Phys. Rev. B 112 (2025) 035307 [DOI]
In organic semiconductor devices, the deposition of organic layers may result in intermixed regions or rough interfaces between layers. To examine how roughness at organic-organic interfaces influences device performance, we conducted mesoscopic device simulations using a three-dimensional kinetic Monte Carlo algorithm. We simulated devices containing interfaces with periodic corrugation of either triangular or rectangular cross […]
Magdalena S. Dörfler, Heinz Bässler, Andrey Kadashchuk, Harald Oberhofer and Anna Köhler
J. Mater. Chem. C (2025) 13 14962-14971 [DOI]
The conventional Miller–Abrahams (MA) rate is a frequently applied rate for modeling the hopping transport of charges or excitons in organic semiconductors. However, the expression known as Miller–Abrahams rate is an approximation that has a more limited range of validity than the original, full expression. We study the effect of both rates in Kinetic Monte […]
Merlin R. Stühler, Hesam Makki, Dorothee Silbernagl, Mathias Dimde, Kai Ludwig, Bengt E. Tegner, Christopher Greve, Konstantin Rausch, Eva M. Herzig, Anna Köhler, Alex J. Plajer
Adv. Funct. Mater. 2025, 2507793 [DOI]
Supramolecular self-assembly of stacked architectures is typically achieved through hydrogen bonding or π–π interactions between monomers constructed from stable and inert bonds. In contrast, coordinative interactions of early metals promise distinct self-assembly behaviour due to more flexible bonding geometries and a wider range of stabilities and exchange kinetics. In this report we demonstrate that tailoring […]
Maximilian Spies, Simon Biberger, Fabian Eller, Eva M. Herzig, Anna Köhler
Adv. Electron. Mater. (2025) 2500060 [DOI]
The solution-based fabrication of reproducible, high-quality lead iodide perovskite films demands a detailed understanding of the crystallization dynamics, which is mainly determined by the perovskite precursor solution and its processing conditions. A systematic in situ study is conducted during the critical phase before the nucleation in solution to elucidate the formation dynamics of lead iodide […]
2024
Simon Biberger, Nico Leupold, Maximilian Spies, Konstantin Schötz, Frank-Julian Kahle, Ralf Moos, Helen Grüninger and Fabian Panzer
J. Mater. Chem. C, (2024) [DOI]
Efficient perovskite solar cells require metal halide perovskite (MHP) films of consistent and reproducible high quality. MHP films are frequently prepared through a solution-based solvent-engineering spin coating approach. This processing involves considering various controllable parameters (e.g. spin speed) and ones that are more difficult to control (e.g. changes in atmosphere) to fabricate MHP films reliably. To address this issue, we developed a closed-loop feedback system based on a multimodal optical in situ spectroscopy spin coater system. We combine this system with real-time monitoring and analysis of the optical spectra during the spin coating process. As soon as a parameter of interest reaches a predefined target level, perovskite crystallization is automatically induced by dispensing the antisolvent via a syringe pump. To demonstrate our approach, we optically monitor the precursor solution film thickness as the parameter of interest during the spin coating. We intentionally vary the evaporation kinetics by spin coating at different spin speeds between 2000 and 1250 rpm and compare our reactive method to the common time-based approach. We find that our method reliably counteracts effects like variation in solvent evaporation rate due to atmospheric changes and reduces the human impact on the processing, thus leading to reproducible film quality for all spin speeds without any optimization steps.Efficient perovskite solar cells require metal halide perovskite (MHP) films of consistent and reproducible high quality. MHP films are frequently prepared through a solution-based solvent-engineering spin coating approach. This processing involves considering various controllable parameters (e.g. spin speed) and ones that are more difficult to control (e.g. changes in atmosphere) to fabricate MHP films reliably. To address this issue, we developed a closed-loop feedback system based on a multimodal optical in situ spectroscopy spin coater system. We combine this system with real-time monitoring and analysis of the optical spectra during the spin coating process. As soon as a parameter of interest reaches a predefined target level, perovskite crystallization is automatically induced by dispensing the antisolvent via a syringe pump. To demonstrate our approach, we optically monitor the precursor solution film thickness as the parameter of interest during the spin coating. We intentionally vary the evaporation kinetics by spin coating at different spin speeds between 2000 and 1250 rpm and compare our reactive method to the common time-based approach. We find that our method reliably counteracts effects like variation in solvent evaporation rate due to atmospheric changes and reduces the human impact on the processing, thus leading to reproducible film quality for all spin speeds without any optimization steps.
Christina Witt, Konstantin Schötz, Anna Köhler and Fabian Panzer
J. Phys. Chem. C (2024) [DOI]
The Urbach energy as a measure of energetic disorder is an important characteristic of semiconductors to evaluate their optoelectronic functionality. However, discrepancies occur in Urbach energy values EU determined via different measurement and analysis methods, whose origin of a profound understanding is still missing. To reliably analyze the origin of such discrepancies, we recorded quasi-simultaneously temperature-dependent absorption and photoluminescence (PL) spectra of halide perovskite (MAPbI3) thin-film and single-crystal samples. Performing profound Urbach analyses in an extended energy range down to 0.2 eV below the bandgap, we find energy-range-dependent exaggeration effects on Urbach energy values to be only present in the near bandgap region (∼0.02 eV below the bandgap), where non-Urbach absorption states start to contribute. Besides that, generally lower EU values and a lower temperature-dependence of EU are obtained from PL than from absorption, which originates from the sensitivity of PL for sites with lower energetic disorder and/or higher phonon energies in the excited-state geometry. Thus, our work is sensitized to proper interpretation and comparison of EU values and contributes to developing a more fundamental understanding of semiconductor materials.The Urbach energy as a measure of energetic disorder is an important characteristic of semiconductors to evaluate their optoelectronic functionality. However, discrepancies occur in Urbach energy values EU determined via different measurement and analysis methods, whose origin of a profound understanding is still missing. To reliably analyze the origin of such discrepancies, we recorded quasi-simultaneously temperature-dependent absorption and photoluminescence (PL) spectra of halide perovskite (MAPbI3) thin-film and single-crystal samples. Performing profound Urbach analyses in an extended energy range down to 0.2 eV below the bandgap, we find energy-range-dependent exaggeration effects on Urbach energy values to be only present in the near bandgap region (∼0.02 eV below the bandgap), where non-Urbach absorption states start to contribute. Besides that, generally lower EU values and a lower temperature-dependence of EU are obtained from PL than from absorption, which originates from the sensitivity of PL for sites with lower energetic disorder and/or higher phonon energies in the excited-state geometry. Thus, our work is sensitized to proper interpretation and comparison of EU values and contributes to developing a more fundamental understanding of semiconductor materials.
Larissa G. Franca, Andrew Dano, Rishabh Saxena, Suman Kuila , Kleitos Stavrou, Chunyong Li, Stefan Wedler, Anna Köhler and Andrew P. Monkman
J. Phys. Chem. Lett. (2024) 15 1734–1740 [DOI]
Optical pump–probe techniques allow for an in-depth study of dark excited states. Here, we utilize them to map and gain insights into the excited states involved in the thermally activated delayed fluorescence (TADF) mechanism of a benchmark TADF emitter DMAC-TRZ. The results identify different electronic excited states involved in the key TADF transitions and their nature by combining pump–probe and photoluminescence measurements. The photoinduced absorption signals are highly dependent on polarity, affecting the transition oscillator strength but not their relative energy positions. In methylcyclohexane, a strong and vibronically structured local triplet excited state absorption (3LE → 3LEn) is observed, which is quenched in higher polarity solvents as 3CT becomes the lowest triplet state. Furthermore, ultrafast transient absorption (fsTA) confirms the presence of two stable conformers of DMAC-TRZ: (1) quasi-axial (QA) interconverting within 20 ps into (2) quasi-equatorial (QE) in the excited state. Moreover, fsTA highlights how sensitive excited state couplings are to the environment and the molecular conformation.Optical pump–probe techniques allow for an in-depth study of dark excited states. Here, we utilize them to map and gain insights into the excited states involved in the thermally activated delayed fluorescence (TADF) mechanism of a benchmark TADF emitter DMAC-TRZ. The results identify different electronic excited states involved in the key TADF transitions and their nature by combining pump–probe and photoluminescence measurements. The photoinduced absorption signals are highly dependent on polarity, affecting the transition oscillator strength but not their relative energy positions. In methylcyclohexane, a strong and vibronically structured local triplet excited state absorption (3LE → 3LEn) is observed, which is quenched in higher polarity solvents as 3CT becomes the lowest triplet state. Furthermore, ultrafast transient absorption (fsTA) confirms the presence of two stable conformers of DMAC-TRZ: (1) quasi-axial (QA) interconverting within 20 ps into (2) quasi-equatorial (QE) in the excited state. Moreover, fsTA highlights how sensitive excited state couplings are to the environment and the molecular conformation.
2023
Andrei Stankevych, Rishabh Saxena, Jeannine Grüne, Sebastian Lulei, Andreas Sperlich, Stavros Athanasopoulos, Alexander Vakhnin, Prakhar Sahay, Wolfgang Brütting, Vladimir Dyakonov, Heinz Bässler, Anna Köhler and Andrey Kadashchuk
Phys. Rev. Applied (2023) 20, 064029 [DOI]
It is generally believed that intrinsic charge generation via an autoionization mechanism in pristine single-component organic semiconductors is impossible upon photoexcitation within the lowest excited singlet state due to the large exciton binding energy. However, we present measurements of thermally stimulated luminescence, light-induced ESR, and photocurrent in the carbazole-based molecule 3′,5-di(9H-carbazol-9-yl)-[1,1′-biphenyl]-3-carbonitrile (mCBP-CN) films, revealing that charge-carrier pairs are efficiently produced upon excitation near their absorption edges. The photocurrent measurements show a superlinear dependence on the cw-photoexcitation intensity even at very low excitation power (below 1mW/cm2), suggesting a bimolecular nature of the charge photogeneration process. The photocurrent measured over a broad temperature range of 5–300 K exhibits a prominent maximum at moderately low temperature around 170 K and rolls off significantly at higher temperatures. This correlates remarkably with the maximum of delayed fluorescence induced by bimolecular triplet-triplet annihilation (TTA), i.e., triplet fusion, in this material. This behavior implies that the photocurrent is governed mainly by the TTA-induced production of geminate pairs and only a little by their subsequent dissociation. Moreover, we find that the field-assisted dissociation probability of photogenerated charge pairs becomes almost temperature-independent at temperatures below 100 K. This can be quantitatively described using a charge dissociation model accounting for the energy disorder and the distribution of geminate-pair radii. The key conclusion of this study is that triplet fusion can promote the energy up-conversion (to 5.42 eV), thereby enabling the autoionization of a high-energy neutral excited state. This serves as the predominant mechanism of intrinsic photogeneration in this single-component heavy-atom-free system. We attribute the effect to efficient intersystem crossing in mCBP-CN, a high triplet energy level (2.71 eV), and very long-lived triplet excitations. A broader implication of this finding is that the so far neglected mechanism of TTA-facilitated charge-carrier generation might be relevant for organic long-persistent luminescence materials, and even for organic photovoltaics and potentially for photocatalytic water splitting processes.It is generally believed that intrinsic charge generation via an autoionization mechanism in pristine single-component organic semiconductors is impossible upon photoexcitation within the lowest excited singlet state due to the large exciton binding energy. However, we present measurements of thermally stimulated luminescence, light-induced ESR, and photocurrent in the carbazole-based molecule 3′,5-di(9H-carbazol-9-yl)-[1,1′-biphenyl]-3-carbonitrile (mCBP-CN) films, revealing that charge-carrier pairs are efficiently produced upon excitation near their absorption edges. The photocurrent measurements show a superlinear dependence on the cw-photoexcitation intensity even at very low excitation power (below 1mW/cm2), suggesting a bimolecular nature of the charge photogeneration process. The photocurrent measured over a broad temperature range of 5–300 K exhibits a prominent maximum at moderately low temperature around 170 K and rolls off significantly at higher temperatures. This correlates remarkably with the maximum of delayed fluorescence induced by bimolecular triplet-triplet annihilation (TTA), i.e., triplet fusion, in this material. This behavior implies that the photocurrent is governed mainly by the TTA-induced production of geminate pairs and only a little by their subsequent dissociation. Moreover, we find that the field-assisted dissociation probability of photogenerated charge pairs becomes almost temperature-independent at temperatures below 100 K. This can be quantitatively described using a charge dissociation model accounting for the energy disorder and the distribution of geminate-pair radii. The key conclusion of this study is that triplet fusion can promote the energy up-conversion (to 5.42 eV), thereby enabling the autoionization of a high-energy neutral excited state. This serves as the predominant mechanism of intrinsic photogeneration in this single-component heavy-atom-free system. We attribute the effect to efficient intersystem crossing in mCBP-CN, a high triplet energy level (2.71 eV), and very long-lived triplet excitations. A broader implication of this finding is that the so far neglected mechanism of TTA-facilitated charge-carrier generation might be relevant for organic long-persistent luminescence materials, and even for organic photovoltaics and potentially for photocatalytic water splitting processes.
Konstantin Schötz, Fabian Panzer, Michael Sommer, Heinz Bässler and Anna Köhler
Mater. Horiz., (2023) 10, 5538 [DOI]
The optoelectronic performance of organic semiconductor devices is related to the static and dynamic disorder in the film. The disorder can be assessed by considering the linewidth of its optical spectra. We focus on identifying the effect of conjugation length distribution on the static energetic disorder. Hence, we disentangle the contributions of static and dynamic disorder to the absorption and emission spectra of poly(3-(2,5-dioctylphenyl)-thiophene) (PDOPT) by exploring how the linewidth and energy of the spectra evolve upon cooling the sample from 300 K to 5 K. PDOPT has sterically hindered side chains that arrange such as to cause a planarized polymer backbone. This makes it a suitable model for a quasi-one-dimensional molecular system. By modelling the conjugated segments as coupled oscillators we find that the linewidth contribution resulting from the variation of conjugation length decreases linearly with decreasing exciton energy and extrapolates to zero at the energy corresponding to an infinite chain. These results provide a new avenue to the design of low disorder and hence high mobility polymeric semiconductors.The optoelectronic performance of organic semiconductor devices is related to the static and dynamic disorder in the film. The disorder can be assessed by considering the linewidth of its optical spectra. We focus on identifying the effect of conjugation length distribution on the static energetic disorder. Hence, we disentangle the contributions of static and dynamic disorder to the absorption and emission spectra of poly(3-(2,5-dioctylphenyl)-thiophene) (PDOPT) by exploring how the linewidth and energy of the spectra evolve upon cooling the sample from 300 K to 5 K. PDOPT has sterically hindered side chains that arrange such as to cause a planarized polymer backbone. This makes it a suitable model for a quasi-one-dimensional molecular system. By modelling the conjugated segments as coupled oscillators we find that the linewidth contribution resulting from the variation of conjugation length decreases linearly with decreasing exciton energy and extrapolates to zero at the energy corresponding to an infinite chain. These results provide a new avenue to the design of low disorder and hence high mobility polymeric semiconductors.
Christopher Greve, Philipp Ramming, Markus Griesbach, Nico Leupold, Ralf Moos, Anna Köhler, Eva M. Herzig, Fabian Panzer and Helen Grüninger
ACS Energy Lett. (2023) 8 5041–5049 [DOI]
Ionic liquids, such as BMIMBF4, are added to mixed halide perovskites to prevent halide phase segregation and increase phase stability, but exact mechanisms changing halide kinetics are currently unclear. Here, X-ray diffraction, nuclear magnetic resonance, and photoluminescence spectroscopy are used in situ under dark conditions to follow thermally driven halide mixing processes forming MAPbI3–xBrx from physical mixtures of MAPbI3 and MAPbBr3 powders with and without BMIMBF4. Halide migration is significantly accelerated with BMIMBF4 compared to additive-free mixtures. This is attributed to liquid-like dynamics of BMIMBF4 at elevated temperatures, liberating defect sites at perovskite interfaces. Furthermore, the presence of BMIMBF4 increases the activation energies for bromide migration, suggesting a changed nature of the latter. This is explained by a preferred interaction between BMIM+ and bromide, indicating that the cations of the additive shuttle bromide ions between interfaces. Overall, these observations pave the way for a better understanding of halide transport in hybrid perovskites.Ionic liquids, such as BMIMBF4, are added to mixed halide perovskites to prevent halide phase segregation and increase phase stability, but exact mechanisms changing halide kinetics are currently unclear. Here, X-ray diffraction, nuclear magnetic resonance, and photoluminescence spectroscopy are used in situ under dark conditions to follow thermally driven halide mixing processes forming MAPbI3–xBrx from physical mixtures of MAPbI3 and MAPbBr3 powders with and without BMIMBF4. Halide migration is significantly accelerated with BMIMBF4 compared to additive-free mixtures. This is attributed to liquid-like dynamics of BMIMBF4 at elevated temperatures, liberating defect sites at perovskite interfaces. Furthermore, the presence of BMIMBF4 increases the activation energies for bromide migration, suggesting a changed nature of the latter. This is explained by a preferred interaction between BMIM+ and bromide, indicating that the cations of the additive shuttle bromide ions between interfaces. Overall, these observations pave the way for a better understanding of halide transport in hybrid perovskites.
Xinrui Chen, Sergey Bagnich, Robert Pollice, Bing Li, Yuanyuan Zhu, Rishabh Saxena, Yixiao Yin, Weiguo Zhu, Alan Aspuru-Guzik, Eli Zysman-Colman, Anna Köhler and Yafei Wang
Adv. Optical Mater. (2023) 2301784 [DOI]
Intramolecular through-space charge transfer thermally activated delayed fluorescence (TSCT-TADF) has attracted much attention recently as it can achieve both small energy splitting and high emission efficiency. However, the relationship of excited states between TSCT and through-bond charge transfer (TBCT) remains a challenge in the TSCT-TADF molecules. Herein, three compounds DPS-m-bAc, DPS-p-bAc, and DPS-OAc that possess emissive TSCT and/or TBCT states are prepared. Interestingly, a so-called inverted energy gap is found for both DPS-m-bAc and DPS-p-bAc in toluene solution, which results from the different charge transfer states of ICThigh and ICTlow, as proved by the detailed transient photoluminescence and calculated results. Intense emission from blue to yellow associated with high photoluminescence quantum yields of 70–100% are measured in doped polymethyl(methacrylate) (PMMA) films. Notably, compound DPS-m-bAc achieves the highest reverse intersystem crossing rate constant (kRISC) of over 107 s−1 in a PMMA film, benefiting from close-lying TSCT and TBCT states. The solution-processed device with DPS-m-bAc displays a maximum external quantum efficiency of 21.7% and a relatively small efficiency roll-off (EQE of 20.2% @ 100 cd m−2). Overall, this work demonstrates how with judicious emitter engineering, a synergy between different charge transfer excited states, can be achieved, providing an avenue to achieve highly efficient solution-processed OLEDs.Intramolecular through-space charge transfer thermally activated delayed fluorescence (TSCT-TADF) has attracted much attention recently as it can achieve both small energy splitting and high emission efficiency. However, the relationship of excited states between TSCT and through-bond charge transfer (TBCT) remains a challenge in the TSCT-TADF molecules. Herein, three compounds DPS-m-bAc, DPS-p-bAc, and DPS-OAc that possess emissive TSCT and/or TBCT states are prepared. Interestingly, a so-called inverted energy gap is found for both DPS-m-bAc and DPS-p-bAc in toluene solution, which results from the different charge transfer states of ICThigh and ICTlow, as proved by the detailed transient photoluminescence and calculated results. Intense emission from blue to yellow associated with high photoluminescence quantum yields of 70–100% are measured in doped polymethyl(methacrylate) (PMMA) films. Notably, compound DPS-m-bAc achieves the highest reverse intersystem crossing rate constant (kRISC) of over 107 s−1 in a PMMA film, benefiting from close-lying TSCT and TBCT states. The solution-processed device with DPS-m-bAc displays a maximum external quantum efficiency of 21.7% and a relatively small efficiency roll-off (EQE of 20.2% @ 100 cd m−2). Overall, this work demonstrates how with judicious emitter engineering, a synergy between different charge transfer excited states, can be achieved, providing an avenue to achieve highly efficient solution-processed OLEDs.
Ya. V. Burdakov, A. Yu. Saunina, H. Bässler, A. Köhler and V. R. Nikitenko
Phys. Rev. B (2023) 108 085301 [DOI]
Modern organic semiconductors frequently adopt a semicrystalline morphology which makes the analysis of charge transport challenging. In this paper, we employ Monte Carlo (MC) simulation to study the charge-carrier mobility in an amorphous layer—typically 100 nm thick—that contains well-ordered nanosized domains (crystallites). The case of a low carrier concentration, typical for applications in photovoltaics and LEDs, is considered. We study the dependence of mobility on temperature, on the amount (V) of the crystallites, on the energy offset between crystalline and amorphous regions (Et), and we compare the results with those for a system with solitary traps. We find that, in a system with solitary traps, the mobility can exceed that of the neat phase if the trap depth is comparable with the standard deviation of the density of states (DOS) of the amorphous phase. Controlled by the electronic overlap in the amorphous phase and the crystallites, the mobility in a system with crystallites can increase by up to two orders of magnitude upon increasing V. It features a pronounced maximum when Et is close to the standard deviation of the DOS of the amorphous phase, while for large values of Et, the mobility is practically independent of Et. The results can be rationalized in terms of an interplay between percolation at large Et and hopping transport within the cumulative densities near the transport of the system. We developed a generalized analytic multiple-trapping-release model to rationalize the results of the MC simulations.Modern organic semiconductors frequently adopt a semicrystalline morphology which makes the analysis of charge transport challenging. In this paper, we employ Monte Carlo (MC) simulation to study the charge-carrier mobility in an amorphous layer—typically 100 nm thick—that contains well-ordered nanosized domains (crystallites). The case of a low carrier concentration, typical for applications in photovoltaics and LEDs, is considered. We study the dependence of mobility on temperature, on the amount (V) of the crystallites, on the energy offset between crystalline and amorphous regions (Et), and we compare the results with those for a system with solitary traps. We find that, in a system with solitary traps, the mobility can exceed that of the neat phase if the trap depth is comparable with the standard deviation of the density of states (DOS) of the amorphous phase. Controlled by the electronic overlap in the amorphous phase and the crystallites, the mobility in a system with crystallites can increase by up to two orders of magnitude upon increasing V. It features a pronounced maximum when Et is close to the standard deviation of the DOS of the amorphous phase, while for large values of Et, the mobility is practically independent of Et. The results can be rationalized in terms of an interplay between percolation at large Et and hopping transport within the cumulative densities near the transport of the system. We developed a generalized analytic multiple-trapping-release model to rationalize the results of the MC simulations.
Christina Witt, Konstantin Schötz, Meike Kuhn, Nico Leupold, Simon Biberger, Philipp Ramming, Frank-Julian Kahle, Anna Köhler, Ralf Moos, Eva M. Herzig and Fabian Panzer
J. Phys. Chem. C (2023) 127 10563–10573 [DOI]
In recent years, record efficiencies of halide perovskite-based devices have been achieved by processing high-quality thin films, where small morphology differences seem to be relevant for optimized optoelectronic functionality. However, a detailed understanding on how small morphological changes in perovskite films affect their structural and optoelectronic properties is still missing. Here, we investigate the influence of small morphology differences (i.e., increased grain size and crystallographic orientation), which are induced by hot-pressing methylammonium lead iodide (MAPbI3) thin films, on the structural properties, phase transition behavior, energetic disorder, and defects. To this end, detailed temperature-dependent photoluminescence (PL) and absorption analyses from 300 K down to 5 K are performed. The morphology differences, confirmed by scanning electron microscopy and X-ray diffractometry analyses, result in an increased phase transition temperature for hot-pressed (HP) films, which we attribute to less strain. Moreover, fluence-dependent and transient PL measurements reveal a lower defect density in HP films. Here, besides grain size, also the degree of orientation appears to enhance the charge carrier lifetimes. The identified interdependence of strain and defect properties with film morphology suggests small differences in the perovskite’s energetic disorder. Our work thus emphasizes the importance that even small structural differences in halide perovskites have on their optoelectronic functionality, spurring their further optimization.In recent years, record efficiencies of halide perovskite-based devices have been achieved by processing high-quality thin films, where small morphology differences seem to be relevant for optimized optoelectronic functionality. However, a detailed understanding on how small morphological changes in perovskite films affect their structural and optoelectronic properties is still missing. Here, we investigate the influence of small morphology differences (i.e., increased grain size and crystallographic orientation), which are induced by hot-pressing methylammonium lead iodide (MAPbI3) thin films, on the structural properties, phase transition behavior, energetic disorder, and defects. To this end, detailed temperature-dependent photoluminescence (PL) and absorption analyses from 300 K down to 5 K are performed. The morphology differences, confirmed by scanning electron microscopy and X-ray diffractometry analyses, result in an increased phase transition temperature for hot-pressed (HP) films, which we attribute to less strain. Moreover, fluence-dependent and transient PL measurements reveal a lower defect density in HP films. Here, besides grain size, also the degree of orientation appears to enhance the charge carrier lifetimes. The identified interdependence of strain and defect properties with film morphology suggests small differences in the perovskite’s energetic disorder. Our work thus emphasizes the importance that even small structural differences in halide perovskites have on their optoelectronic functionality, spurring their further optimization.
Simon Biberger, Nico Leupold, Christina Witt, Christopher Greve, Paul Markus, Philipp Ramming, Daniel Lukas, Konstantin Schötz, Frank-Julian Kahle, Chenhui Zhu, Georg Papastavrou, Anna Köhler, Eva M. Herzig, Ralf Moos, Fabian Panzer
Sol. RRL (2023) 2300261 [DOI]
Preparing halide perovskite films by solvent-free, powder-based processing approaches currently attracts more and more attention. However, working solar cells employing dry, powder-based halide perovskite thin films, have not been demonstrated so far. Herein, perovskite solar cells are presented where the absorber layer is prepared by transferring readily synthesized perovskite powders into a compact thin film using a fully dry-powder-processing concept. Compact thin films are deposited via an optimized powder aerosol deposition (PAD) process. Pressing at 120 °C further improves the morphology and the optoelectronic film properties. Integrating the perovskite films in a solar cell configuration results in fully working devices, with champion power conversion efficiencies of >6%. While the (optoelectronic) properties of the PAD-processed films are found to be comparable with their solution-processed counterparts, investigations of the solar cell stack suggest deterioration of the electron-transport layer properties due to the PAD process, and the presence of hydrates at the perovskite surface to be important factors that contribute to the limited solar cell efficiency. Herein, perspectives to overcome the identified limitations are outlined, emphasizing the high potential and realizability of efficient perovskite solar cells based on dry-powder-processing approaches in the future.Preparing halide perovskite films by solvent-free, powder-based processing approaches currently attracts more and more attention. However, working solar cells employing dry, powder-based halide perovskite thin films, have not been demonstrated so far. Herein, perovskite solar cells are presented where the absorber layer is prepared by transferring readily synthesized perovskite powders into a compact thin film using a fully dry-powder-processing concept. Compact thin films are deposited via an optimized powder aerosol deposition (PAD) process. Pressing at 120 °C further improves the morphology and the optoelectronic film properties. Integrating the perovskite films in a solar cell configuration results in fully working devices, with champion power conversion efficiencies of >6%. While the (optoelectronic) properties of the PAD-processed films are found to be comparable with their solution-processed counterparts, investigations of the solar cell stack suggest deterioration of the electron-transport layer properties due to the PAD process, and the presence of hydrates at the perovskite surface to be important factors that contribute to the limited solar cell efficiency. Herein, perspectives to overcome the identified limitations are outlined, emphasizing the high potential and realizability of efficient perovskite solar cells based on dry-powder-processing approaches in the future.
Daniel Kroh, Stavros Athanasopoulos, Vojtech Nádaždy, Frank-Julian Kahle, Heinz Bässler, Anna Köhler
Adv. Funct. Mater. (2023) 2302520 [DOI]
In an endeavor to understand why the dissociation of charge-transfer (CT) states in a PM6:Y6 solar-cell is not a thermally activated process, measurements of energy-resolved impedance as well as of intrinsic photoconduction are employed. This study determines the density of states distributions of the pertinent HOMO and LUMO states and obtains a Coulomb binding energy (Eb,CT) of ≈150 meV. This is 250 meV lower than the value expected for a pair of localized charges with 1 nm separation. The reason is that the hole is delocalized in the polymer and the electron is shared among Y6 molecules forming a J-like aggregate. There are two key reasons why this binding energy of the CT state is not reflected in the temperature dependence of the photocurrent of PM6:Y6-diode: i) The e–h dissociation in a disordered system is a multi-step process whose activation energy is principally different from the binding energy of the CT state and can be substantially less than Eb,CT, and ii) since dissociation of the CT state competes with its intrinsic decay, the dissociation yield saturates once the rate of dissociation grossly exceeds the rate of intrinsic decay. This study argues that these conditions are met in a PM6:Y6-solar cell.In an endeavor to understand why the dissociation of charge-transfer (CT) states in a PM6:Y6 solar-cell is not a thermally activated process, measurements of energy-resolved impedance as well as of intrinsic photoconduction are employed. This study determines the density of states distributions of the pertinent HOMO and LUMO states and obtains a Coulomb binding energy (Eb,CT) of ≈150 meV. This is 250 meV lower than the value expected for a pair of localized charges with 1 nm separation. The reason is that the hole is delocalized in the polymer and the electron is shared among Y6 molecules forming a J-like aggregate. There are two key reasons why this binding energy of the CT state is not reflected in the temperature dependence of the photocurrent of PM6:Y6-diode: i) The e–h dissociation in a disordered system is a multi-step process whose activation energy is principally different from the binding energy of the CT state and can be substantially less than Eb,CT, and ii) since dissociation of the CT state competes with its intrinsic decay, the dissociation yield saturates once the rate of dissociation grossly exceeds the rate of intrinsic decay. This study argues that these conditions are met in a PM6:Y6-solar cell.
Ivan I. Fishchuk, Andrey Kadashchuk, Cedric Rolin, Heinz Bässler, Anna Köhler, Paul Heremans, and Jan Genoe
Phys. Rev. B 105, (2022) 245201 [DOI]
Unraveling the dominant charge transport mechanism in high-mobility amorphous oxide semiconductors is still a matter of controversy. In the present study we extended the random band-edge model suggested before for the charge transport and Hall-effect mobility in such disordered materials [Fishchuk et al., Phys. Rev. B 93, 195204 (2016)], and also describe the field-effect-modulated thermoelectricity in amorphous In-Ga-Zn-O (a-IGZO) films under the same premises. The model is based on the concept of charge transport through the extended states and assumes that the transport is limited by the spatial variation of the position of the band edge due to the disorder potential, rather than by localized states. The theoretical model is formulated using the effective medium approximation framework and describes well basic features of the Seebeck coefficient in disordered materials as a function of energy disorder, carrier concentration, and temperature. Carrier concentration dependencies of power factor and thermoelectric figure of merit have been also considered for such systems. Besides, our calculations reveal a remarkable turnover effect from a negative to a positive temperature dependence of Seebeck coefficient upon increasing carrier concentration. The suggested unified model provides a good quantitative description of available experimental data on the Seebeck coefficient and the charge mobilities measured in the same a-IGZO transistor as a function of the gate voltage and temperature by considering the same charge transport mechanisms. This promotes a deeper understanding and a more credible and accurate description of the transport process in a-IGZO films.Unraveling the dominant charge transport mechanism in high-mobility amorphous oxide semiconductors is still a matter of controversy. In the present study we extended the random band-edge model suggested before for the charge transport and Hall-effect mobility in such disordered materials [Fishchuk et al., Phys. Rev. B 93, 195204 (2016)], and also describe the field-effect-modulated thermoelectricity in amorphous In-Ga-Zn-O (a-IGZO) films under the same premises. The model is based on the concept of charge transport through the extended states and assumes that the transport is limited by the spatial variation of the position of the band edge due to the disorder potential, rather than by localized states. The theoretical model is formulated using the effective medium approximation framework and describes well basic features of the Seebeck coefficient in disordered materials as a function of energy disorder, carrier concentration, and temperature. Carrier concentration dependencies of power factor and thermoelectric figure of merit have been also considered for such systems. Besides, our calculations reveal a remarkable turnover effect from a negative to a positive temperature dependence of Seebeck coefficient upon increasing carrier concentration. The suggested unified model provides a good quantitative description of available experimental data on the Seebeck coefficient and the charge mobilities measured in the same a-IGZO transistor as a function of the gate voltage and temperature by considering the same charge transport mechanisms. This promotes a deeper understanding and a more credible and accurate description of the transport process in a-IGZO films.
Eimantas Duda, Subeesh Madayanad Suresh, David Hall, Sergey Bagnich, Rishabh Saxena, David B. Cordes, Alexandra M. Z. Slawin, David Beljonne, Yoann Olivier, Anna Köhler, and Eli Zysman-Colman
Chem. Mater. (2023) 35 2027–2037 [DOI]
The development of efficient blue donor–acceptor thermally activated delayed fluorescence (TADF) emitters remains a challenge. To enhance the efficiency of TADF-related processes of the emitter, we targeted a molecular design that would introduce a large number of intermediate triplet states between the lowest energy excited triplet (T1) and singlet (S1) excited states. Here, we introduce an oligomer approach using repetitive donor–acceptor units to gradually increase the number of quasi-degenerate states. In our design, benzonitrile (BN) moieties were selected as acceptors that are connected together via the amine donors, acting as bridges to adjacent BN acceptors. To preserve the photoluminescence emission wavelength across the series, we employed a design based on an ortho substitution pattern of the donors about the BN acceptor that induces a highly twisted conformation of the emitters, limiting the conjugation. Via a systematic photophysical study, we show that increasing the oligomer size allows for enhancement of the intersystem crossing and reverse intersystem crossing rates. We attribute the increasing intersystem crossing rate to the increasing number of intermediate triplet states along the series, confirmed by the time-dependent density functional theory. Overall, we report an approach to enhance the efficiency of TADF-related processes without changing the blue photoluminescence color.The development of efficient blue donor–acceptor thermally activated delayed fluorescence (TADF) emitters remains a challenge. To enhance the efficiency of TADF-related processes of the emitter, we targeted a molecular design that would introduce a large number of intermediate triplet states between the lowest energy excited triplet (T1) and singlet (S1) excited states. Here, we introduce an oligomer approach using repetitive donor–acceptor units to gradually increase the number of quasi-degenerate states. In our design, benzonitrile (BN) moieties were selected as acceptors that are connected together via the amine donors, acting as bridges to adjacent BN acceptors. To preserve the photoluminescence emission wavelength across the series, we employed a design based on an ortho substitution pattern of the donors about the BN acceptor that induces a highly twisted conformation of the emitters, limiting the conjugation. Via a systematic photophysical study, we show that increasing the oligomer size allows for enhancement of the intersystem crossing and reverse intersystem crossing rates. We attribute the increasing intersystem crossing rate to the increasing number of intermediate triplet states along the series, confirmed by the time-dependent density functional theory. Overall, we report an approach to enhance the efficiency of TADF-related processes without changing the blue photoluminescence color.
Andrei Stankevych, Rishabh Saxena, Alexander Vakhnin, Falk May, Naomi Kinaret, Denis Andrienko, Jan Genoe, Heinz Bässler, Anna Köhler, and Andrey Kadashchuk
Phys. Rev. Applied 19, 054007 [DOI]
The dynamics of charge carriers in disordered organic semiconductors is inherently difficult to probe by spectroscopic methods. Thermally stimulated luminescence (TSL) is an approach that detects the luminescence resulting from the recombination of spatially-well-separated geminate charge pairs, usually at low temperature. In this way, the density of states (DOS) for charges can be determined. In this study, we demonstrate that TSL can also be used for probing an occupied density of states formed by a low-temperature energetic relaxation of photogenerated charges. Another approach used to gain an insight into the charge-relaxation process is kinetic Monte Carlo (KMC) simulations. Here, we use both techniques to determine the energetic distribution of charges at low temperatures. We find that the charge dynamics is frustrated, yet this frustration can be overcome in TSL by using an infrared (IR) push pulse, and in KMC simulations by a long simulation time that allows for long-range tunneling. Applying the IR-push TSL to pristine amorphous films of 18 commonly used low-molecular-weight organic light-emitting diode materials, we find that the width of the occupied DOS amounts to about 2/3 of the available DOS. The same result is obtained in KMC simulations that consider spatial correlations between site energies. Without the explicit consideration of energetic correlations, the experimental values cannot be reproduced, which testifies to the importance of spatial correlations for charges.The dynamics of charge carriers in disordered organic semiconductors is inherently difficult to probe by spectroscopic methods. Thermally stimulated luminescence (TSL) is an approach that detects the luminescence resulting from the recombination of spatially-well-separated geminate charge pairs, usually at low temperature. In this way, the density of states (DOS) for charges can be determined. In this study, we demonstrate that TSL can also be used for probing an occupied density of states formed by a low-temperature energetic relaxation of photogenerated charges. Another approach used to gain an insight into the charge-relaxation process is kinetic Monte Carlo (KMC) simulations. Here, we use both techniques to determine the energetic distribution of charges at low temperatures. We find that the charge dynamics is frustrated, yet this frustration can be overcome in TSL by using an infrared (IR) push pulse, and in KMC simulations by a long simulation time that allows for long-range tunneling. Applying the IR-push TSL to pristine amorphous films of 18 commonly used low-molecular-weight organic light-emitting diode materials, we find that the width of the occupied DOS amounts to about 2/3 of the available DOS. The same result is obtained in KMC simulations that consider spatial correlations between site energies. Without the explicit consideration of energetic correlations, the experimental values cannot be reproduced, which testifies to the importance of spatial correlations for charges.
2022
Christina Witt, Nico Leupold, Philipp Ramming, Konstantin Schötz, Ralf Moos and Fabian Panzer
J. Phys. Chem. C (2022) 126 15424-15435 [DOI]
Within the last few years, applying pressure to improve and alter the structural and optoelectronic properties of halide perovskite thin films and powder-based thick-film pellets has emerged as a promising processing method. However, a detailed understanding of the relationship between perovskite microstructure, pressing process, and final film properties is still missing. Here, we investigate the impact of powder microstructure on the compaction processes during pressure treatment and on the final properties of powder-pressed thick films, using the model halide perovskite methylammonium lead iodide (MAPbI3). Analyzing pressure relaxations together with XRD and SEM characterizations, we find that larger powder particles result in less compact thick films with higher surface roughness. Furthermore, larger particles exhibit stronger sintered connections between individual powder particles, resulting in less crushing and particle rearrangement but in more pronounced plastic deformation during pressure treatment. Moreover, plastic deformation of the powder particles leads to a reduction of crystallite size in the final film. This reduction results in increased nonradiative, defect-associated excited state recombination, as confirmed by photoluminescence investigations. More plastic deformation also deteriorates the grain boundary quality and consequently facilitates ion migration, which is reflected in higher electrical dark conductivities of the thick films. Thus, our work elucidates how important the design of the perovskite powder microstructure is for the pressure-induced compaction behavior and for the resulting structural, optical, and electrical thick-film properties. These insights will pave the way for tailored pressure processing of halide perovskite films with improved optoelectronic properties.Within the last few years, applying pressure to improve and alter the structural and optoelectronic properties of halide perovskite thin films and powder-based thick-film pellets has emerged as a promising processing method. However, a detailed understanding of the relationship between perovskite microstructure, pressing process, and final film properties is still missing. Here, we investigate the impact of powder microstructure on the compaction processes during pressure treatment and on the final properties of powder-pressed thick films, using the model halide perovskite methylammonium lead iodide (MAPbI3). Analyzing pressure relaxations together with XRD and SEM characterizations, we find that larger powder particles result in less compact thick films with higher surface roughness. Furthermore, larger particles exhibit stronger sintered connections between individual powder particles, resulting in less crushing and particle rearrangement but in more pronounced plastic deformation during pressure treatment. Moreover, plastic deformation of the powder particles leads to a reduction of crystallite size in the final film. This reduction results in increased nonradiative, defect-associated excited state recombination, as confirmed by photoluminescence investigations. More plastic deformation also deteriorates the grain boundary quality and consequently facilitates ion migration, which is reflected in higher electrical dark conductivities of the thick films. Thus, our work elucidates how important the design of the perovskite powder microstructure is for the pressure-induced compaction behavior and for the resulting structural, optical, and electrical thick-film properties. These insights will pave the way for tailored pressure processing of halide perovskite films with improved optoelectronic properties.
Daniel Kroh, Fabian Eller, Konstantin Schötz, Stefan Wedler, Lorena Perdigón-Toro, Guillaume Freychet, Qingya Wei, Maximilian Dörr, David Jones, Yingping Zou, Eva M. Herzig, Dieter Neher and Anna Köhler
Adv. Funct. Mater. (2022) 2205711 [DOI]
In organic solar cells, the resulting device efficiency depends strongly on the local morphology and intermolecular interactions of the blend film. Optical spectroscopy was used to identify the spectral signatures of interacting chromophores in blend films of the donor polymer PM6 with two state-of-the-art nonfullerene acceptors, Y6 and N4, which differ merely in the branching point of the side chain. From temperature-dependent absorption and luminescence spectroscopy in solution, it is inferred that both acceptor materials form two types of aggregates that differ in their interaction energy. Y6 forms an aggregate with a predominant J-type character in solution, while for N4 molecules the interaction is predominantly in a H-like manner in solution and freshly spin-cast film, yet the molecules reorient with respect to each other with time or thermal annealing to adopt a more J-type interaction. The different aggregation behavior of the acceptor materials is also reflected in the blend films and accounts for the different solar cell efficiencies reported with the two blends.In organic solar cells, the resulting device efficiency depends strongly on the local morphology and intermolecular interactions of the blend film. Optical spectroscopy was used to identify the spectral signatures of interacting chromophores in blend films of the donor polymer PM6 with two state-of-the-art nonfullerene acceptors, Y6 and N4, which differ merely in the branching point of the side chain. From temperature-dependent absorption and luminescence spectroscopy in solution, it is inferred that both acceptor materials form two types of aggregates that differ in their interaction energy. Y6 forms an aggregate with a predominant J-type character in solution, while for N4 molecules the interaction is predominantly in a H-like manner in solution and freshly spin-cast film, yet the molecules reorient with respect to each other with time or thermal annealing to adopt a more J-type interaction. The different aggregation behavior of the acceptor materials is also reflected in the blend films and accounts for the different solar cell efficiencies reported with the two blends.
Simon Biberger, Konstantin Schötz, Philipp Ramming, Nico Leupold, Ralf Moos, Anna Köhler, Helen Grüninger and Fabian Panzer
J. Mater. Chem. A, (2022) 18038 [DOI]
While using additives such as ionic liquids (IL) is known to boost the efficiency and stability of perovskite solar cells, it is still unclear how ILs impact the difficile perovskite film formation process. Here we investigate the impact of the IL BMIMBF4 on the film formation of the model halide perovskite MAPbI3 by multimodal optical in situ spectroscopy during solution processing via one-step spin coating and a solvent engineering approach. One-step processing experiments reveal that IL in the precursor solutions does not affect the formation of perovskite–solvent complexes, but higher IL contents delay the perovskite transformation with decreased growth rates. For solvent engineering, the perovskite growth rate decreases with later anti-solvent (AS) dripping as the properties of PbI42− species in the precursor solutions change during drying. Here the IL also affects the evolution of the PbI42− properties, as the IL cation interacts with the PbI42−. This interaction appears to reduce the perovskite growth rates after initiating perovskite formation by AS dripping. Still, in the as-coated films the IL efficiently passivates defect states. Thus, our work provides important insights into how decisive ILs impact the sensitive interconnection between precursor properties, film formation process and final optoelectronic functionality of perovskite thin films.While using additives such as ionic liquids (IL) is known to boost the efficiency and stability of perovskite solar cells, it is still unclear how ILs impact the difficile perovskite film formation process. Here we investigate the impact of the IL BMIMBF4 on the film formation of the model halide perovskite MAPbI3 by multimodal optical in situ spectroscopy during solution processing via one-step spin coating and a solvent engineering approach. One-step processing experiments reveal that IL in the precursor solutions does not affect the formation of perovskite–solvent complexes, but higher IL contents delay the perovskite transformation with decreased growth rates. For solvent engineering, the perovskite growth rate decreases with later anti-solvent (AS) dripping as the properties of PbI42− species in the precursor solutions change during drying. Here the IL also affects the evolution of the PbI42− properties, as the IL cation interacts with the PbI42−. This interaction appears to reduce the perovskite growth rates after initiating perovskite formation by AS dripping. Still, in the as-coated films the IL efficiently passivates defect states. Thus, our work provides important insights into how decisive ILs impact the sensitive interconnection between precursor properties, film formation process and final optoelectronic functionality of perovskite thin films.
Adrian Hochgesang, Simon Biberger, Jeannine Grüne, John Mohanraj, Frank-Julian Kahle, Vladimir Dyakonov, Anna Köhler and Mukundan Thelakkat
Adv. Electron.Mater. (2022) 2200113 [DOI]
Copper salts are a popular choice as p-dopants for organic semiconductors, particularly in N2,N2,N2′,N2′,N7,N7,N7′,N7′-octakis(4-methoxyphenyl)-9,9′-spirobi[9H-fluoren]-2,2′,7,7′-tetramine (Spiro-MeOTAD) hole transport material for solar cells. While being exceptionally effective, no scientific consensus about their doping mechanism has been established so far. This study describes the thermodynamic equilibria of involved species in copper(II) bis(trifluoromethanesulfonyl)imide (Cu(TFSI)2) doped, co-evaporated Spiro-MeOTAD. A temperature-independent formation of charge transfer states is found, followed by an endothermic release of free charge carriers. Impedance and electron paramagnetic resonance spectroscopy unravel low activation energies for hole release and hopping transport. As a result, (52.0 ± 6.4)% of the total Cu(TFSI)2 molecules form free, dissociated holes at 10 mol% and room temperature. CuI species arising out of doping are stabilized by formation of a [CuI(TFSI)2]- cuprate, inhibiting elemental copper formation. This CuI species presents a potent hole trap reducing their mobility, which can be averted by simple addition of a bathocuproine complexing agent. A nonlinear temperature-dependent conductivity and mobility that contradicts current charge transport models is observed. This is attributed to a combination of trap- and charge transfer state freeze-out. These insights may be adapted to other metal salts, providing guidelines for designing next-generation ultra-high efficiency dopants.Copper salts are a popular choice as p-dopants for organic semiconductors, particularly in N2,N2,N2′,N2′,N7,N7,N7′,N7′-octakis(4-methoxyphenyl)-9,9′-spirobi[9H-fluoren]-2,2′,7,7′-tetramine (Spiro-MeOTAD) hole transport material for solar cells. While being exceptionally effective, no scientific consensus about their doping mechanism has been established so far. This study describes the thermodynamic equilibria of involved species in copper(II) bis(trifluoromethanesulfonyl)imide (Cu(TFSI)2) doped, co-evaporated Spiro-MeOTAD. A temperature-independent formation of charge transfer states is found, followed by an endothermic release of free charge carriers. Impedance and electron paramagnetic resonance spectroscopy unravel low activation energies for hole release and hopping transport. As a result, (52.0 ± 6.4)% of the total Cu(TFSI)2 molecules form free, dissociated holes at 10 mol% and room temperature. CuI species arising out of doping are stabilized by formation of a [CuI(TFSI)2]- cuprate, inhibiting elemental copper formation. This CuI species presents a potent hole trap reducing their mobility, which can be averted by simple addition of a bathocuproine complexing agent. A nonlinear temperature-dependent conductivity and mobility that contradicts current charge transport models is observed. This is attributed to a combination of trap- and charge transfer state freeze-out. These insights may be adapted to other metal salts, providing guidelines for designing next-generation ultra-high efficiency dopants.
Dianming Sun, Eimantas Duda, Xiaochun Fan, Rishabh Saxena, Ming Zhang, Sergey Bagnich, Xiaohong Zhang, Anna Köhler and Eli Zysman-Colman
Adv.Mater. (2022) 2110344 [DOI]
The development of high-performance solution-processed organic light-emitting diodes (OLEDs) remains a challenge. An effective solution, highlighted in this work, is to use highly efficient thermally activated delayed fluorescence (TADF) dendrimers as emitters. Here, the design, synthesis, density functional theory (DFT) modeling, and photophysics of three triazine-based dendrimers, tBuCz2pTRZ, tBuCz2mTRZ, and tBuCz2m2pTRZ, is reported, which resolve the conflicting requirements of achieving simultaneously a small ΔEST and a large oscillator strength by incorporating both meta- and para-connected donor dendrons about a central triazine acceptor. The solution-processed OLED containing a host-free emitting layer exhibits an excellent maximum external quantum efficiency (EQEmax) of 28.7%, a current efficiency of 98.8 cd A−1, and a power efficiency of 91.3 lm W−1. The device emits with an electroluminescence maximum, λEL, of 540 nm and Commission International de l’Éclairage (CIE) color coordinates of (0.37, 0.57). This represents the most efficient host-free solution-processed OLED reported to date. Further optimization directed at improving the charge balance within the device results in an emissive layer containing 30 wt% OXD-7, which leads to an OLED with the similar EQEmax of 28.4% but showing a significantly improved efficiency rolloff where the EQE remains high at 22.7% at a luminance of 500 cd m−2.The development of high-performance solution-processed organic light-emitting diodes (OLEDs) remains a challenge. An effective solution, highlighted in this work, is to use highly efficient thermally activated delayed fluorescence (TADF) dendrimers as emitters. Here, the design, synthesis, density functional theory (DFT) modeling, and photophysics of three triazine-based dendrimers, tBuCz2pTRZ, tBuCz2mTRZ, and tBuCz2m2pTRZ, is reported, which resolve the conflicting requirements of achieving simultaneously a small ΔEST and a large oscillator strength by incorporating both meta- and para-connected donor dendrons about a central triazine acceptor. The solution-processed OLED containing a host-free emitting layer exhibits an excellent maximum external quantum efficiency (EQEmax) of 28.7%, a current efficiency of 98.8 cd A−1, and a power efficiency of 91.3 lm W−1. The device emits with an electroluminescence maximum, λEL, of 540 nm and Commission International de l’Éclairage (CIE) color coordinates of (0.37, 0.57). This represents the most efficient host-free solution-processed OLED reported to date. Further optimization directed at improving the charge balance within the device results in an emissive layer containing 30 wt% OXD-7, which leads to an OLED with the similar EQEmax of 28.4% but showing a significantly improved efficiency rolloff where the EQE remains high at 22.7% at a luminance of 500 cd m−2.
Dianming Sun, Rishabh Saxena, Xiaochun Fan, Stavros Athanasopoulos, Eimantas Duda, Ming Zhang, Sergey Bagnich, Xiaohong Zhang, Eli Zysman-Colman and Anna Köhler
Adv. Sci. (2022) 2201470 [DOI]
The potential of dendrimers exhibiting thermally activated delayed fluorescence (TADF) as emitters in solution-processed organic light-emitting diodes (OLEDs) has to date not yet been realized. This in part is due to a poor understanding of the structure–property relationship in dendrimers where reports of detailed photophysical characterization and mechanism studies are lacking. In this report, using absorption and solvatochromic photoluminescence studies in solution, the origin and character of the lowest excited electronic states in dendrimers with multiple dendritic electron-donating moieties connected to a central electron-withdrawing core via a para- or a meta-phenylene bridge is probed. Characterization of host-free OLEDs reveals the superiority of meta-linked dendrimers as compared to the already reported para-analogue. Comparative temperature-dependent time-resolved solid-state photoluminescence measurements and quantum chemical studies explore the effect of the substitution mode on the TADF properties and the reverse intersystem crossing (RISC) mechanism, respectively. For TADF dendrimers with similarly small ∆EST, it is observed that RISC can be enhanced by the regiochemistry of the donor dendrons due to control of the reorganization energies, which is a heretofore unexploited strategy that is distinct from the involvement of intermediate triplet states through a nonadiabatic (vibronic) coupling with the lowest singlet charge transfer state.The potential of dendrimers exhibiting thermally activated delayed fluorescence (TADF) as emitters in solution-processed organic light-emitting diodes (OLEDs) has to date not yet been realized. This in part is due to a poor understanding of the structure–property relationship in dendrimers where reports of detailed photophysical characterization and mechanism studies are lacking. In this report, using absorption and solvatochromic photoluminescence studies in solution, the origin and character of the lowest excited electronic states in dendrimers with multiple dendritic electron-donating moieties connected to a central electron-withdrawing core via a para- or a meta-phenylene bridge is probed. Characterization of host-free OLEDs reveals the superiority of meta-linked dendrimers as compared to the already reported para-analogue. Comparative temperature-dependent time-resolved solid-state photoluminescence measurements and quantum chemical studies explore the effect of the substitution mode on the TADF properties and the reverse intersystem crossing (RISC) mechanism, respectively. For TADF dendrimers with similarly small ∆EST, it is observed that RISC can be enhanced by the regiochemistry of the donor dendrons due to control of the reorganization energies, which is a heretofore unexploited strategy that is distinct from the involvement of intermediate triplet states through a nonadiabatic (vibronic) coupling with the lowest singlet charge transfer state.
Frank-Julian Kahle, Alexander Rudnick, Stefan Wedler, Rishabh Saxena, Robin Ammenhäuser, Ullrich Scherf, Sergey Bagnich, Heinz Bässler and Anna Köhler
Adv. Energy Mater. (2022) 2103063 [DOI]
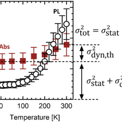
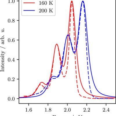
Since the key role of charge transfers (CT) states has been identified for organic solar cells (OSCs), research into their properties is a timely topic. Conventionally, their absorption and emission spectra are described in terms of Marcus’ electron transfer theory. This is a single site approach with the essential parameter being the reorganization energy. Thus, it ignores ensemble effects, notably the role of static disorder that is inevitably present in a spin-coated OSC film. Here time dependent photoluminescence spectroscopy is applied on blends of the polymeric donor MeLPPP with either the non-fullerene acceptor SF-PDI2 or with PC61BM within a temperature range from 295 to 5 K. The authors monitor how initially excited singlet states are converted to emissive CT states. Concomitantly, emission from residual singlets on the acceptor is observed rather than hybrid CT-states. The role of spectral diffusion in this process is discussed. From the temperature and time dependent linewidths of absorption, fluorescence, and CT emission, the static and dynamic contributions to the total disorder are inferred. In both blends, at 295 K, the contribution of static disorder is comparable to the dynamic disorder.Since the key role of charge transfers (CT) states has been identified for organic solar cells (OSCs), research into their properties is a timely topic. Conventionally, their absorption and emission spectra are described in terms of Marcus’ electron transfer theory. This is a single site approach with the essential parameter being the reorganization energy. Thus, it ignores ensemble effects, notably the role of static disorder that is inevitably present in a spin-coated OSC film. Here time dependent photoluminescence spectroscopy is applied on blends of the polymeric donor MeLPPP with either the non-fullerene acceptor SF-PDI2 or with PC61BM within a temperature range from 295 to 5 K. The authors monitor how initially excited singlet states are converted to emissive CT states. Concomitantly, emission from residual singlets on the acceptor is observed rather than hybrid CT-states. The role of spectral diffusion in this process is discussed. From the temperature and time dependent linewidths of absorption, fluorescence, and CT emission, the static and dynamic contributions to the total disorder are inferred. In both blends, at 295 K, the contribution of static disorder is comparable to the dynamic disorder.
Lorena Perdigón-Toro, Le Quang Phuong, Fabian Eller, Guillaume Freychet, Elifnaz Saglamkaya, Jafar I. Khan, Qingya Wei, Stefan Zeiske, Daniel Kroh, Stefan Wedler, Anna Köhler, Ardalan Armin, Frédéric Laquai, Eva M. Herzig, Yingping Zou, Safa Shoaee and Dieter Neher
Adv. Energy Mater. (2022) 12 2103422 [DOI]
Non-fullerene acceptors (NFAs) as used in state-of-the-art organic solar cells feature highly crystalline layers that go along with low energetic disorder. Here, the crucial role of energetic disorder in blends of the donor polymer PM6 with two Y-series NFAs, Y6, and N4 is studied. By performing temperature-dependent charge transport and recombination studies, a consistent picture of the shape of the density of state distributions for free charges in the two blends is developed, allowing an analytical description of the dependence of the open-circuit voltage VOC on temperature and illumination intensity. Disorder is found to influence the value of the VOC at room temperature, but also its progression with temperature. Here, the PM6:Y6 blend benefits substantially from its narrower state distributions. The analysis also shows that the energy of the equilibrated free charge population is well below the energy of the NFA singlet excitons for both blends and possibly below the energy of the populated charge transfer manifold, indicating a down-hill driving force for free charge formation. It is concluded that energetic disorder of charge-separated states has to be considered in the analysis of the photovoltaic properties, even for the more ordered PM6:Y6 blend.Non-fullerene acceptors (NFAs) as used in state-of-the-art organic solar cells feature highly crystalline layers that go along with low energetic disorder. Here, the crucial role of energetic disorder in blends of the donor polymer PM6 with two Y-series NFAs, Y6, and N4 is studied. By performing temperature-dependent charge transport and recombination studies, a consistent picture of the shape of the density of state distributions for free charges in the two blends is developed, allowing an analytical description of the dependence of the open-circuit voltage VOC on temperature and illumination intensity. Disorder is found to influence the value of the VOC at room temperature, but also its progression with temperature. Here, the PM6:Y6 blend benefits substantially from its narrower state distributions. The analysis also shows that the energy of the equilibrated free charge population is well below the energy of the NFA singlet excitons for both blends and possibly below the energy of the populated charge transfer manifold, indicating a down-hill driving force for free charge formation. It is concluded that energetic disorder of charge-separated states has to be considered in the analysis of the photovoltaic properties, even for the more ordered PM6:Y6 blend.
Eimantas Duda, David Hall, b, Sergey Bagnich, Cameron L. Carpenter-Warren, Rishabh Saxena, Michael Y. Wong, David B. Cordes, Alexandra M. Z. Slawin, David Beljonne, Yoann Olivier, Eli Zysman-Colman and Anna Köhler
J. Phys. Chem. B (2022) 126 552-562 [DOI]
Thermally activated delayed fluorescence (TADF) relies on a small energy gap between the emissive singlet and the non-emissive triplet state, obtained by reducing the wavefunction overlap between donor and acceptor moieties. Efficient emission, however, requires maintaining a good oscillator strength, which is itself based on sufficient overlap of the wavefunctions between donor and acceptor moieties. We demonstrate an approach to subtly fine-tune the required wavefunction overlap by employing donor-dendrons of changing functionality. We use a carbazolyl-phthalonitrile based donor-acceptor core, 2CzPN, as a reference emitter, and progressively localize the hole density through substitution at the 3,6-positions of the carbazole donors (Cz) with further carbazole, (4-tert-butylphenyl)amine (tBuDPA) and phenoxazine (PXZ). Using detailed photoluminescence studies, complemented with Density Functional Theory (DFT) calculations, we show that this approach permits a gradual decrease of the singlet-triplet gap, ΔEST, from 300 meV to around 10 meV in toluene, yet we also demonstrate why a small ΔEST alone is not enough. While sufficient oscillator strength is maintained with the Cz- and tBuDPA-based donor dendrons, this is not the case for the PXZ-based donor dendron, where the wavefunction overlap is reduced too strongly. Overall, we find the donor-dendron extension approach allows successful fine-tuning of the emitter photoluminescence properties.Thermally activated delayed fluorescence (TADF) relies on a small energy gap between the emissive singlet and the non-emissive triplet state, obtained by reducing the wavefunction overlap between donor and acceptor moieties. Efficient emission, however, requires maintaining a good oscillator strength, which is itself based on sufficient overlap of the wavefunctions between donor and acceptor moieties. We demonstrate an approach to subtly fine-tune the required wavefunction overlap by employing donor-dendrons of changing functionality. We use a carbazolyl-phthalonitrile based donor-acceptor core, 2CzPN, as a reference emitter, and progressively localize the hole density through substitution at the 3,6-positions of the carbazole donors (Cz) with further carbazole, (4-tert-butylphenyl)amine (tBuDPA) and phenoxazine (PXZ). Using detailed photoluminescence studies, complemented with Density Functional Theory (DFT) calculations, we show that this approach permits a gradual decrease of the singlet-triplet gap, ΔEST, from 300 meV to around 10 meV in toluene, yet we also demonstrate why a small ΔEST alone is not enough. While sufficient oscillator strength is maintained with the Cz- and tBuDPA-based donor dendrons, this is not the case for the PXZ-based donor dendron, where the wavefunction overlap is reduced too strongly. Overall, we find the donor-dendron extension approach allows successful fine-tuning of the emitter photoluminescence properties.
Francesco Rodella, Rishabh Saxena, Sergey Bagnich, Dovydas Banevičius , Gediminas Kreiza, Stavros Athanasopoulos, Juršėnas Saulius , Karolis Kazlauskas, Anna Köhler and Peter Strohriegl
J. Mater. Chem. C (2021) 9 17471-17482 [DOI]
The development of efficient blue emitter–host combinations is one of the biggest challenges in organic light-emitting diode (OLED) research. Host materials play a crucial role when it comes to enhancing the efficiency, improving the lifetime and decreasing the efficiency roll-off of the device. The need for new hosts is of prime importance, especially for blue phosphorescence and thermally activated delayed fluorescence (TADF) emitters, due to their high exciton energies. The hosts are less investigated than the emitters and require further progress. This work provides a new molecular strategy that combines an acridine derivative (donor) and pyrimidine moieties (acceptors) to obtain three novel host materials. This approach demonstrates that via careful selection of donor and acceptor units, it is possible to manage the properties of the host materials, obtaining at the same time superior thermal and morphological properties and high triplet energies up to 3.07 eV. The decrease of the conjugation in the acceptor unit was found to play a crucial role in increasing the triplet energy. The most promising host 1MPA was used to fabricate blue TADF OLEDs. Using a sky-blue emitter, we achieved electroluminescence at 491 nm and a maximum external quantum efficiency (EQE) of 13.6%, combined with a low efficiency roll-off, even beyond the practical brightness of 1000 cd m−1. The host 1MPA was also combined with a deep blue emitter to deliver a blue OLED with color coordinates of x = 0.16 and y = 0.18.The development of efficient blue emitter–host combinations is one of the biggest challenges in organic light-emitting diode (OLED) research. Host materials play a crucial role when it comes to enhancing the efficiency, improving the lifetime and decreasing the efficiency roll-off of the device. The need for new hosts is of prime importance, especially for blue phosphorescence and thermally activated delayed fluorescence (TADF) emitters, due to their high exciton energies. The hosts are less investigated than the emitters and require further progress. This work provides a new molecular strategy that combines an acridine derivative (donor) and pyrimidine moieties (acceptors) to obtain three novel host materials. This approach demonstrates that via careful selection of donor and acceptor units, it is possible to manage the properties of the host materials, obtaining at the same time superior thermal and morphological properties and high triplet energies up to 3.07 eV. The decrease of the conjugation in the acceptor unit was found to play a crucial role in increasing the triplet energy. The most promising host 1MPA was used to fabricate blue TADF OLEDs. Using a sky-blue emitter, we achieved electroluminescence at 491 nm and a maximum external quantum efficiency (EQE) of 13.6%, combined with a low efficiency roll-off, even beyond the practical brightness of 1000 cd m−1. The host 1MPA was also combined with a deep blue emitter to deliver a blue OLED with color coordinates of x = 0.16 and y = 0.18.
Tobias Nazarenus, Kira Schlesier, Simon Biberger, Jörg Exner, Jaroslaw Kita, Anna Köhler and Ralf Moos
Appl Ceram Technol. (2021) 1–14 [DOI]
The powder aerosol deposition (PAD) method is becoming increasingly important as an energetically advantageous coating method compared to classic ceramic technologies. However, due to the process-related lattice deformation, ceramic coatings often exhibit reduced functional properties in the as-deposited state. A thermal posttreatment at temperatures well below the sintering temperature can significantly reduce the lattice deformation and the stress within the film to restore the functional film properties close to sintered bulk samples. In this work, the optothermal posttreatment of PAD films using three different high-power light emitting diodes (HP-LED) with different wavelengths within the visible light spectrum is investigated as an alternative to time-consuming furnace or energy-intensive laser processes on the example of thermoelectric CuFe0.98Sn0.02O2 films. We demonstrate that the space-saving LED-based posttreatment not only restores the film properties but also significantly reduces the required processing time to a few seconds.The powder aerosol deposition (PAD) method is becoming increasingly important as an energetically advantageous coating method compared to classic ceramic technologies. However, due to the process-related lattice deformation, ceramic coatings often exhibit reduced functional properties in the as-deposited state. A thermal posttreatment at temperatures well below the sintering temperature can significantly reduce the lattice deformation and the stress within the film to restore the functional film properties close to sintered bulk samples. In this work, the optothermal posttreatment of PAD films using three different high-power light emitting diodes (HP-LED) with different wavelengths within the visible light spectrum is investigated as an alternative to time-consuming furnace or energy-intensive laser processes on the example of thermoelectric CuFe0.98Sn0.02O2 films. We demonstrate that the space-saving LED-based posttreatment not only restores the film properties but also significantly reduces the required processing time to a few seconds.
2021
Patrick Beer, Paul M. Reichstein, Konstantin Schötz, Dominic Raithel, Mukundan Thelakkat, Jürgen Köhler, Fabian Panzer and Richard Hildner
J. Phys. Chem. A (2021) 125 10165–10173 [DOI]
We employ photoluminescence (PL) spectroscopy on individual nanoscale aggregates of the conjugated polymer poly(3-hexylthiophene), P3HT, at room temperature (RT) and at low temperature (LT) (1.5 K), to unravel different levels of structural and electronic disorder within P3HT nanoparticles. The aggregates are prepared by self-assembly of the block copolymer P3HT-block-poly(ethylene glycol) (P3HT-b-PEG) into micelles, with the P3HT aggregates constituting the micelles’ core. Irrespective of temperature, we find from the intensity ratio between the 0–1 and 0–0 peaks in the PL spectra that the P3HT aggregates are of H-type nature, as expected from π-stacked conjugated thiophene backbones. Moreover, the distributions of the PL peak ratios demonstrate a large variation of disorder between micelles (inter-aggregate disorder) and within individual aggregates (intra-aggregate disorder). Upon cooling from RT to LT, the PL spectra red-shift by 550 cm–1, and the energy of the (effective) carbon-bond stretch mode is reduced by 100 cm–1. These spectral changes indicate that the P3HT backbone in the P3HT-b-PEG copolymer does not fully planarize before aggregation at RT and that upon cooling, partial planarization occurs. This intra-chain torsional disorder is ultimately responsible for the intra- and inter-aggregate disorder. These findings are supported by temperature-dependent absorption spectra on thin P3HT films. The interplay between intra-chain, intra-aggregate, and inter-aggregate disorder is key for the bulk photophysical properties of nanoparticles based on conjugated polymers, for example, in hierarchical (super-) structures. Ultimately, these properties determine the usefulness of such structures in hybrid organic–inorganic materials, for example, in (bio-)sensing and optoelectronics applications.We employ photoluminescence (PL) spectroscopy on individual nanoscale aggregates of the conjugated polymer poly(3-hexylthiophene), P3HT, at room temperature (RT) and at low temperature (LT) (1.5 K), to unravel different levels of structural and electronic disorder within P3HT nanoparticles. The aggregates are prepared by self-assembly of the block copolymer P3HT-block-poly(ethylene glycol) (P3HT-b-PEG) into micelles, with the P3HT aggregates constituting the micelles’ core. Irrespective of temperature, we find from the intensity ratio between the 0–1 and 0–0 peaks in the PL spectra that the P3HT aggregates are of H-type nature, as expected from π-stacked conjugated thiophene backbones. Moreover, the distributions of the PL peak ratios demonstrate a large variation of disorder between micelles (inter-aggregate disorder) and within individual aggregates (intra-aggregate disorder). Upon cooling from RT to LT, the PL spectra red-shift by 550 cm–1, and the energy of the (effective) carbon-bond stretch mode is reduced by 100 cm–1. These spectral changes indicate that the P3HT backbone in the P3HT-b-PEG copolymer does not fully planarize before aggregation at RT and that upon cooling, partial planarization occurs. This intra-chain torsional disorder is ultimately responsible for the intra- and inter-aggregate disorder. These findings are supported by temperature-dependent absorption spectra on thin P3HT films. The interplay between intra-chain, intra-aggregate, and inter-aggregate disorder is key for the bulk photophysical properties of nanoparticles based on conjugated polymers, for example, in hierarchical (super-) structures. Ultimately, these properties determine the usefulness of such structures in hybrid organic–inorganic materials, for example, in (bio-)sensing and optoelectronics applications.
Understanding structure-function relationship in halide perovskites (Fabian Panzer)
Yu Zhong, Dominik Seeberger, Eva M. Herzig, Anna Köhler, Fabian Panzer, Cheng Li and Sven Huettner
ACS Appl. Mater. Interfaces 13 (2021) 45365–45374 [DOI]
One of the key factors for the remarkable improvements of halide perovskite solar cells over the last few years is the increased control over perovskite crystallinity and its thin film morphology. Among various processing methods, solvent vapor-assisted annealing (SVAA) has proven to be promising in achieving high-quality perovskite films. However, a comprehensive understanding of the perovskite crystallization process during SVAA is still lacking. In this work, we use a home-built setup to precisely control the SVAA conditions to investigate in detail the perovskite crystallization kinetics. By changing the solvent vapor concentration during annealing, the perovskite grain size can be tuned from 200 nm to several micrometers. We monitor the crystallization kinetics during solvent-free annealing and SVAA using in situ grazing incidence wide-angle X-ray scattering, where we find a diminished perovskite growth rate and the formation of low dimensional perovskite at the top of the perovskite layer during SVAA. Scanning electron microscopy images of the final films further suggest that the perovskite growth follows an Ostwald ripening process at higher solvent concentrations. Thus, our results will contribute to achieve a more targeted processing of perovskite films.One of the key factors for the remarkable improvements of halide perovskite solar cells over the last few years is the increased control over perovskite crystallinity and its thin film morphology. Among various processing methods, solvent vapor-assisted annealing (SVAA) has proven to be promising in achieving high-quality perovskite films. However, a comprehensive understanding of the perovskite crystallization process during SVAA is still lacking. In this work, we use a home-built setup to precisely control the SVAA conditions to investigate in detail the perovskite crystallization kinetics. By changing the solvent vapor concentration during annealing, the perovskite grain size can be tuned from 200 nm to several micrometers. We monitor the crystallization kinetics during solvent-free annealing and SVAA using in situ grazing incidence wide-angle X-ray scattering, where we find a diminished perovskite growth rate and the formation of low dimensional perovskite at the top of the perovskite layer during SVAA. Scanning electron microscopy images of the final films further suggest that the perovskite growth follows an Ostwald ripening process at higher solvent concentrations. Thus, our results will contribute to achieve a more targeted processing of perovskite films.
Understanding structure-function relationship in halide perovskites (Fabian Panzer)
Konstantin Schötz, Christopher Greve, Arjan Langen, Harrie Gorter, Ilker Dogan, Yulia Galagan, Albert J. J. M. van Breemen, Gerwin H. Gelinck, Eva M. Herzig, Fabian Panzer
Adv. Optical Mater. (2021) 2101161 [DOI]
To develop a detailed understanding about halide perovskite processing from solution, the crystallization processes are investigated during spin coating and slot-die coating of MAPbI3 at different evaporation rates by simultaneous in situ photoluminescence, light scattering, and absorption measurements. Based on the time evolution of the optical parameters it is found that for both processing methods initially solvent-complex-structures form, followed by perovskite crystallization. The latter proceeds in two stages for spin coating, while for slot-die coating only one perovskite crystallization phase occurs. For both processing methods, it is found that with increasing evaporation rates, the crystallization kinetics of the solvent-complex structure and the perovskite crystallization remain constant on a relative time scale, whereas the duration of the second perovskite crystallization in spin coating increases. This second perovskite crystallization appears restricted due to differences in solvent-complex phase morphologies from which the perovskite forms. The work emphasizes the importance of the exact precursor state properties on the perovskite formation. It further demonstrates that detailed analyses of multimodal optical in situ spectroscopy allows gaining a fundamental understanding of the crystallization processes that take place during solution processing of halide perovskites, independent from the specific processing method.To develop a detailed understanding about halide perovskite processing from solution, the crystallization processes are investigated during spin coating and slot-die coating of MAPbI3 at different evaporation rates by simultaneous in situ photoluminescence, light scattering, and absorption measurements. Based on the time evolution of the optical parameters it is found that for both processing methods initially solvent-complex-structures form, followed by perovskite crystallization. The latter proceeds in two stages for spin coating, while for slot-die coating only one perovskite crystallization phase occurs. For both processing methods, it is found that with increasing evaporation rates, the crystallization kinetics of the solvent-complex structure and the perovskite crystallization remain constant on a relative time scale, whereas the duration of the second perovskite crystallization in spin coating increases. This second perovskite crystallization appears restricted due to differences in solvent-complex phase morphologies from which the perovskite forms. The work emphasizes the importance of the exact precursor state properties on the perovskite formation. It further demonstrates that detailed analyses of multimodal optical in situ spectroscopy allows gaining a fundamental understanding of the crystallization processes that take place during solution processing of halide perovskites, independent from the specific processing method.
Understanding structure-function relationship in halide perovskites (Fabian Panzer)
Nico Leupold, Anna Lena Seibel, Prof. Dr. Ralf Moos and Dr. Fabian Panzer
Eur. J. Inorg. Chem. (2021) 2882 –2889 [DOI]
Defect chemistry is key to understand electrical properties of many functional materials including halide perovskites. However, expectations from defect chemistry about the dependency of defect densities on the doping regime of halide perovskites have not yet been clearly confirmed experimentally. Here, we measure the electrical conductivity of the model halide perovskite Methylammonium Lead Iodide over a wide range of iodine partial pressures. We find that with iodine partial pressure the electrical conductivity changes with different slopes in a double-logarithmic representation, indicating changes of the perovskite conductivity mechanism. Considering differences in the mobilities of the various defect species, we derive expectations about the dependence of the total conductivity of the perovskite as a function of iodine partial pressure. We find iodine vacancies dominating the conductivity at low iodine partial pressures, whereas at higher partial pressures holes govern the total conductivity. We find the concentration of iodide vacancies to be ∼1018 cm−3, in good agreement with the expected values based on intrinsic ionic disorder. Finally, for the case that the intrinsic ionic disorder concentration is overestimated, we elucidate the possibility to explain the conductivity profile by impurity induced acceptor doping in the perovskite. Thus, our work will allow to develop a more fundamental understanding about the electrical properties of halide perovskites.Defect chemistry is key to understand electrical properties of many functional materials including halide perovskites. However, expectations from defect chemistry about the dependency of defect densities on the doping regime of halide perovskites have not yet been clearly confirmed experimentally. Here, we measure the electrical conductivity of the model halide perovskite Methylammonium Lead Iodide over a wide range of iodine partial pressures. We find that with iodine partial pressure the electrical conductivity changes with different slopes in a double-logarithmic representation, indicating changes of the perovskite conductivity mechanism. Considering differences in the mobilities of the various defect species, we derive expectations about the dependence of the total conductivity of the perovskite as a function of iodine partial pressure. We find iodine vacancies dominating the conductivity at low iodine partial pressures, whereas at higher partial pressures holes govern the total conductivity. We find the concentration of iodide vacancies to be ∼1018 cm−3, in good agreement with the expected values based on intrinsic ionic disorder. Finally, for the case that the intrinsic ionic disorder concentration is overestimated, we elucidate the possibility to explain the conductivity profile by impurity induced acceptor doping in the perovskite. Thus, our work will allow to develop a more fundamental understanding about the electrical properties of halide perovskites.
Understanding structure-function relationship in halide perovskites (Fabian Panzer)
Phillipp Ramming, Nico Leupold, Konstantin Schötz, Anna Köhler, Ralf Moos, Helen Grüninger and Fabian Panzer
J. Mater. Chem. C, (2021) 9 11287-11837 [DOI]
While solution-processed halide perovskite thin films caused enormous attention when used in solar cells, thick films prepared by compressing perovskite powders are considered promising candidates for the next generation of X-ray detectors. However, X-ray detectors based on such powder-pressed perovskites typically suffer from relatively high dark currents, which were attributed to be caused by ion migration. Here we show that the dark current in 800 μm thick powder-pressed MAPbI3-pellets can be reduced by a factor of 25 when using a passivated powder. The passivation was achieved by adding 1 mol% of the ionic liquid (IL) BMIMBF4 to the precursors MAI and PbI2 during the mechanochemical synthesis of the MAPbI3 powder. NMR verified the presence of the IL, and its impact on the excited state recombination dynamics was manifested in an increase in the photoluminescence (PL) intensity and a decrease in the monomolecular (trap-assisted) recombination rate, both by about one order of magnitude. By measuring the migration of a PL quenching front upon application of an electric field in a microscope, we determine an ionic diffusivity in the typical range of iodide vacancies in the non-passivated pellet. At the same time, we observe no such PL quenching front in the passivated pellet. Concomitantly, dark I–V curves are hysteresis-free, and light-soaking effects are absent, in contrast to non-passivated pellets. Thus, our work demonstrates the effect on the optical and electrical properties when passivating mechanochemically synthesized halide perovskite powders using an IL, which will facilitate the further development of powder-based perovskite X-ray detectors.While solution-processed halide perovskite thin films caused enormous attention when used in solar cells, thick films prepared by compressing perovskite powders are considered promising candidates for the next generation of X-ray detectors. However, X-ray detectors based on such powder-pressed perovskites typically suffer from relatively high dark currents, which were attributed to be caused by ion migration. Here we show that the dark current in 800 μm thick powder-pressed MAPbI3-pellets can be reduced by a factor of 25 when using a passivated powder. The passivation was achieved by adding 1 mol% of the ionic liquid (IL) BMIMBF4 to the precursors MAI and PbI2 during the mechanochemical synthesis of the MAPbI3 powder. NMR verified the presence of the IL, and its impact on the excited state recombination dynamics was manifested in an increase in the photoluminescence (PL) intensity and a decrease in the monomolecular (trap-assisted) recombination rate, both by about one order of magnitude. By measuring the migration of a PL quenching front upon application of an electric field in a microscope, we determine an ionic diffusivity in the typical range of iodide vacancies in the non-passivated pellet. At the same time, we observe no such PL quenching front in the passivated pellet. Concomitantly, dark I–V curves are hysteresis-free, and light-soaking effects are absent, in contrast to non-passivated pellets. Thus, our work demonstrates the effect on the optical and electrical properties when passivating mechanochemically synthesized halide perovskite powders using an IL, which will facilitate the further development of powder-based perovskite X-ray detectors.
Tobias Meier, Heinz Bässler and Anna Köhler
Adv. Optical Mater. (2021) 2100115 [DOI]
The active element of an organic field effect transistor (OFET) is a polycrystalline transport layer. The crystallites are interrupted by grain boundaries (GB) that can act as traps or barriers to the charge‐carriers. Their impact on charge transport and hence on the performance of the OFET is still not fully understood. Employing kinetic Monte Carlo studies, the authors set up well‐defined test systems and explore how the parameters of the system, for example, the thickness of the GB, their fractional contribution to the overall film, and the energies of the GB relative to the crystallites, affect the performance of the OFET. It is found that these parameters control the position of the Fermi level, which is crucial in controlling whether the charge transport is confined to GB, or whether it takes place as a superposition between filamentary transport in the boundaries and delocalized transport in the crystallites, or as tunneling‐mediated transport across the crystallites. Guidelines for the morphological optimization of the films for these different transport modes are derived.The active element of an organic field effect transistor (OFET) is a polycrystalline transport layer. The crystallites are interrupted by grain boundaries (GB) that can act as traps or barriers to the charge‐carriers. Their impact on charge transport and hence on the performance of the OFET is still not fully understood. Employing kinetic Monte Carlo studies, the authors set up well‐defined test systems and explore how the parameters of the system, for example, the thickness of the GB, their fractional contribution to the overall film, and the energies of the GB relative to the crystallites, affect the performance of the OFET. It is found that these parameters control the position of the Fermi level, which is crucial in controlling whether the charge transport is confined to GB, or whether it takes place as a superposition between filamentary transport in the boundaries and delocalized transport in the crystallites, or as tunneling‐mediated transport across the crystallites. Guidelines for the morphological optimization of the films for these different transport modes are derived.
Andrei Stankevych, Alexander Vakhnin, Denis Andrienko, Leanne Paterson, Jan Genoe, Ivan Fishchuk, Heinz Bässler, Anna Köhler and Andrey Kadashchuk
Phys. Rev. Applied 15 (2021) 044050 [DOI]
The electronic density of states (DOS) plays a central role in controlling the charge-carrier transport
in amorphous organic semiconductors, while its accurate determination is still a challenging task.
We apply the low-temperature fractional thermally stimulated luminescence (TSL) technique to determine
the DOS of pristine amorphous films of organic light-emitting diode (OLED) host materials.
The DOS width is determined for two series of hosts, namely, (i) carbazole-biphenyl derivatives, 4,4-
bis(N-carbazolyl)-1,1-biphenyl (CBP), 3,3-di(9H-carbazol-9-yl)-1,1-biphenyl (mCBP), and 3,5-di(9Hcarbazol-
9-yl)-[1,1-biphenyl]-3-carbonitrile (mCBP-CN), and (ii) carbazole-phenyl (CP) derivatives,
1,3-bis(N-carbazolyl)benzene (mCP) and 9-[3-(9H-carbazol-9-yl)phenyl]-9H-carbazole-3-carbonitrile
(mCP-CN). TSL originates from radiative recombination of charge carriers thermally released from the
lower-energy part of the intrinsic DOS that causes charge trapping at very low temperatures. We find that
the intrinsic DOS can be approximated by a Gaussian distribution, with a deep exponential tail accompanying
this distribution in CBP and mCBP films. The DOS profile broadens with increasing molecular
dipole moments, varying from 0 to 6 D, in a similar manner within each series, in line with the dipolar disorder
model. The same molecular dipole moment, however, leads to a broader DOS of CP compared with
CBP derivatives. Using computer simulations, we attribute the difference between the series to a smaller
polarizability of cations in CP derivatives, leading to weaker screening of the electrostatic disorder by
induction. These results demonstrate that the low-temperature TSL technique can be used as an efficient
experimental tool for probing the DOS in small-molecule OLED materialsThe electronic density of states (DOS) plays a central role in controlling the charge-carrier transport
in amorphous organic semiconductors, while its accurate determination is still a challenging task.
We apply the low-temperature fractional thermally stimulated luminescence (TSL) technique to determine
the DOS of pristine amorphous films of organic light-emitting diode (OLED) host materials.
The DOS width is determined for two series of hosts, namely, (i) carbazole-biphenyl derivatives, 4,4-
bis(N-carbazolyl)-1,1-biphenyl (CBP), 3,3-di(9H-carbazol-9-yl)-1,1-biphenyl (mCBP), and 3,5-di(9Hcarbazol-
9-yl)-[1,1-biphenyl]-3-carbonitrile (mCBP-CN), and (ii) carbazole-phenyl (CP) derivatives,
1,3-bis(N-carbazolyl)benzene (mCP) and 9-[3-(9H-carbazol-9-yl)phenyl]-9H-carbazole-3-carbonitrile
(mCP-CN). TSL originates from radiative recombination of charge carriers thermally released from the
lower-energy part of the intrinsic DOS that causes charge trapping at very low temperatures. We find that
the intrinsic DOS can be approximated by a Gaussian distribution, with a deep exponential tail accompanying
this distribution in CBP and mCBP films. The DOS profile broadens with increasing molecular
dipole moments, varying from 0 to 6 D, in a similar manner within each series, in line with the dipolar disorder
model. The same molecular dipole moment, however, leads to a broader DOS of CP compared with
CBP derivatives. Using computer simulations, we attribute the difference between the series to a smaller
polarizability of cations in CP derivatives, leading to weaker screening of the electrostatic disorder by
induction. These results demonstrate that the low-temperature TSL technique can be used as an efficient
experimental tool for probing the DOS in small-molecule OLED materials
R. Saxena, V. R. Nikitenko, I. I. Fishchuk, Ya. V. Burdakov, Yu. V. Metel, J. Genoe, H. Bässler, A. Köhler and A. Kadashchuk
Phys. Rev. B (2021) 103, 165202 [DOI]
While it is commonly accepted that the activation energy of the thermally activated polaron hopping transport in disordered organic semiconductors can be decoupled into a disorder and a polaron contribution, their relative weight is still controversial. This feature is quantified in terms of the so-called C factor in the expression for the effective polaron mobility: μe∝exp[−Ea/kBT−C(σ/kBT)2], where Ea and σ are the polaron activation energy and the energy width of a Gaussian density of states (DOS), respectively. A key issue is whether the universal scaling relation (implying a constant C factor) regarding the polaron formation energy is really obeyed, as recently claimed in the literature [Seki and Wojcik, J. Chem. Phys. 145, 034106 (2016)]. In the present work, we reinvestigate this issue on the basis of the Marcus transition rate model using extensive kinetic Monte Carlo simulations as a benchmark tool. We compare the polaron-transport simulation data with results of analytical calculations by the effective medium approximation and multiple trapping and release approaches. The key result of this study is that the C factor for Marcus polaron hopping depends on first the degree of carrier localization, i.e., the coupling between the sites, further whether quasiequilibrium has indeed been reached, and finally the σ/Ea ratio. This implies that there is no universal scaling with respect to the relative contribution of polaron and disorder effect. Finally, we demonstrate that virtually the same values of the disorder parameter σ are determined from available experimental data using the C factors obtained here irrespective of whether the data are interpreted in terms of Marcus or Miller-Abrahams rates. This implies that molecular reorganization contributes only weakly to charge transport, and it justifies the use of the zero-order Miller-Abrahams rate model for evaluating the DOS width from temperature-dependent charge transport measurements regardless of whether or not polaron effects are accounted for.While it is commonly accepted that the activation energy of the thermally activated polaron hopping transport in disordered organic semiconductors can be decoupled into a disorder and a polaron contribution, their relative weight is still controversial. This feature is quantified in terms of the so-called C factor in the expression for the effective polaron mobility: μe∝exp[−Ea/kBT−C(σ/kBT)2], where Ea and σ are the polaron activation energy and the energy width of a Gaussian density of states (DOS), respectively. A key issue is whether the universal scaling relation (implying a constant C factor) regarding the polaron formation energy is really obeyed, as recently claimed in the literature [Seki and Wojcik, J. Chem. Phys. 145, 034106 (2016)]. In the present work, we reinvestigate this issue on the basis of the Marcus transition rate model using extensive kinetic Monte Carlo simulations as a benchmark tool. We compare the polaron-transport simulation data with results of analytical calculations by the effective medium approximation and multiple trapping and release approaches. The key result of this study is that the C factor for Marcus polaron hopping depends on first the degree of carrier localization, i.e., the coupling between the sites, further whether quasiequilibrium has indeed been reached, and finally the σ/Ea ratio. This implies that there is no universal scaling with respect to the relative contribution of polaron and disorder effect. Finally, we demonstrate that virtually the same values of the disorder parameter σ are determined from available experimental data using the C factors obtained here irrespective of whether the data are interpreted in terms of Marcus or Miller-Abrahams rates. This implies that molecular reorganization contributes only weakly to charge transport, and it justifies the use of the zero-order Miller-Abrahams rate model for evaluating the DOS width from temperature-dependent charge transport measurements regardless of whether or not polaron effects are accounted for.
Understanding structure-function relationship in halide perovskites (Fabian Panzer)
Seul-Gi Kim, Jeong-Hyeon Kim, Philipp Ramming, Yu Zhong, Konstantin Schötz, Seok Joon Kwon, Sven Huettner, Fabian Panzer and Nam-Gyu Park
Nature Communications (2021) 1554 [DOI]
Charge carriers’ density, their lifetime, mobility, and the existence of trap states are strongly affected by the microscopic morphologies of perovskite films, and have a direct influence on the photovoltaic performance. Here, we report on micro-wrinkled perovskite layers to enhance photocarrier transport performances. By utilizing temperature-dependent miscibility of dimethyl sulfoxide with diethyl ether, the geometry of the microscopic wrinkles of the perovskite films are controlled. Wrinkling is pronounced as temperature of diethyl ether (TDE) decreases due to the compressive stress relaxation of the thin rigid film-capped viscoelastic layer. Time-correlated single-photon counting reveals longer carrier lifetime at the hill sites than at the valley sites. The wrinkled morphology formed at TDE = 5 °C shows higher power conversion efficiency (PCE) and better stability than the flat one formed at TDE = 30 °C. Interfacial and additive engineering improve further PCE to 23.02%. This study provides important insight into correlation between lattice strain and carrier properties in perovskite photovoltaics.Charge carriers’ density, their lifetime, mobility, and the existence of trap states are strongly affected by the microscopic morphologies of perovskite films, and have a direct influence on the photovoltaic performance. Here, we report on micro-wrinkled perovskite layers to enhance photocarrier transport performances. By utilizing temperature-dependent miscibility of dimethyl sulfoxide with diethyl ether, the geometry of the microscopic wrinkles of the perovskite films are controlled. Wrinkling is pronounced as temperature of diethyl ether (TDE) decreases due to the compressive stress relaxation of the thin rigid film-capped viscoelastic layer. Time-correlated single-photon counting reveals longer carrier lifetime at the hill sites than at the valley sites. The wrinkled morphology formed at TDE = 5 °C shows higher power conversion efficiency (PCE) and better stability than the flat one formed at TDE = 30 °C. Interfacial and additive engineering improve further PCE to 23.02%. This study provides important insight into correlation between lattice strain and carrier properties in perovskite photovoltaics.
Steponas Raišys, Ona Adomėnienė, Povilas Adomėnas, Alexander Rudnick, Anna Köhler and Karolis Kazlauskas
J. Phys. Chem. C (2021) [DOI]
Efficient triplet exciton hopping (diffusion) in amorphous solid films is essential for triplet–triplet annihilation (TTA) and TTA-mediated photon upconversion (UC) at low excitation power densities. However, enhanced triplet diffusion, particularly in high-emitter-content UC films, also facilitates their trapping and quenching at nonradiative decay sites, thus deteriorating UC efficiency. In this work, triplet exciton diffusion and quenching are studied in matrix-free solid UC films based on two novel bisfluorene-anthracene (BFA) emitters, i.e., one with methyl substitution (BFA-Me) and the other with a phenyl substitution (BFA-Ph), and a standard platinum octaethylporphyrin (PtOEP) sensitizer. By analyzing temperature-dependent TTA-UC dynamics and accounting for various singlet exciton-related processes, we are able to discern triplet exciton quenching occurring explicitly in the emitter and show that it is one of the dominating mechanisms impeding the UC performance of BFA/PtOEP films, particularly at elevated temperatures. Regardless of the lower density of quenchers present in the BFA-Ph film, twice as large triplet diffusivity estimated in this film (D = (2.13 ± 0.64) × 10–9 cm2·s–1) at room temperature as compared to that in the BFA-Me film caused more rapid triplet quenching. This resulted in the shifting of the optimal UC performance of BFA-Ph to lower temperatures (T = 160 K) with respect to that of BFA-Me (T = 220 K). To obtain a high UC quantum yield, which for these materials can be estimated to reach >5% at room temperature and above, the excessive diffusion to the remaining quenching sites needs to be suppressed, e.g., by increasing the intermolecular distance through side groups.Efficient triplet exciton hopping (diffusion) in amorphous solid films is essential for triplet–triplet annihilation (TTA) and TTA-mediated photon upconversion (UC) at low excitation power densities. However, enhanced triplet diffusion, particularly in high-emitter-content UC films, also facilitates their trapping and quenching at nonradiative decay sites, thus deteriorating UC efficiency. In this work, triplet exciton diffusion and quenching are studied in matrix-free solid UC films based on two novel bisfluorene-anthracene (BFA) emitters, i.e., one with methyl substitution (BFA-Me) and the other with a phenyl substitution (BFA-Ph), and a standard platinum octaethylporphyrin (PtOEP) sensitizer. By analyzing temperature-dependent TTA-UC dynamics and accounting for various singlet exciton-related processes, we are able to discern triplet exciton quenching occurring explicitly in the emitter and show that it is one of the dominating mechanisms impeding the UC performance of BFA/PtOEP films, particularly at elevated temperatures. Regardless of the lower density of quenchers present in the BFA-Ph film, twice as large triplet diffusivity estimated in this film (D = (2.13 ± 0.64) × 10–9 cm2·s–1) at room temperature as compared to that in the BFA-Me film caused more rapid triplet quenching. This resulted in the shifting of the optimal UC performance of BFA-Ph to lower temperatures (T = 160 K) with respect to that of BFA-Me (T = 220 K). To obtain a high UC quantum yield, which for these materials can be estimated to reach >5% at room temperature and above, the excessive diffusion to the remaining quenching sites needs to be suppressed, e.g., by increasing the intermolecular distance through side groups.
Understanding structure-function relationship in halide perovskites (Fabian Panzer)
Konstantin Schötz and Fabian Panzer
J. Phys. Chem. A (2021) [DOI]
The research interest in halide perovskites has gained momentum enormously over the last recent years, also due to the demonstration of high-efficient perovskite-based optoelectronic devices. A prerequisite for such highly efficient devices is to realize high-quality perovskite layers, which requires a deep understanding about the perovskite formation and good process control. In that context, in situ optical spectroscopy during the processing of halide perovskites has become increasingly popular. Even though it is a relatively easily accessible yet powerful tool for studying perovskite formation, there exist some technical and analytical aspects that need to be considered to unfold its full potential. In this Perspective, we give an overview of the latest developments in the field of in situ optical spectroscopy to control and better understand the film processing of halide perovskites. We highlight possibilities and pitfalls regarding the analysis of measured optical data, discuss the development of technical concepts, and address future prospects of optical in situ spectroscopy.The research interest in halide perovskites has gained momentum enormously over the last recent years, also due to the demonstration of high-efficient perovskite-based optoelectronic devices. A prerequisite for such highly efficient devices is to realize high-quality perovskite layers, which requires a deep understanding about the perovskite formation and good process control. In that context, in situ optical spectroscopy during the processing of halide perovskites has become increasingly popular. Even though it is a relatively easily accessible yet powerful tool for studying perovskite formation, there exist some technical and analytical aspects that need to be considered to unfold its full potential. In this Perspective, we give an overview of the latest developments in the field of in situ optical spectroscopy to control and better understand the film processing of halide perovskites. We highlight possibilities and pitfalls regarding the analysis of measured optical data, discuss the development of technical concepts, and address future prospects of optical in situ spectroscopy.
Innovative processing strategies for halide perovskites (Fabian Panzer)
Helen Grüninger, Menno Bokdam, Nico Leupold, Paul Tinnemans, Ralf Moos, Gilles A. De Wijs, Fabian Panzer and Arno P. M. Kentgens
J. Phys. Chem. C 125 (2021) 1742–1753 [DOI]
Recent developments in thefield of high efficiencyperovskite solar cells are based on stabilization of the perovskitecrystal structure of FAPbI3while preserving its excellentoptoelectronic properties. Compositional engineering of, forexample, MA or Br mixed into FAPbI3results in the desiredeffects, but detailed knowledge of local structural features, such aslocal (dis)order or cation interactions of formamidinium (FA) andmethylammonium (MA), is still limited. This knowledge is,however, crucial for their further development. Here, we shed lighton the microscopic distribution of MA and FA in mixedperovskites MA1−xFAxPbI3and MA0.15FA0.85PbI2.55Br0.45bycombining high-resolution double-quantum1H solid-state nuclear magnetic resonance (NMR) spectroscopy with state-of-the-artnear-first-principles accuracy molecular dynamics (MD) simulations using machine-learning force-fields (MLFFs). We show that ona small local scale, partial MA and FA clustering takes place over the whole MA/FA compositional range. A reasonable driving forcefor the clustering might be an increase of the dynamical freedom of FA cations in FA-rich regions. While MA0.15FA0.85PbI2.55Br0.45displays similar MA and FA ordering as the MA1−xFAxPbI3systems, the average cation−cation interaction strength increasedsignificantly in this double mixed material, indicating a restriction of the space accessible to the cations or their partialimmobilization upon Br−incorporation. Our results shed light on the heterogeneities in cation composition of mixed halideperovskites, helping to exploit their full optoelectronic potential.Recent developments in thefield of high efficiencyperovskite solar cells are based on stabilization of the perovskitecrystal structure of FAPbI3while preserving its excellentoptoelectronic properties. Compositional engineering of, forexample, MA or Br mixed into FAPbI3results in the desiredeffects, but detailed knowledge of local structural features, such aslocal (dis)order or cation interactions of formamidinium (FA) andmethylammonium (MA), is still limited. This knowledge is,however, crucial for their further development. Here, we shed lighton the microscopic distribution of MA and FA in mixedperovskites MA1−xFAxPbI3and MA0.15FA0.85PbI2.55Br0.45bycombining high-resolution double-quantum1H solid-state nuclear magnetic resonance (NMR) spectroscopy with state-of-the-artnear-first-principles accuracy molecular dynamics (MD) simulations using machine-learning force-fields (MLFFs). We show that ona small local scale, partial MA and FA clustering takes place over the whole MA/FA compositional range. A reasonable driving forcefor the clustering might be an increase of the dynamical freedom of FA cations in FA-rich regions. While MA0.15FA0.85PbI2.55Br0.45displays similar MA and FA ordering as the MA1−xFAxPbI3systems, the average cation−cation interaction strength increasedsignificantly in this double mixed material, indicating a restriction of the space accessible to the cations or their partialimmobilization upon Br−incorporation. Our results shed light on the heterogeneities in cation composition of mixed halideperovskites, helping to exploit their full optoelectronic potential.
Innovative processing strategies for halide perovskites (Fabian Panzer)
Nico Leupold and Fabian Panzer
Adv. Funct. Mater. (2021) 2007350 [DOI]
Halide perovskites have undergone an impressive development and could be used in a wide range of optoelectronic devices, where some of them are already at the edge of commercialization, e.g., perovskite solar cells. Recently, interest in perovskites in powder form has increased, as for example, they are found to exhibit high stability and allow for easy production of large quantities. Accordingly, also the topic of processing thin and thick films on the basis of perovskite powders is currently gaining momentum. Here, perovskite powder can form the basis for both, typical wet and solvent‐based processing approaches, as well as for dry processes. In this Progress Report, the recent developments of halide perovskites in powder form and of film processing approaches are summarized that are based on them. The advantages and opportunities of the different processing methods are highlighted, but their individual drawbacks and limitations are also discussed. Prospects are also pointed out and possible steps necessary to unlock the full potential of powder‐based processing methods for producing high quality thick and thin perovskite layers in the future are discussed.Halide perovskites have undergone an impressive development and could be used in a wide range of optoelectronic devices, where some of them are already at the edge of commercialization, e.g., perovskite solar cells. Recently, interest in perovskites in powder form has increased, as for example, they are found to exhibit high stability and allow for easy production of large quantities. Accordingly, also the topic of processing thin and thick films on the basis of perovskite powders is currently gaining momentum. Here, perovskite powder can form the basis for both, typical wet and solvent‐based processing approaches, as well as for dry processes. In this Progress Report, the recent developments of halide perovskites in powder form and of film processing approaches are summarized that are based on them. The advantages and opportunities of the different processing methods are highlighted, but their individual drawbacks and limitations are also discussed. Prospects are also pointed out and possible steps necessary to unlock the full potential of powder‐based processing methods for producing high quality thick and thin perovskite layers in the future are discussed.
2020
Heinz Bässler, Daniel Kroh, Franz Schauer, Vojtech Nádaždy and Anna Köhler
Adv. Funct. Mater. (2020) 2007738 [DOI]
Although the density of states (DOS) distribution of charge transporting states in an organic semiconductor is vital for device operation, its experimental assessment is not at all straightforward. In this work, the technique of energy resolved–electrochemical impedance spectroscopy (ER‐EIS) is employed to determine the DOS distributions of valence (highest occupied molecular orbital (HOMO)) as well as electron (lowest unoccupied molecular orbital (LUMO)) states in several organic semiconductors in the form of neat and blended films. In all cases, the core of the inferred DOS distributions are Gaussians that sometimes carry low energy tails. A comparison of the HOMO and LUMO DOS of P3HT inferred from ER‐EIS and photoemission (PE) or inverse PE (IPE) spectroscopy indicates that the PE/IPE spectra are by a factor of 2–3 broader than the ER‐EIS spectra, implying that they overestimate the width of the distributions. A comparison of neat films of MeLPPP and SF‐PDI2 or PC(61)BM with corresponding blends reveals an increased width of the DOS in the blends. The results demonstrate that this technique does not only allow mapping the DOS distributions over five orders of magnitude and over a wide energy window of 7 eV, but can also delineate changes that occur upon blending.Although the density of states (DOS) distribution of charge transporting states in an organic semiconductor is vital for device operation, its experimental assessment is not at all straightforward. In this work, the technique of energy resolved–electrochemical impedance spectroscopy (ER‐EIS) is employed to determine the DOS distributions of valence (highest occupied molecular orbital (HOMO)) as well as electron (lowest unoccupied molecular orbital (LUMO)) states in several organic semiconductors in the form of neat and blended films. In all cases, the core of the inferred DOS distributions are Gaussians that sometimes carry low energy tails. A comparison of the HOMO and LUMO DOS of P3HT inferred from ER‐EIS and photoemission (PE) or inverse PE (IPE) spectroscopy indicates that the PE/IPE spectra are by a factor of 2–3 broader than the ER‐EIS spectra, implying that they overestimate the width of the distributions. A comparison of neat films of MeLPPP and SF‐PDI2 or PC(61)BM with corresponding blends reveals an increased width of the DOS in the blends. The results demonstrate that this technique does not only allow mapping the DOS distributions over five orders of magnitude and over a wide energy window of 7 eV, but can also delineate changes that occur upon blending.
Julia Wollmann, Frank-Julian Kahle, Irene Bauer, Anna Köhler and Peter Strohriegl
Macromolecules 53 (2020) 10137–10146 [DOI]
In this work, we present a versatile approach to achieve well-defined conjugated polymers and oligomers from a single standard synthesis route via preparative size-exclusion chromatography. Using a special recycle mode and well-defined endcappers, we are able to prepare pure oligomers with three to eight repeat units and high-molecular-weight polymers with dispersity ĐM as low as 1.06 in just one preparation step with reasonable yield. To demonstrate the capabilities of our method, we conducted a fundamental spectroscopic study on the influence of chain length and molecular weight distribution on electronic properties and aggregation behavior of a series of fluorene based oligo- and polymers. Due to the well-defined nature of the investigated compounds, we consistently find a first-order phase transition and an increase of the critical transition temperature from the amorphous phase to the ordered β-phase as a function of the number of repeat units in accordance with the Sanchez model on coil–globule transitions.In this work, we present a versatile approach to achieve well-defined conjugated polymers and oligomers from a single standard synthesis route via preparative size-exclusion chromatography. Using a special recycle mode and well-defined endcappers, we are able to prepare pure oligomers with three to eight repeat units and high-molecular-weight polymers with dispersity ĐM as low as 1.06 in just one preparation step with reasonable yield. To demonstrate the capabilities of our method, we conducted a fundamental spectroscopic study on the influence of chain length and molecular weight distribution on electronic properties and aggregation behavior of a series of fluorene based oligo- and polymers. Due to the well-defined nature of the investigated compounds, we consistently find a first-order phase transition and an increase of the critical transition temperature from the amorphous phase to the ordered β-phase as a function of the number of repeat units in accordance with the Sanchez model on coil–globule transitions.
Xiaojian Liao, Frank-Julian Kahle, Bin Liu, Heinz Bässler, Xinghong Zhang, Anna Köhler and Andreas Greiner
Mater. Horiz. 7 (2020) 1605-1612 [DOI]
Conjugated polymers and oligomers that emit polarized light are used as active materials in various optoelectronic device applications, notably organic light-emitting diodes (OLEDs). Here, we demonstrate the fabrication of electrospun polarized light-emitting fibers from a non-conjugated polymer that can be aligned by a simple heat-stretching process. Upon excitation at 340 nm, ribbons made from the nanofibers show polarized deep blue luminescence with an anisotropy of 0.37 and a quantum yield of about 31%. Furthermore, they exhibit room temperature green phosphorescence with a lifetime of about 200 ms as well as a delayed deep blue fluorescence resulting from triplet–triplet annihilation (non-coherent photon upconversion) (TTA). Wide and small angle X-ray scattering experiments show that the stretched electrospun fibers are highly aligned with nearly perfect uniaxial orientation within the fabricated ribbons. This results in a mechanically robust and flexible material, with a high specific tensile strength (534 ± 28) MPa cm3 g−1 and toughness (79 ± 7) J g−1. The combination of efficient polarized deep blue luminescence, room temperature phosphorescence, TTA, mechanical robustness and flexibility of these fibers opens up new avenues for applications of non-conjugated polymers.Conjugated polymers and oligomers that emit polarized light are used as active materials in various optoelectronic device applications, notably organic light-emitting diodes (OLEDs). Here, we demonstrate the fabrication of electrospun polarized light-emitting fibers from a non-conjugated polymer that can be aligned by a simple heat-stretching process. Upon excitation at 340 nm, ribbons made from the nanofibers show polarized deep blue luminescence with an anisotropy of 0.37 and a quantum yield of about 31%. Furthermore, they exhibit room temperature green phosphorescence with a lifetime of about 200 ms as well as a delayed deep blue fluorescence resulting from triplet–triplet annihilation (non-coherent photon upconversion) (TTA). Wide and small angle X-ray scattering experiments show that the stretched electrospun fibers are highly aligned with nearly perfect uniaxial orientation within the fabricated ribbons. This results in a mechanically robust and flexible material, with a high specific tensile strength (534 ± 28) MPa cm3 g−1 and toughness (79 ± 7) J g−1. The combination of efficient polarized deep blue luminescence, room temperature phosphorescence, TTA, mechanical robustness and flexibility of these fibers opens up new avenues for applications of non-conjugated polymers.
Stefan Wedler, Cheng Zhou, Guillermo C. Bazan, Fabian Panzer and Anna Köhler
J. Phys. Chem. Lett. 11 (2020) 9379-9386 [DOI]
The performance of solution-processed organic semiconductor devices is heavily influenced by the morphology of the active layer. Film formation is a complex process, with the final morphology being the result of the interplay between processing parameters and molecular properties, which is only poorly understood. Here, we investigate the influence of molecular stiffness by using two model oligomers, TT and CT, which differ only in the rotational flexibility of their central building block. We monitor absorption and emission simultaneously in situ during spin coating. We find that film formation takes place in four similar stages for both compounds. However, the time scales are remarkably different during the third stage, where electronically interacting aggregates are created. While this process is fast for the stiff CT, it takes minutes for the flexible TT. By comparing with previously determined aggregation properties in solution, we conclude that even though aggregate formation concurs with a planarization process, a certain amount of backbone flexibility is beneficial for establishing ordered structures during film formation. Here, the elongated time window in the case of the flexible compound can further allow for better processing control.The performance of solution-processed organic semiconductor devices is heavily influenced by the morphology of the active layer. Film formation is a complex process, with the final morphology being the result of the interplay between processing parameters and molecular properties, which is only poorly understood. Here, we investigate the influence of molecular stiffness by using two model oligomers, TT and CT, which differ only in the rotational flexibility of their central building block. We monitor absorption and emission simultaneously in situ during spin coating. We find that film formation takes place in four similar stages for both compounds. However, the time scales are remarkably different during the third stage, where electronically interacting aggregates are created. While this process is fast for the stiff CT, it takes minutes for the flexible TT. By comparing with previously determined aggregation properties in solution, we conclude that even though aggregate formation concurs with a planarization process, a certain amount of backbone flexibility is beneficial for establishing ordered structures during film formation. Here, the elongated time window in the case of the flexible compound can further allow for better processing control.
Rishabh Saxena, Tobias Meier, Stavros Athanasopoulos, Heinz Bässler and Anna Köhler
Phys. Rev. Applied 14 (2020) 034050 [DOI]
It is well known that in organic solids the collision of two excitons can give rise to delayed fluorescence (DF). Revived interest in this topic is stimulated by the current endeavor towards the development of efficient organic optoelectronic devices such as organic light-emitting diodes (OLEDs) and solar cells, or sensitizers used in photodynamic therapy. In such devices, triplet excitations are ubiquitously present but their annihilations can be either detrimental, e.g., giving rise to a roll-off of intensity in an OLED, or mandatory, e.g., if the sensitizer relies on up-conversion of long-lived low-energy triplet excitations. Since the employed materials are usually noncrystalline, optical excitations migrate via incoherent hopping. Here, we employ kinetic Monte Carlo simulations (KMC) to study the complex interplay of triplet-triplet annihilation (TTA) and quenching of the triplet excitations by impurities in a single-component system featuring a Gaussian energy landscape and variable system parameters such as the length of the hopping sites, i.e., a conjugated oligomer, the morphology of the system, the degree of disorder (σ), the concentration of triplet excitations, and temperature. We also explore the effect of polaronic contributions to the hopping rates. A key conclusion is that the DF features a maximum at a temperature that scales with σ/kBT. This is related to disorder-induced filamentary currents and thus locally enhanced triplet densities. We predict that a maximum for the TTA process near room temperature or above requires typically a disorder parameter of at least 70 meV.It is well known that in organic solids the collision of two excitons can give rise to delayed fluorescence (DF). Revived interest in this topic is stimulated by the current endeavor towards the development of efficient organic optoelectronic devices such as organic light-emitting diodes (OLEDs) and solar cells, or sensitizers used in photodynamic therapy. In such devices, triplet excitations are ubiquitously present but their annihilations can be either detrimental, e.g., giving rise to a roll-off of intensity in an OLED, or mandatory, e.g., if the sensitizer relies on up-conversion of long-lived low-energy triplet excitations. Since the employed materials are usually noncrystalline, optical excitations migrate via incoherent hopping. Here, we employ kinetic Monte Carlo simulations (KMC) to study the complex interplay of triplet-triplet annihilation (TTA) and quenching of the triplet excitations by impurities in a single-component system featuring a Gaussian energy landscape and variable system parameters such as the length of the hopping sites, i.e., a conjugated oligomer, the morphology of the system, the degree of disorder (σ), the concentration of triplet excitations, and temperature. We also explore the effect of polaronic contributions to the hopping rates. A key conclusion is that the DF features a maximum at a temperature that scales with σ/kBT. This is related to disorder-induced filamentary currents and thus locally enhanced triplet densities. We predict that a maximum for the TTA process near room temperature or above requires typically a disorder parameter of at least 70 meV.
Subeesh Madayanad Suresh, Eimantas Duda, David Hall, Zhen Yao, Sergey Bagnich, Alexandra M. Z. Slawin, Heinz Bässler, David Beljonne, Manfred Buck, Yoann Olivier, Anna Köhler and Eli Zysman-Colman
J. Am. Chem. Soc. 142 (2020) 6588–6599 [DOI]
An easy-to-access, near-UV-emitting linearly extended B,N-doped heptacene with high thermal stability is designed and synthesized in good yields. This compound exhibits thermally activated delayed fluorescence (TADF) at ambient temperature from a multiresonant (MR) state and represents a rare example of a non-triangulene-based MR-TADF emitter. At lower temperatures triplet–triplet annihilation dominates. The compound simultaneously possesses narrow, deep-blue emission with CIE coordinates of (0.17, 0.01). While delayed fluorescence results mainly from triplet–triplet annihilation at lower temperatures in THF solution, where aggregates form upon cooling, the TADF mechanism takes over around room temperature in solution when the aggregates dissolve or when the compound is well dispersed in a solid matrix. The potential of our molecular design to trigger TADF in larger acenes is demonstrated through the accurate prediction of ΔEST using correlated wave-function-based calculations. On the basis of these calculations, we predicted dramatically different optoelectronic behavior in terms of both ΔEST and the optical energy gap of two constitutional isomers where only the boron and nitrogen positions change. A comprehensive structural, optoelectronic, and theoretical investigation is presented. In addition, the ability of the achiral molecule to assemble on a Au(111) surface to a highly ordered layer composed of enantiomorphic domains of racemic entities is demonstrated by scanning tunneling microscopy.An easy-to-access, near-UV-emitting linearly extended B,N-doped heptacene with high thermal stability is designed and synthesized in good yields. This compound exhibits thermally activated delayed fluorescence (TADF) at ambient temperature from a multiresonant (MR) state and represents a rare example of a non-triangulene-based MR-TADF emitter. At lower temperatures triplet–triplet annihilation dominates. The compound simultaneously possesses narrow, deep-blue emission with CIE coordinates of (0.17, 0.01). While delayed fluorescence results mainly from triplet–triplet annihilation at lower temperatures in THF solution, where aggregates form upon cooling, the TADF mechanism takes over around room temperature in solution when the aggregates dissolve or when the compound is well dispersed in a solid matrix. The potential of our molecular design to trigger TADF in larger acenes is demonstrated through the accurate prediction of ΔEST using correlated wave-function-based calculations. On the basis of these calculations, we predicted dramatically different optoelectronic behavior in terms of both ΔEST and the optical energy gap of two constitutional isomers where only the boron and nitrogen positions change. A comprehensive structural, optoelectronic, and theoretical investigation is presented. In addition, the ability of the achiral molecule to assemble on a Au(111) surface to a highly ordered layer composed of enantiomorphic domains of racemic entities is demonstrated by scanning tunneling microscopy.
Zhen Zhang, Shiv Kumar, Sergey Bagnich, Eduard Spuling, Fabian Hundemer, Martin Nieger, Zahid Hassan, Anna Köhler, Eli Zysman-Colman and Stefan Bräse
Front. Chem., 30 (2020) 563411 [DOI]
Six luminophores bearing an OBO-fused benzo[fg]tetracene core as an electron acceptor were designed and synthesized. The molecular structures of three molecules (PXZ-OBO, 5PXZ-OBO, 5DMAC-OBO) were determined by single crystal X-ray diffraction studies and revealed significant torsion between the donor moieties and the OBO acceptor with dihedral angles between 75.5 and 86.2°. Photophysical studies demonstrate that blue and deep blue emission can be realized with photoluminescence maxima (λPL) ranging from 415 to 480 nm in mCP films. The emission energy is modulated by simply varying the strength of the donor heterocycle, the number of donors, and their position relative to the acceptor. Although the DMAC derivatives show negligible delayed emission because of their large singlet-triplet excited state energy difference, ΔEST, PXZ-based molecules, especially PXZ-OBO with an experimental ΔEST of 0.25 eV, demonstrate delayed emission in blend mCP films at room temperature, which suggests triplet exciton harvesting occurs in these samples, potentially by thermally activated delayed fluorescence.Six luminophores bearing an OBO-fused benzo[fg]tetracene core as an electron acceptor were designed and synthesized. The molecular structures of three molecules (PXZ-OBO, 5PXZ-OBO, 5DMAC-OBO) were determined by single crystal X-ray diffraction studies and revealed significant torsion between the donor moieties and the OBO acceptor with dihedral angles between 75.5 and 86.2°. Photophysical studies demonstrate that blue and deep blue emission can be realized with photoluminescence maxima (λPL) ranging from 415 to 480 nm in mCP films. The emission energy is modulated by simply varying the strength of the donor heterocycle, the number of donors, and their position relative to the acceptor. Although the DMAC derivatives show negligible delayed emission because of their large singlet-triplet excited state energy difference, ΔEST, PXZ-based molecules, especially PXZ-OBO with an experimental ΔEST of 0.25 eV, demonstrate delayed emission in blend mCP films at room temperature, which suggests triplet exciton harvesting occurs in these samples, potentially by thermally activated delayed fluorescence.
Understanding structure-function relationship in halide perovskites (Fabian Panzer)
Yuan-Yuan Guo, Lin-Jie Yang, Simon Biberger, Jason A. McNulty, Teng Li, Konstantin Schötz, Fabian Panzer and Philip Lightfoot
Inorg. Chem. 59 (2020) 12858–12866 [DOI]
We present three new hybrid layered lead(II) bromide perovskites of generic composition A2PbBr4 or AA′PbBr4 that exhibit three distinct structure types. [TzH]2PbBr4 ([TzH+] = 1,2,4-triazolium) adopts a (001)-oriented layer structure and [AaH]2PbBr4, ([AaH+] = acetamidinium) adopts a (110)-oriented type, whereas [ImH][TzH]PbBr4, ([ImH+] = imidazolium) adopts a rare (110)-oriented structure with enhanced corrugation (i.e., 3 × 3 type). The crystal structures of each are discussed in terms of the differing nature of the templating molecular species. Photoluminescent spectra for each are reported and the behaviors discussed in relation to the different structure of each composition.We present three new hybrid layered lead(II) bromide perovskites of generic composition A2PbBr4 or AA′PbBr4 that exhibit three distinct structure types. [TzH]2PbBr4 ([TzH+] = 1,2,4-triazolium) adopts a (001)-oriented layer structure and [AaH]2PbBr4, ([AaH+] = acetamidinium) adopts a (110)-oriented type, whereas [ImH][TzH]PbBr4, ([ImH+] = imidazolium) adopts a rare (110)-oriented structure with enhanced corrugation (i.e., 3 × 3 type). The crystal structures of each are discussed in terms of the differing nature of the templating molecular species. Photoluminescent spectra for each are reported and the behaviors discussed in relation to the different structure of each composition.
Innovative processing strategies for halide perovskites (Fabian Panzer)
Christina Witt, Andreas Schmid, Nico Leupold, Maximilian Schultz, Julian Höcker, Andreas Baumann, Ralf Moos and Fabian Panzer
ACS Appl. Electron. Mater. 8 (2020) 2619–2628 [DOI]
While halide perovskite X-ray detectors based on single crystals could achieve extraordinary sensitivities, detectors based on polycrystalline thick films lag behind in efficiency. This is unfortunate since the processing methods for producing polycrystalline thick films, especially by pressure treatment of powders, are suitable for upscaling. Here, we investigate in detail the pressing of readily prepared powders of methylammonium lead halide perovskites MAPbI3 and MAPbBr3 to thick layers. By time-dependent pressure measurements, we monitor the occurring compaction dynamics, identifying two relaxation processes with different timescales. When pressing at elevated temperatures from room temperature (RT) to 100 °C, the pressure relaxations change drastically. While the layer properties such as relative density and surface roughness only improve to a certain degree by increasing the pressure at RT, we observe relative densities >97%, considerable reduction in surface roughness, and a significant increase in grain size with tempered pressing. Analyses regarding time-dependent pressure relaxations of tempered pressing allow attributing the dynamics to a sintering process, where we find the sinter onset to be surprisingly low at about 30 °C, mainly independent of the applied pressure (10–100 MPa). Our results will allow for an improved and more targeted powder processing of halide perovskite thick films as they are promising candidates for efficient X-ray detectors.While halide perovskite X-ray detectors based on single crystals could achieve extraordinary sensitivities, detectors based on polycrystalline thick films lag behind in efficiency. This is unfortunate since the processing methods for producing polycrystalline thick films, especially by pressure treatment of powders, are suitable for upscaling. Here, we investigate in detail the pressing of readily prepared powders of methylammonium lead halide perovskites MAPbI3 and MAPbBr3 to thick layers. By time-dependent pressure measurements, we monitor the occurring compaction dynamics, identifying two relaxation processes with different timescales. When pressing at elevated temperatures from room temperature (RT) to 100 °C, the pressure relaxations change drastically. While the layer properties such as relative density and surface roughness only improve to a certain degree by increasing the pressure at RT, we observe relative densities >97%, considerable reduction in surface roughness, and a significant increase in grain size with tempered pressing. Analyses regarding time-dependent pressure relaxations of tempered pressing allow attributing the dynamics to a sintering process, where we find the sinter onset to be surprisingly low at about 30 °C, mainly independent of the applied pressure (10–100 MPa). Our results will allow for an improved and more targeted powder processing of halide perovskite thick films as they are promising candidates for efficient X-ray detectors.
Francesco Rodella, Sergey Bagnich, Eimantas Duda, Tobias Meier, Julian Kahle, Stavros Athanasopoulos, Anna Köhler and Peter Strohriegl
Front. Chem. (2020) [DOI]
The synthesis of stable blue TADF emitters and the corresponding matrix materials is one of the biggest challenges in the development of novel OLED materials. We present six bipolar host materials based on triazine as an acceptor and two types of donors, namely, carbazole, and acridine. Using a tool box approach, the chemical structure of the materials is changed in a systematic way. Both the carbazole and acridine donor are connected to the triazine acceptor via a para- or a meta-linked phenyl ring or are linked directly to each other. The photophysics of the materials has been investigated in detail by absorption-, fluorescence-, and phosphorescence spectroscopy in solution. In addition, a number of DFT calculations have been made which result in a deeper understanding of the photophysics. The presence of a phenyl bridge between donor and acceptor cores leads to a considerable decrease of the triplet energy due to extension of the overlap electron and hole orbitals over the triazine-phenyl core of the molecule. This decrease is more pronounced for the para-phenylene than for the meta-phenylene linker. Only direct connection of the donor group to the triazine core provides a high energy of the triplet state of 2.97 eV for the carbazole derivative CTRZ and 3.07 eV for the acridine ATRZ. This is a major requirement for the use of the materials as a host for blue TADF emitters.The synthesis of stable blue TADF emitters and the corresponding matrix materials is one of the biggest challenges in the development of novel OLED materials. We present six bipolar host materials based on triazine as an acceptor and two types of donors, namely, carbazole, and acridine. Using a tool box approach, the chemical structure of the materials is changed in a systematic way. Both the carbazole and acridine donor are connected to the triazine acceptor via a para- or a meta-linked phenyl ring or are linked directly to each other. The photophysics of the materials has been investigated in detail by absorption-, fluorescence-, and phosphorescence spectroscopy in solution. In addition, a number of DFT calculations have been made which result in a deeper understanding of the photophysics. The presence of a phenyl bridge between donor and acceptor cores leads to a considerable decrease of the triplet energy due to extension of the overlap electron and hole orbitals over the triazine-phenyl core of the molecule. This decrease is more pronounced for the para-phenylene than for the meta-phenylene linker. Only direct connection of the donor group to the triazine core provides a high energy of the triplet state of 2.97 eV for the carbazole derivative CTRZ and 3.07 eV for the acridine ATRZ. This is a major requirement for the use of the materials as a host for blue TADF emitters.
Understanding structure-function relationship in halide perovskites (Fabian Panzer)
Konstantin Schötz, Abdelrahman M. Askar, Anna Köhler, Karthik Shankar and Fabian Panzer
Adv. Optical Mater. (2020) 2000455 [DOI]
Here, the phase‐transition from tetragonal to orthorhombic crystal structure of the halide perovskite methylammonium lead iodide single crystal is investigated. Temperature dependent photoluminescence (PL) measurements in the temperature range between 165 and 100 K show complex PL spectra where in total five different PL peaks can be identified. All observed PL features can be assigned to different optical effects from the two crystal phases using detailed PL analyses. This allows to quantify the fraction of tetragonal phase that still occurs below the phase transition temperature. It is found that at 150 K, 0.015% tetragonal phase remain, and PL signatures are observed from quantum confined tetragonal domains, suggesting their size to be about 7–15 nm down to 120 K. The tetragonal inclusions also exhibit an increased Urbach Energy, implying a high degree of structural disorder. The results first illustrate how a careful analysis of the PL can serve to deduce structural information, and second, how structural deviations in halide perovskites have a significant impact on the optoelectronic properties of this promising class of semiconductors.Here, the phase‐transition from tetragonal to orthorhombic crystal structure of the halide perovskite methylammonium lead iodide single crystal is investigated. Temperature dependent photoluminescence (PL) measurements in the temperature range between 165 and 100 K show complex PL spectra where in total five different PL peaks can be identified. All observed PL features can be assigned to different optical effects from the two crystal phases using detailed PL analyses. This allows to quantify the fraction of tetragonal phase that still occurs below the phase transition temperature. It is found that at 150 K, 0.015% tetragonal phase remain, and PL signatures are observed from quantum confined tetragonal domains, suggesting their size to be about 7–15 nm down to 120 K. The tetragonal inclusions also exhibit an increased Urbach Energy, implying a high degree of structural disorder. The results first illustrate how a careful analysis of the PL can serve to deduce structural information, and second, how structural deviations in halide perovskites have a significant impact on the optoelectronic properties of this promising class of semiconductors.
Stefan Wedler, Axel Bourdick, Stavros Athanasopoulos, Stephan Gekle, Fabian Panzer, Caitlin McDowell, Thuc-Quyen Nguyen, Guillermo C. Bazan and Anna Köhler
J. Mater. Chem. C 8 (2020) 4944 [DOI]
Ordered domains play a central role in determining the properties of organic semiconductors, and thereby the performance of their devices. The molecules in these ordered domains are often characterized by planar backbone conformations. We investigate the influence of backbone planarity on the propensity to form ordered structures using a pair of model oligomers with electron poor benzothiadiazole moieties and electron rich thiophene units. The two oligomers differ by their central unit, where a bithiophene unit either allows for flexible twists (“TT”), or where it is bridged as a cyclopentadithiophene to provide a rigid planar connection (“CT”). Temperature dependent absorption and luminescence spectroscopy in solution along with atomistic simulations show that the more flexible TT readily forms aggregates upon cooling, while CT instead first forms non-emissive excimers and only forms aggregates below 200 K. Molecular dynamics simulations reveal that aggregation in TT can only be accounted for if TT takes on a planar conformation in the course of the aggregation process. The stronger intermolecular interaction in TT compared to the banana-shaped CT can then be related to the larger number of attractive intermolecular interactions between the various subunits. Thus, molecular flexibility is an important design parameter, as it determines the accessibility of ordered intermolecular structures and ultimately device performance.Ordered domains play a central role in determining the properties of organic semiconductors, and thereby the performance of their devices. The molecules in these ordered domains are often characterized by planar backbone conformations. We investigate the influence of backbone planarity on the propensity to form ordered structures using a pair of model oligomers with electron poor benzothiadiazole moieties and electron rich thiophene units. The two oligomers differ by their central unit, where a bithiophene unit either allows for flexible twists (“TT”), or where it is bridged as a cyclopentadithiophene to provide a rigid planar connection (“CT”). Temperature dependent absorption and luminescence spectroscopy in solution along with atomistic simulations show that the more flexible TT readily forms aggregates upon cooling, while CT instead first forms non-emissive excimers and only forms aggregates below 200 K. Molecular dynamics simulations reveal that aggregation in TT can only be accounted for if TT takes on a planar conformation in the course of the aggregation process. The stronger intermolecular interaction in TT compared to the banana-shaped CT can then be related to the larger number of attractive intermolecular interactions between the various subunits. Thus, molecular flexibility is an important design parameter, as it determines the accessibility of ordered intermolecular structures and ultimately device performance.
David Hall, Subeesh Madayanad Suresh, Paloma L. dos Santos, Eimantas Duda, Sergey Bagnich, Anton Pershin, Pachaiyappan Rajamalli, David B. Cordes, Alexandra M. Z. Slawin, David Beljonne, Anna Köhler, Ifor D. W. Samuel, Yoann Olivier and Eli Zysman-Colman
Adv. Optical Mater. 8, (2020) 1901627 [DOI]
A new design strategy is introduced to address a persistent weakness with resonance thermally activated delayed fluorescence (R‐TADF) emitters to reduce aggregation‐caused quenching effects, which are identified as one of the key limiting factors. The emitter Mes3DiKTa shows an improved photoluminescence quantum yield of 80% compared to 75% for the reference DiKTa in 3.5 wt% 1,3‐bis(N‐carbazolyl)benzene. Importantly, emission from aggregates, even at high doping concentrations, is eliminated and aggregation‐caused quenching is strongly curtailed. For both molecules, triplets are almost quantitatively upconverted into singlets in electroluminescence, despite a significant (≈0.21 eV) singlet‐triplet energy gap (ΔEST), in line with correlated quantum‐chemical calculations, and a slow reverse intersystem crossing. It is speculated that the lattice stiffness responsible for the narrow fluorescence and phosphorescence emission spectra also protects the triplets against nonradiative decay. An improved maximum external quantum efficiencies (EQEmax) of 21.1% for Mes3DIKTa compared to the parent DiKTa (14.7%) and, importantly, reduced efficiency roll‐off compared to literature resonance TADF organic light‐emitting diodes (OLEDs), shows the promise of this design strategy for future design of R‐TADF emitters for OLED applications.A new design strategy is introduced to address a persistent weakness with resonance thermally activated delayed fluorescence (R‐TADF) emitters to reduce aggregation‐caused quenching effects, which are identified as one of the key limiting factors. The emitter Mes3DiKTa shows an improved photoluminescence quantum yield of 80% compared to 75% for the reference DiKTa in 3.5 wt% 1,3‐bis(N‐carbazolyl)benzene. Importantly, emission from aggregates, even at high doping concentrations, is eliminated and aggregation‐caused quenching is strongly curtailed. For both molecules, triplets are almost quantitatively upconverted into singlets in electroluminescence, despite a significant (≈0.21 eV) singlet‐triplet energy gap (ΔEST), in line with correlated quantum‐chemical calculations, and a slow reverse intersystem crossing. It is speculated that the lattice stiffness responsible for the narrow fluorescence and phosphorescence emission spectra also protects the triplets against nonradiative decay. An improved maximum external quantum efficiencies (EQEmax) of 21.1% for Mes3DIKTa compared to the parent DiKTa (14.7%) and, importantly, reduced efficiency roll‐off compared to literature resonance TADF organic light‐emitting diodes (OLEDs), shows the promise of this design strategy for future design of R‐TADF emitters for OLED applications.
Understanding structure-function relationship in halide perovskites (Fabian Panzer)
Mihirsinh Chauhan, Yu Zhong, Konstantin Schötz, Brijesh Tripathi, Anna Köhler, Sven Huettner and Fabian Panzer
J. Mater. Chem. A, 8 (2020) 5086-5094 [DOI]
To date, the two-step processing method represents an attractive route for the thin film formation of halide perovskites. However, a fundamental understanding of the film formation dynamics in the case of spin coating methylammonium iodide (MAI) on PbI2 has not been established yet. Here we apply in situ optical spectroscopy during the two-step film formation of the model halide perovskite MAPbI3 via spin coating. We identify and analyze in detail the optical features that occur in the photoluminescence and the corresponding absorption spectra during processing. We find that the film formation takes place in five consecutive steps, including the formation of a MAPbI3 capping layer via an interface crystallization and the occurrence of an intense dissolution–recrystallization process. Consideration of confinement and self-absorption effects in the PL spectra, together with consideration of the corresponding absorption spectra allows quantification of the growth rate of the initial interface crystallization, which is found to be 11 nm s−1 under our processing conditions. We find that the main dissolution–recrystallization process happens at a rate of 445 nm s−1, emphasizing its importance to the overall processing.To date, the two-step processing method represents an attractive route for the thin film formation of halide perovskites. However, a fundamental understanding of the film formation dynamics in the case of spin coating methylammonium iodide (MAI) on PbI2 has not been established yet. Here we apply in situ optical spectroscopy during the two-step film formation of the model halide perovskite MAPbI3 via spin coating. We identify and analyze in detail the optical features that occur in the photoluminescence and the corresponding absorption spectra during processing. We find that the film formation takes place in five consecutive steps, including the formation of a MAPbI3 capping layer via an interface crystallization and the occurrence of an intense dissolution–recrystallization process. Consideration of confinement and self-absorption effects in the PL spectra, together with consideration of the corresponding absorption spectra allows quantification of the growth rate of the initial interface crystallization, which is found to be 11 nm s−1 under our processing conditions. We find that the main dissolution–recrystallization process happens at a rate of 445 nm s−1, emphasizing its importance to the overall processing.
Jiale Feng, Lupeng Yang, Alexander S. Romanov, Jirawit Ratanapreechachai, Antti-Pekka M. Reponen, Saul T. E. Jones, Mikko Linnolahti, Timothy J. H. Hele, Anna Köhler, Heinz Bässler, Manfred Bochmann and Dan Credgington
Adv. Funct. Mater. 9 (2020) 1908715 [DOI]
Carbene‐metal‐amides (CMAs) are a promising family of donor–bridge–acceptor molecular charge‐transfer (CT) emitters for organic light‐emitting diodes. A universal approach is demonstrated to tune the energy of their CT emission. A blueshift of up to 210 meV is achievable in solid state via dilution in a polar host matrix. The origin of this shift has two components: constraint of thermally‐activated triplet diffusion, and electrostatic interactions between guest and polar host. This allows the emission of mid‐green CMA archetypes to be tuned to sky blue without chemical modifications. Monte‐Carlo simulations based on a Marcus‐type transfer integral successfully reproduce the concentration‐ and temperature‐dependent triplet diffusion process, revealing a substantial shift in the ensemble density of states in polar hosts. In gold‐bridged CMAs, this shift does not lead to a significant change in luminescence lifetime, thermal activation energy, reorganization energy, or intersystem crossing rate. These discoveries offer new insight into coupling between the singlet and triplet manifolds in CMA materials, revealing a dominant interaction between states of CT character. The same approach is employed using materials which have been chemically modified to alter the energy of their CT state directly, shifting the emission of sky‐blue chromophores into the practical blue range.Carbene‐metal‐amides (CMAs) are a promising family of donor–bridge–acceptor molecular charge‐transfer (CT) emitters for organic light‐emitting diodes. A universal approach is demonstrated to tune the energy of their CT emission. A blueshift of up to 210 meV is achievable in solid state via dilution in a polar host matrix. The origin of this shift has two components: constraint of thermally‐activated triplet diffusion, and electrostatic interactions between guest and polar host. This allows the emission of mid‐green CMA archetypes to be tuned to sky blue without chemical modifications. Monte‐Carlo simulations based on a Marcus‐type transfer integral successfully reproduce the concentration‐ and temperature‐dependent triplet diffusion process, revealing a substantial shift in the ensemble density of states in polar hosts. In gold‐bridged CMAs, this shift does not lead to a significant change in luminescence lifetime, thermal activation energy, reorganization energy, or intersystem crossing rate. These discoveries offer new insight into coupling between the singlet and triplet manifolds in CMA materials, revealing a dominant interaction between states of CT character. The same approach is employed using materials which have been chemically modified to alter the energy of their CT state directly, shifting the emission of sky‐blue chromophores into the practical blue range.
Understanding structure-function relationship in halide perovskites (Fabian Panzer)
Konstantin Schötz, Abdelrahman M. Askar, Wei Peng, Dominik Seeberger, Tanaji P. Gujar, Mukundan Thelakkat, Anna Köhler, Sven Huettner, Osman M. Bakr, Karthik Shankar and Fabian Panzer
J. Mater. Chem. C 8 (2020) 2289-2300 [DOI]
Despite the rapidly increasing efficiencies of perovskite solar cells, the optoelectronic properties of this material class are not completely understood. Especially when measured photoluminescence (PL) spectra consist of multiple peaks, their origin is still debated. In this work, we investigate in detail double peak PL spectra of halide perovskite thin films and single crystals with different material compositions. By different optical spectroscopic approaches and quantitative models, we demonstrate that the additional PL peak results from an extensive self-absorption effect, whose impact is intensified by strong internal reflections. This self-absorption accounts for the unusual temperature dependence of the additional PL peak and it implies that absorption until far into the perovskite’s Urbach tail is important. The internal reflections entail that even for thin films self-absorption can have a significant contribution to the PL spectrum. Our results allow for a clear assignment of the PL peaks by differentiating between optical effects and electronic transitions, which is a necessary requirement for understanding the optoelectronic properties of halide perovskites.Despite the rapidly increasing efficiencies of perovskite solar cells, the optoelectronic properties of this material class are not completely understood. Especially when measured photoluminescence (PL) spectra consist of multiple peaks, their origin is still debated. In this work, we investigate in detail double peak PL spectra of halide perovskite thin films and single crystals with different material compositions. By different optical spectroscopic approaches and quantitative models, we demonstrate that the additional PL peak results from an extensive self-absorption effect, whose impact is intensified by strong internal reflections. This self-absorption accounts for the unusual temperature dependence of the additional PL peak and it implies that absorption until far into the perovskite’s Urbach tail is important. The internal reflections entail that even for thin films self-absorption can have a significant contribution to the PL spectrum. Our results allow for a clear assignment of the PL peaks by differentiating between optical effects and electronic transitions, which is a necessary requirement for understanding the optoelectronic properties of halide perovskites.
2019
Brett Yurash, Dirk Leifert, G. N. Manjunatha Reddy, David Xi Cao, Simon Biberger, Viktor V. Brus, Martin Seifrid, Peter J. Santiago, Anna Köhler, Bradley F. Chmelka, Guillermo C. Bazan and Thuc-Quyen Nguyen
Chem. Mater. 31 (2019) 6715-6725 [DOI]
In this report, we investigate the binding properties of the Lewis acid tris(pentafluorophenyl)borane with a Lewis base semiconducting polymer, PFPT, and the subsequent mechanism of band gap reduction. Experiments and quantum chemical calculations confirm that the formation of a Lewis acid adduct is energetically favorable (ΔG° < −0.2 eV), with preferential binding at the pyridyl nitrogen in the polymer backbone over other Lewis base sites. Upon adduct formation, ultraviolet photoelectron spectroscopy indicates only a slight decrease in the HOMO energy, implying that a larger reduction in the LUMO energy is primarily responsible for the observed optical band gap narrowing (ΔEopt = 0.3 eV). Herein, we also provide the first spatially resolved picture of how Lewis acid adducts form in heterogeneous, disordered polymer/tris(pentafluorophenyl)borane thin films via one- (1D) and two-dimensional (2D) solid-state nuclear magnetic resonance. Notably, solid-state 1D 11B, 13C{1H}, and 13C{19F} cross-polarization magic-angle spinning (CP-MAS) NMR and 2D 1H{19F} and 1H{1H} correlation NMR analyses establish that BCF molecules are intercalated between branched C16H33 side chains with the boron atom facing toward the pyridyl nitrogen atoms of PFPT.In this report, we investigate the binding properties of the Lewis acid tris(pentafluorophenyl)borane with a Lewis base semiconducting polymer, PFPT, and the subsequent mechanism of band gap reduction. Experiments and quantum chemical calculations confirm that the formation of a Lewis acid adduct is energetically favorable (ΔG° < −0.2 eV), with preferential binding at the pyridyl nitrogen in the polymer backbone over other Lewis base sites. Upon adduct formation, ultraviolet photoelectron spectroscopy indicates only a slight decrease in the HOMO energy, implying that a larger reduction in the LUMO energy is primarily responsible for the observed optical band gap narrowing (ΔEopt = 0.3 eV). Herein, we also provide the first spatially resolved picture of how Lewis acid adducts form in heterogeneous, disordered polymer/tris(pentafluorophenyl)borane thin films via one- (1D) and two-dimensional (2D) solid-state nuclear magnetic resonance. Notably, solid-state 1D 11B, 13C{1H}, and 13C{19F} cross-polarization magic-angle spinning (CP-MAS) NMR and 2D 1H{19F} and 1H{1H} correlation NMR analyses establish that BCF molecules are intercalated between branched C16H33 side chains with the boron atom facing toward the pyridyl nitrogen atoms of PFPT.
David Hall, Subeesh Madayanad Suresh, Paloma L. dos Santos, Eimantas Duda, Sergey Bagnich, Anton Pershin, Pachaiyappan Rajamalli, David B. Cordes, Alexandra M. Z. Slawin, David Beljonne, Anna Köhler, Ifor D. W. Samuel, Yoann Olivier and Eli Zysman-Colman
Adv. Optical Mater. 8 (2020) 1901627 [DOI]
A new design strategy is introduced to address a persistent weakness with resonance thermally activated delayed fluorescence (R-TADF) emitters to reduce aggregation-caused quenching effects, which are identified as one of the key limiting factors. The emitter Mes3DiKTa shows an improved photoluminescence quantum yield of 80% compared to 75% for the reference DiKTa in 3.5 wt% 1,3-bis(N-carbazolyl)benzene. Importantly, emission from aggregates, even at high doping concentrations, is eliminated and aggregation-caused quenching is strongly curtailed. For both molecules, triplets are almost quantitatively upconverted into singlets in electroluminescence, despite a significant (≈0.21 eV) singlet-triplet energy gap (ΔEST), in line with correlated quantum-chemical calculations, and a slow reverse intersystem crossing. It is speculated that the lattice stiffness responsible for the narrow fluorescence and phosphorescence emission spectra also protects the triplets against nonradiative decay. An improved maximum external quantum efficiencies (EQEmax) of 21.1% for Mes3DIKTa compared to the parent DiKTa (14.7%) and, importantly, reduced efficiency roll-off compared to literature resonance TADF organic light-emitting diodes (OLEDs), shows the promise of this design strategy for future design of R-TADF emitters for OLED applications.A new design strategy is introduced to address a persistent weakness with resonance thermally activated delayed fluorescence (R-TADF) emitters to reduce aggregation-caused quenching effects, which are identified as one of the key limiting factors. The emitter Mes3DiKTa shows an improved photoluminescence quantum yield of 80% compared to 75% for the reference DiKTa in 3.5 wt% 1,3-bis(N-carbazolyl)benzene. Importantly, emission from aggregates, even at high doping concentrations, is eliminated and aggregation-caused quenching is strongly curtailed. For both molecules, triplets are almost quantitatively upconverted into singlets in electroluminescence, despite a significant (≈0.21 eV) singlet-triplet energy gap (ΔEST), in line with correlated quantum-chemical calculations, and a slow reverse intersystem crossing. It is speculated that the lattice stiffness responsible for the narrow fluorescence and phosphorescence emission spectra also protects the triplets against nonradiative decay. An improved maximum external quantum efficiencies (EQEmax) of 21.1% for Mes3DIKTa compared to the parent DiKTa (14.7%) and, importantly, reduced efficiency roll-off compared to literature resonance TADF organic light-emitting diodes (OLEDs), shows the promise of this design strategy for future design of R-TADF emitters for OLED applications.
Stavros Athanasopoulos, Heinz Bässler and Anna Köhler
J. Phys. Chem. Lett. 10 ( 2019) 7107-7112 [DOI]
We investigate the combined influence of energetic disorder and delocalization on electron–hole charge-transfer state separation efficiency in donor–acceptor organic photovoltaic systems using an analytical hopping model and Monte Carlo calculations, coupled with an effective mass model. Whereas energetic disorder increases the separation yield at intermediate and low electric fields for low-efficiency blends with strongly localized carriers, we find that it reduces dramatically the fill factors and power conversion efficiencies in high-efficiency solar cells that require high carrier delocalization within the conjugated segment and high mobility–lifetime product. We further demonstrate that the initial electron–hole distance and thermalization processes play only a minor role in the separation dynamics.We investigate the combined influence of energetic disorder and delocalization on electron–hole charge-transfer state separation efficiency in donor–acceptor organic photovoltaic systems using an analytical hopping model and Monte Carlo calculations, coupled with an effective mass model. Whereas energetic disorder increases the separation yield at intermediate and low electric fields for low-efficiency blends with strongly localized carriers, we find that it reduces dramatically the fill factors and power conversion efficiencies in high-efficiency solar cells that require high carrier delocalization within the conjugated segment and high mobility–lifetime product. We further demonstrate that the initial electron–hole distance and thermalization processes play only a minor role in the separation dynamics.
Innovative processing strategies for halide perovskites (Fabian Panzer)
Nico Leupold, Konstantin Schötz, Stefania Cacovich, Irene Bauer, Maximilian Schultz, Monika Daubinger, Leah Kaiser, Amelle Rebai, Jean Rousset, Anna Köhler, Philip Schulz, Ralf Moos and Fabian Panzer
ACS Appl. Mater. Interfaces 11 (2019) 30259−30268 [DOI]
We show that mechanochemically synthesized halide perovskite powders from a ball milling approach can be employed to fabricate a variety of lead halide perovskites with exceptional intrinsic stability. Our MAPbI3 powder exhibits higher thermal stability than conventionally processed thin films, without degradation after more than two and a half years of storage and only negligible degradation after heat treatment at 220 °C for 14 h. We further show facile recovery strategies of nonphase-pure powders by simple remilling or mild heat treatment. Moreover, we demonstrate the mechanochemical synthesis of phase-pure mixed perovskite powders, such as (Cs0.05FA0.95PbI3)0.85(MAPbBr3)0.15, from either the individual metal and organic halides or from readily prepared ternary perovskites, regardless of the precursor phase purity. Adding potassium iodide (KI) to the milling process successfully passivated the powders. We also succeeded in preparing a precursor solution on the basis of the powders and obtained uniform thin films for integration into efficient perovskite solar cells from spin-coating this solution. We find the KI passivation remains in the devices, leading to improved performance and significantly reduced hysteresis. Our work thus demonstrates the potential of mechanochemically synthesized halide perovskite powders for long-time storage and upscaling, further paving the way toward commercialization of perovskite-based optoelectronic devicesWe show that mechanochemically synthesized halide perovskite powders from a ball milling approach can be employed to fabricate a variety of lead halide perovskites with exceptional intrinsic stability. Our MAPbI3 powder exhibits higher thermal stability than conventionally processed thin films, without degradation after more than two and a half years of storage and only negligible degradation after heat treatment at 220 °C for 14 h. We further show facile recovery strategies of nonphase-pure powders by simple remilling or mild heat treatment. Moreover, we demonstrate the mechanochemical synthesis of phase-pure mixed perovskite powders, such as (Cs0.05FA0.95PbI3)0.85(MAPbBr3)0.15, from either the individual metal and organic halides or from readily prepared ternary perovskites, regardless of the precursor phase purity. Adding potassium iodide (KI) to the milling process successfully passivated the powders. We also succeeded in preparing a precursor solution on the basis of the powders and obtained uniform thin films for integration into efficient perovskite solar cells from spin-coating this solution. We find the KI passivation remains in the devices, leading to improved performance and significantly reduced hysteresis. Our work thus demonstrates the potential of mechanochemically synthesized halide perovskite powders for long-time storage and upscaling, further paving the way toward commercialization of perovskite-based optoelectronic devices
Ilja Vladimirov, Sebastian Müller, Roelf‐Peter Baumann, Thomas Geßner, Zahra Molla, Souren Grigorian, Anna Köhler, Heinz Bässler, Ullrich Pietsch and Ralf Thomas Weitz
Adv. Funct. Mater. 29 (2019) 1807867 [DOI]
The fundamental nature of charge transport in highly ordered organic semiconductors is under constant debate. At cryogenic temperatures, effects within the semiconductor such as traps or the interaction of charge car-riers with the insulating substrate (dipolar disorder or Fröhlich polarons) are known to limit carrier motion. In comparison, at elevated temperatures, where charge carrier mobility often also decreases as function of temperature, phonon scattering or dynamic disorder are frequently discussed mechanisms, but the exact microscopic cause that limits carrier motion is debated. Here, the mobility in the temperature range between 200 and 420 K as function of carrier density is explored in highly ordered perylene-diimide from 3 to 9 nm thin films. It is observed that above room temperature increasing the gate electric field or decreasing the semiconducting film thickness leads to a sup-pression of the charge carrier mobility. Via X-ray diffraction measurements at various temperatures and electric fields, changes of the thin film structure are excluded as cause for the observed mobility decrease. The experimental findings point toward scattering sites or traps at the semiconductor–dielectric interface, or in the dielectric as limiting factor for carrier mobility, whose role is usually neglected at elevated temperatures.The fundamental nature of charge transport in highly ordered organic semiconductors is under constant debate. At cryogenic temperatures, effects within the semiconductor such as traps or the interaction of charge car-riers with the insulating substrate (dipolar disorder or Fröhlich polarons) are known to limit carrier motion. In comparison, at elevated temperatures, where charge carrier mobility often also decreases as function of temperature, phonon scattering or dynamic disorder are frequently discussed mechanisms, but the exact microscopic cause that limits carrier motion is debated. Here, the mobility in the temperature range between 200 and 420 K as function of carrier density is explored in highly ordered perylene-diimide from 3 to 9 nm thin films. It is observed that above room temperature increasing the gate electric field or decreasing the semiconducting film thickness leads to a sup-pression of the charge carrier mobility. Via X-ray diffraction measurements at various temperatures and electric fields, changes of the thin film structure are excluded as cause for the observed mobility decrease. The experimental findings point toward scattering sites or traps at the semiconductor–dielectric interface, or in the dielectric as limiting factor for carrier mobility, whose role is usually neglected at elevated temperatures.
Understanding structure-function relationship in halide perovskites (Fabian Panzer)
Tobias Meier, Tanaji P. Gujar, Andreas Schönleber, Selina Olthof, Klaus Meerholz, Sander van Smaalen, Fabian Panzer, Mukundan Thelakkat and Anna Köhler
J. Mater. Chem. C 6 (2018) 7512-7519 [DOI]
We investigate the impact of excess PbI2 in the precursor solution on the structural and optical properties of thin films of the model hybrid perovskite methylammonium lead iodide (MAPbI3). We find that excess of PbI2 in the precursor solution results in crystalline PbI2 in the final thin film that is located at the grain boundaries. From UPS we find that this crystalline PbI2 phase has no direct impact on the electronic structure of MAPbI3. In contrast to this, temperature dependent absorption measurements indicate a systematic change in the temperature dependence of the exciton binding energy in the perovskite. We also observe a decrease in the critical temperature and a concomitant smearing out of the tetragonal–orthorhombic phase transition as a function of excess PbI2. Our results thus help to better understand the exact role of PbI2 in the perovskite layer and pave the way for a more tailored design of perovskite solar cells.We investigate the impact of excess PbI2 in the precursor solution on the structural and optical properties of thin films of the model hybrid perovskite methylammonium lead iodide (MAPbI3). We find that excess of PbI2 in the precursor solution results in crystalline PbI2 in the final thin film that is located at the grain boundaries. From UPS we find that this crystalline PbI2 phase has no direct impact on the electronic structure of MAPbI3. In contrast to this, temperature dependent absorption measurements indicate a systematic change in the temperature dependence of the exciton binding energy in the perovskite. We also observe a decrease in the critical temperature and a concomitant smearing out of the tetragonal–orthorhombic phase transition as a function of excess PbI2. Our results thus help to better understand the exact role of PbI2 in the perovskite layer and pave the way for a more tailored design of perovskite solar cells.
2018
Ivan I. Fishchuk, Heinz Bässler, Anna Köhler, Jan Genoe and Andrey Kadashchuk
Phys. Rev. Applied 10, 5 (2018) 054063 [DOI]
The Meyer-Neldel (MN) compensation rule, implying an exponential increase in the prefactor with increasing activation energy in a thermally activated process, is naturally emerging in two-site transition rates as a result of multiphonon excitation processes. However, it has been recently demonstrated [Phys. Rev. B. 90, 245201 (2014)] that the experimentally observed compensation behavior for the temperature-activated charge transport in thin-film organic field-effect transistors (OFETs) is not a genuine phenomenon, but rather it is an apparent extrapolated effect that arises as a consequence of the partial filling of the Gaussian DOS distribution. To resolve the contradiction, we investigate the impact of different jump-rate models on macroscopic hopping-charge transport in a random organic system using an effective medium analytic approach. The principal result of this study is that the averaging over the individual jump rates in a conventional Gaussian disordered system erodes the genuine thermodynamically determined MN compensation effect, and therefore, the macroscopic transport no longer reflects the microscopic rates. The apparent compensation behavior observed for OFET mobilities upon varying the carrier concentrations can be reproduced regardless of the single-phonon or multiphonon character of activated transitions. Another remarkable finding is that the disorder formalism does predict a genuine MN compensation effect using multiphonon rates if a disordered semiconductor contains a significant concentration of deep traps, so that the cumulative DOS features a double-peak Gaussian. Thus, this study bridges the gap between Gaussian disorder and multi-excitation entropy (MEE) models concerning the MN effect, and has important implications for the interpretation of the isokinetic MN temperature in disordered organic semiconductors.The Meyer-Neldel (MN) compensation rule, implying an exponential increase in the prefactor with increasing activation energy in a thermally activated process, is naturally emerging in two-site transition rates as a result of multiphonon excitation processes. However, it has been recently demonstrated [Phys. Rev. B. 90, 245201 (2014)] that the experimentally observed compensation behavior for the temperature-activated charge transport in thin-film organic field-effect transistors (OFETs) is not a genuine phenomenon, but rather it is an apparent extrapolated effect that arises as a consequence of the partial filling of the Gaussian DOS distribution. To resolve the contradiction, we investigate the impact of different jump-rate models on macroscopic hopping-charge transport in a random organic system using an effective medium analytic approach. The principal result of this study is that the averaging over the individual jump rates in a conventional Gaussian disordered system erodes the genuine thermodynamically determined MN compensation effect, and therefore, the macroscopic transport no longer reflects the microscopic rates. The apparent compensation behavior observed for OFET mobilities upon varying the carrier concentrations can be reproduced regardless of the single-phonon or multiphonon character of activated transitions. Another remarkable finding is that the disorder formalism does predict a genuine MN compensation effect using multiphonon rates if a disordered semiconductor contains a significant concentration of deep traps, so that the cumulative DOS features a double-peak Gaussian. Thus, this study bridges the gap between Gaussian disorder and multi-excitation entropy (MEE) models concerning the MN effect, and has important implications for the interpretation of the isokinetic MN temperature in disordered organic semiconductors.
Innovative processing strategies for halide perovskites (Fabian Panzer)
Michael Buchhorn, Stefan Wedler and Fabian Panzer
J. Phys. Chem. A, 122 (2018) 9115–9122 [DOI]
In situ measurement techniques, applied during the solution processing of novel semiconductors such as organic semiconductors or hybrid perovskites, have become more and more important to understand their film formation. In that context, it is crucial to determine how the optical properties, namely photoluminescence (PL) and absorption, evolve during processing. However, until now PL and absorption have mostly been investigated independently, significantly reducing the potential insights into film formation dynamics. To tackle this issue we present the development of a detection system that allows simultaneous measurement of full absorption and PL spectra during solution processing of the investigated film. We also present a spin-coater system attachable to the detection system, where the temperature of the substrate on which the film is processed can be changed. We performed test measurements by spin coating the well-known conjugated polymer P3HT demonstrating the potential of this technique. By considering absorption and corresponding PL, we extract the PL quantum yield (PLQY) during processing, which decreases with substrate temperature. Furthermore, we identify a significant red shift of the PL just prior to the onset of the aggregation process, indicating the importance of chain planarization prior to solid film formation.In situ measurement techniques, applied during the solution processing of novel semiconductors such as organic semiconductors or hybrid perovskites, have become more and more important to understand their film formation. In that context, it is crucial to determine how the optical properties, namely photoluminescence (PL) and absorption, evolve during processing. However, until now PL and absorption have mostly been investigated independently, significantly reducing the potential insights into film formation dynamics. To tackle this issue we present the development of a detection system that allows simultaneous measurement of full absorption and PL spectra during solution processing of the investigated film. We also present a spin-coater system attachable to the detection system, where the temperature of the substrate on which the film is processed can be changed. We performed test measurements by spin coating the well-known conjugated polymer P3HT demonstrating the potential of this technique. By considering absorption and corresponding PL, we extract the PL quantum yield (PLQY) during processing, which decreases with substrate temperature. Furthermore, we identify a significant red shift of the PL just prior to the onset of the aggregation process, indicating the importance of chain planarization prior to solid film formation.
Axel Bourdick, Markus Reichenberger, Stefan Wedler, Anna Stradomska, Guillermo C. Bazan, Thuc Quyen Nguyen, Anna Köhler and Stephan Gekle
J. Phys. Chem. B 122 (2018) 9191−9201 [DOI]
We investigate the aggregation behaviour of the donor-acceptor molecules p-DTS(FBTTh2)2 (“T1”) and p SIDT(FBTTh2)2 (“H1”) in MTHF solutions. Using optical spectroscopy, we find that T1 forms aggregates in solution while H1 aggregates only when processed as a thin film, but not in solution. Free energy molecular dynamics (MD) simulations based on force-fields derived from quantum-mechanical density functional theory fully reproduce this difference. Our simulations reveal that this difference is not due to the lengthy carbon side chains. Rather, the molecular symmetry of T1 allows for an aggregated state in which the central donor units are spatially well separated while a similar configuration is sterically impossible for H1. As a consequence, any aggregation of H1 necessarily involves aggregation of the central donors which requires, as a first step, stripping the central donor of its protective MTHF solvation shell. This unfavourable process leads to a significant kinetic hindrance for aggregation and explain the strongly differing aggregation behaviour of T1/H1 in MTHF despite their otherwise similar structure. By comparison to further donor-acceptor molecules with structure and symmetry similar to T1 and H1, referred to as CT and TT, respectively, we demonstrate that this aggregation behaviour results from the individual building blocks of the systems in question and is thus of a more general nature. Our results give insights for the design molecules with a specific….. We investigate the aggregation behaviour of the donor-acceptor molecules p-DTS(FBTTh2)2 (“T1”) and p SIDT(FBTTh2)2 (“H1”) in MTHF solutions. Using optical spectroscopy, we find that T1 forms aggregates in solution while H1 aggregates only when processed as a thin film, but not in solution. Free energy molecular dynamics (MD) simulations based on force-fields derived from quantum-mechanical density functional theory fully reproduce this difference. Our simulations reveal that this difference is not due to the lengthy carbon side chains. Rather, the molecular symmetry of T1 allows for an aggregated state in which the central donor units are spatially well separated while a similar configuration is sterically impossible for H1. As a consequence, any aggregation of H1 necessarily involves aggregation of the central donors which requires, as a first step, stripping the central donor of its protective MTHF solvation shell. This unfavourable process leads to a significant kinetic hindrance for aggregation and explain the strongly differing aggregation behaviour of T1/H1 in MTHF despite their otherwise similar structure. By comparison to further donor-acceptor molecules with structure and symmetry similar to T1 and H1, referred to as CT and TT, respectively, we demonstrate that this aggregation behaviour results from the individual building blocks of the systems in question and is thus of a more general nature. Our results give insights for the design molecules with a specific…..
Frank‐Julian Kahle, Tobias Hahn, Tushita Mukhopadhyay, Boregowda Puttaraju, Satish Patil and Anna Köhler
Adv. Funct. Mater. 21 (2019) 1805684 [DOI]
It is shown that simple bilayer devices consisting of the diketopyrrolopyrrole (DPP) monomer Ph‐TDPP‐Ph as donor and C60 as acceptor feature J–V‐characteristics of a bidirectional organic phototransistor where illumination intensity plays the role of the gate voltage as compared to a conventional field‐effect transistor. The output current may therefore be controlled both electrically and optically. The underlying mechanism is based on the good charge transport in Ph‐TDPP‐Ph and C60, the intrinsic dissociation properties of C60, and the presence of an injection barrier for holes. In addition to this, it is demonstrated that the observed behavior of the DPP/C60 system allows the realization of basic logic elements like NOT‐, AND‐, and OR‐Gates, which may provide the basis for advanced analog and digital applications. It is shown that simple bilayer devices consisting of the diketopyrrolopyrrole (DPP) monomer Ph‐TDPP‐Ph as donor and C60 as acceptor feature J–V‐characteristics of a bidirectional organic phototransistor where illumination intensity plays the role of the gate voltage as compared to a conventional field‐effect transistor. The output current may therefore be controlled both electrically and optically. The underlying mechanism is based on the good charge transport in Ph‐TDPP‐Ph and C60, the intrinsic dissociation properties of C60, and the presence of an injection barrier for holes. In addition to this, it is demonstrated that the observed behavior of the DPP/C60 system allows the realization of basic logic elements like NOT‐, AND‐, and OR‐Gates, which may provide the basis for advanced analog and digital applications.
Frank-Julian Kahle, Christina Saller, Selina Olthof, Cheng Li, Jenny Lebert, Sebastian Weiß, Eva M. Herzig, Sven Hüttner, Klaus Meerholz, Peter Strohriegl and Anna Köhler
J. Phys. Chem. C 122 (2018) 21792 - 21802 [DOI]
We use bilayer devices with a series of three fullerene acceptors differing in order and intermolecular coupling to systematically explore the influence of electron delocalization in the acceptor phase on the dissociation efficiency of charge transfer states. Structural information from GIWAXS measurements is combined with the results of optical and electrical characterization as well as theoretical modeling. Our results indicate that an increase in CT-dissociation efficiency is directly coupled to an enhancement in electron delocalization that is particularly prominent for C60 which forms crystalline domains. Therefore, our results substantiate the concept of delocalization of electrons taking a positive role in the charge separation process, and of acceptor crystallinity being crucial in this respect.We use bilayer devices with a series of three fullerene acceptors differing in order and intermolecular coupling to systematically explore the influence of electron delocalization in the acceptor phase on the dissociation efficiency of charge transfer states. Structural information from GIWAXS measurements is combined with the results of optical and electrical characterization as well as theoretical modeling. Our results indicate that an increase in CT-dissociation efficiency is directly coupled to an enhancement in electron delocalization that is particularly prominent for C60 which forms crystalline domains. Therefore, our results substantiate the concept of delocalization of electrons taking a positive role in the charge separation process, and of acceptor crystallinity being crucial in this respect.
Tushita Mukhopadhyay, Dr. Boregowda Puttaraju, Palas Roy, Prof. Dr. Jyotishman Dasgupta, Dr. Andreas Meyer, Alexander Rudnick, Dr. Steffen Tscheuschner, Frank‐Julian Kahle, Prof. Dr. Anna Köhler and Dr. Satish Patil
Chem. Eur. J. 23 (2017) 13718 – 13723 [DOI]
Here, we report the synthesis, optical properties, and solid‐state packing of monodisperse oligomers of diketopyrrolopyrrole (DPP) up to five repeating units. The optical properties of DPP oligomers in solution and the solid state were investigated by a combination of steady‐state and transient spectroscopy. Transient absorption spectroscopy and time‐correlated single photon counting (TCSPC) measurements show that the fluorescence lifetime decreases with an increase in the oligomer size from monomer to trimer, thereby reaching saturation for pentameric DPP oligomers. The solid‐state packing and crystallinity were probed by using advanced techniques, which included grazing incidence small‐angle X‐ray scattering (GISAXS) and X‐ray diffraction (XRD) to elucidate the structure–property trend. Collectively, our chain‐length dependent studies establish the fundamental correlation between the structure and property and provide a comprehensive understanding of the solid‐state properties in DPP–DPP based conjugated systems. Here, we report the synthesis, optical properties, and solid‐state packing of monodisperse oligomers of diketopyrrolopyrrole (DPP) up to five repeating units. The optical properties of DPP oligomers in solution and the solid state were investigated by a combination of steady‐state and transient spectroscopy. Transient absorption spectroscopy and time‐correlated single photon counting (TCSPC) measurements show that the fluorescence lifetime decreases with an increase in the oligomer size from monomer to trimer, thereby reaching saturation for pentameric DPP oligomers. The solid‐state packing and crystallinity were probed by using advanced techniques, which included grazing incidence small‐angle X‐ray scattering (GISAXS) and X‐ray diffraction (XRD) to elucidate the structure–property trend. Collectively, our chain‐length dependent studies establish the fundamental correlation between the structure and property and provide a comprehensive understanding of the solid‐state properties in DPP–DPP based conjugated systems.
Andrey Kadashchuk, Robby Janneck, Fei Tong, Ivan I. Fishchuk, Alexander Mityashin, Egon Pavlica, Anna Köhler, Paul Heremans, Cedric Rolin, Gvido Bratina and Jan Genoe
Chemical Papers 72 (2018) 1685–1695 [DOI]
Charge-carrier mobility has been investigated by time-of-flight (TOF) transient photocurrent in a lateral transport configuration in highly crystalline thin films of 2,7-dioctyl[1]benzothieno [3,2-b][1] benzothiophene (C8-BTBT) grown by a zone-casting alignment technique. High TOF mobility has been revealed that it is consistent with the delocalized nature of the charge transport in this material, yet it featured a positive temperature dependence at T≥295K. Moreover, the mobility was surprisingly found to decrease with electric field in the high-temperature region. These observations are not compatible with the conventional band-transport mechanism. We have elaborated an analytic model based on effective-medium approximation to rationalize the puzzling findings. The model considers the delocalized charge transport within the energy landscape formed by long-range transport band-edge variations in imperfect organic crystalline materials and accounts for the field-dependent effective dimensionality of charge transport percolative paths. The results of the model calculations are found to be in good agreement with experimental data.Charge-carrier mobility has been investigated by time-of-flight (TOF) transient photocurrent in a lateral transport configuration in highly crystalline thin films of 2,7-dioctyl[1]benzothieno [3,2-b][1] benzothiophene (C8-BTBT) grown by a zone-casting alignment technique. High TOF mobility has been revealed that it is consistent with the delocalized nature of the charge transport in this material, yet it featured a positive temperature dependence at T≥295K. Moreover, the mobility was surprisingly found to decrease with electric field in the high-temperature region. These observations are not compatible with the conventional band-transport mechanism. We have elaborated an analytic model based on effective-medium approximation to rationalize the puzzling findings. The model considers the delocalized charge transport within the energy landscape formed by long-range transport band-edge variations in imperfect organic crystalline materials and accounts for the field-dependent effective dimensionality of charge transport percolative paths. The results of the model calculations are found to be in good agreement with experimental data.
Jonathan D. Milward, Max Marcus, Anna Köhler and William Barford
J. Chem. Phys. 149, (2018) 044903 [DOI]
The Frenkel-Holstein model in the Born-Oppenheimer regime is used to interpret temperature-dependent photoluminescence spectra of solutions made with the poly(p-phenylene vinylene) derivative MEH-PPV. Using our recently developed structural optimization method and assuming only intrachain electronic coupling, we predict the structure of emissive MEH-PPV chromophores in terms of a mean torsional angle ϕ0 and its static fluctuations σϕ, assuming no cis-trans defects. This allows us to fully account for the observed changes in spectra, and the chromophore structures obtained are consistent with the known phase transition at 180 K between a “red” and “blue” phase.The Frenkel-Holstein model in the Born-Oppenheimer regime is used to interpret temperature-dependent photoluminescence spectra of solutions made with the poly(p-phenylene vinylene) derivative MEH-PPV. Using our recently developed structural optimization method and assuming only intrachain electronic coupling, we predict the structure of emissive MEH-PPV chromophores in terms of a mean torsional angle ϕ0 and its static fluctuations σϕ, assuming no cis-trans defects. This allows us to fully account for the observed changes in spectra, and the chromophore structures obtained are consistent with the known phase transition at 180 K between a “red” and “blue” phase.
Christina Saller, Frank-Julian Kahle, Thomas Müller, Tobias Hahn, Steffen Tscheuschner, Denys Priadko, Peter Strohriegl, Heinz Bässler and Anna Köhler
ACS Appl. Mater. Interfaces 10 (2018) 21499−21509 [DOI]
We developed a novel all-optical method for monitoring the diffusion of a small quencher molecule through a polymer layer in a bilayer architecture. Experimentally, we injected C60 molecules from a C60 layer into the adjacent donor layer by stepwise heating, and we measured how the photoluminescence (PL) of the donor layer becomes gradually quenched by the incoming C60 molecules. By analyzing the temporal evolution of the PL, the diffusion coefficient of C60 can be extracted, as well as its activation energy and an approximate concentration profile in the film. We applied this technique to three carbazole-based low-bandgap polymers with different glass temperatures with a view to study the impact of structural changes of the polymer matrix on the diffusion process. We find that C60 diffusion is thermally activated and not driven by WFL-type collective motion above Tg but rather by local motions mediated by the sidechains. The results are useful as guidance for material design and device engineering, and the approach can be adapted to a wide range of donor and acceptor materials.We developed a novel all-optical method for monitoring the diffusion of a small quencher molecule through a polymer layer in a bilayer architecture. Experimentally, we injected C60 molecules from a C60 layer into the adjacent donor layer by stepwise heating, and we measured how the photoluminescence (PL) of the donor layer becomes gradually quenched by the incoming C60 molecules. By analyzing the temporal evolution of the PL, the diffusion coefficient of C60 can be extracted, as well as its activation energy and an approximate concentration profile in the film. We applied this technique to three carbazole-based low-bandgap polymers with different glass temperatures with a view to study the impact of structural changes of the polymer matrix on the diffusion process. We find that C60 diffusion is thermally activated and not driven by WFL-type collective motion above Tg but rather by local motions mediated by the sidechains. The results are useful as guidance for material design and device engineering, and the approach can be adapted to a wide range of donor and acceptor materials.
Frank-Julian Kahle, Alexander Rudnick, Heinz Bässler and Anna Köhler
Mater. Horiz., 5 (2018) 837-848 [DOI]
The aim of the present work is to identify the appropriate framework for analyzing photoluminescence and photocurrent (EQE) spectra of charge transfer (CT) states in donor–acceptor blends used as active materials for organic solar cells. It was stimulated by the work of Vandewal et al. (J. Am. Chem. Soc., 2017, 139(4), 1699–1704) who analyzed EQE spectra of CT states of a series of blend systems in terms of Marcus theory assuming that, first, the spectral shape reflects the reorganization energy of the donor upon ionization and, second, that disorder effects are unimportant. To test this assumption we applied gated photoluminescence (PL) spectroscopy within a temperature range from 5 to 295 K combined with EQE as well as electroluminescence (EL) experiments on 1 : 1 Me-LPPP : PCBM blends by weight. We find that the PL spectra are virtually temperature independent and the temporal decay of the emission features a power law with an exponent close to −3/2 as Hong and Noolandi predicted for distributed geminately bound electron-holes pairs. The EL spectrum reveals a red-shift by 100 meV relative to the PL spectrum. The results are inconsistent with both Marcus’ electron transfer theory and the original Marcus–Levich–Jortner (MLJ) theory, and they prove that disorder effects are crucial. Both PL and EQE spectra can be rationalized in terms of the classic Franck–Condon picture of electronic transitions that couple to intra-molecular vibrations as well as low frequency modes of the donor–acceptor pair that forms the CT state.The aim of the present work is to identify the appropriate framework for analyzing photoluminescence and photocurrent (EQE) spectra of charge transfer (CT) states in donor–acceptor blends used as active materials for organic solar cells. It was stimulated by the work of Vandewal et al. (J. Am. Chem. Soc., 2017, 139(4), 1699–1704) who analyzed EQE spectra of CT states of a series of blend systems in terms of Marcus theory assuming that, first, the spectral shape reflects the reorganization energy of the donor upon ionization and, second, that disorder effects are unimportant. To test this assumption we applied gated photoluminescence (PL) spectroscopy within a temperature range from 5 to 295 K combined with EQE as well as electroluminescence (EL) experiments on 1 : 1 Me-LPPP : PCBM blends by weight. We find that the PL spectra are virtually temperature independent and the temporal decay of the emission features a power law with an exponent close to −3/2 as Hong and Noolandi predicted for distributed geminately bound electron-holes pairs. The EL spectrum reveals a red-shift by 100 meV relative to the PL spectrum. The results are inconsistent with both Marcus’ electron transfer theory and the original Marcus–Levich–Jortner (MLJ) theory, and they prove that disorder effects are crucial. Both PL and EQE spectra can be rationalized in terms of the classic Franck–Condon picture of electronic transitions that couple to intra-molecular vibrations as well as low frequency modes of the donor–acceptor pair that forms the CT state.
Tobias Meier, Tanaji P. Gujar, Andreas Schönleber, Selina Olthof, Klaus Meerholz, Sander van Smaalen, Fabian Panzer, Mukundan Thelakkat and Anna Köhler
J. Mater. Chem. C, 6 (2018) 7512 - 7519 [DOI]
We investigate the impact of excess PbI2 in the precursor solution on the structural and optical properties of thin films of the model hybrid perovskite methylammonium lead iodide (MAPbI3). We find that excess of PbI2 in the precursor solution results in crystalline PbI2 in the final thin film that is located at the grain boundaries. From UPS we find that this crystalline PbI2 phase has no direct impact on the electronic structure of MAPbI3. In contrast to this, temperature dependent absorption measurements indicate a systematic change in the temperature dependence of the exciton binding energy in the perovskite. We also observe a decrease in the critical temperature and a concomitant smearing out of the tetragonal–orthorhombic phase transition as a function of excess PbI2. Our results thus help to better understand the exact role of PbI2 in the perovskite layer and pave the way for a more tailored design of perovskite solar cells.We investigate the impact of excess PbI2 in the precursor solution on the structural and optical properties of thin films of the model hybrid perovskite methylammonium lead iodide (MAPbI3). We find that excess of PbI2 in the precursor solution results in crystalline PbI2 in the final thin film that is located at the grain boundaries. From UPS we find that this crystalline PbI2 phase has no direct impact on the electronic structure of MAPbI3. In contrast to this, temperature dependent absorption measurements indicate a systematic change in the temperature dependence of the exciton binding energy in the perovskite. We also observe a decrease in the critical temperature and a concomitant smearing out of the tetragonal–orthorhombic phase transition as a function of excess PbI2. Our results thus help to better understand the exact role of PbI2 in the perovskite layer and pave the way for a more tailored design of perovskite solar cells.
Max Marcus , Jonathan D. Milward , Anna Köhler and William Barford
J. Phys. Chem. A 122 (2018) 3621–3625 [DOI]
We use a Frenkel–Holstein model of uncoupled chains in the adiabatic limit to simulate the optical spectra of the conjugated polymer ladder-type poly(p-phenylene) derivative (MeLPPP), which is a planar conjugated polymer with especially low interchain interactions. The theoretical calculations correctly reproduce the vibronic spectra and yield reasonable torsion angles between adjacent phenyl rings. The success of this approach indicates that, in contrast to interchain coupling, the strong electronic coupling along a polymer chain is more appropriately described in the adiabatic limit.We use a Frenkel–Holstein model of uncoupled chains in the adiabatic limit to simulate the optical spectra of the conjugated polymer ladder-type poly(p-phenylene) derivative (MeLPPP), which is a planar conjugated polymer with especially low interchain interactions. The theoretical calculations correctly reproduce the vibronic spectra and yield reasonable torsion angles between adjacent phenyl rings. The success of this approach indicates that, in contrast to interchain coupling, the strong electronic coupling along a polymer chain is more appropriately described in the adiabatic limit.
Dominic Raithel, Lena Simine, Sebastian Pickel, Konstantin Schötz, Fabian Panzer, Sebastian Baderschneider, Daniel Schiefer, Ruth Lohwasser, Jürgen Köhler, Mukundan Thelakkat, Michael Sommer, Anna Köhler, Peter J. Rossky and Richard Hildner
PNAS 115 (2018) 2699-2704 [DOI]
The backbone conformation of conjugated polymers affects, to a large extent, their optical and electronic properties. The usually flexible substituents provide solubility and influence the packing behavior of conjugated polymers in films or in bad solvents. However, the role of the side chains in determining and potentially controlling the backbone conformation, and thus the optical and electronic properties on the single polymer level, is currently under debate. Here, we investigate directly the impact of the side chains by studying the bulky-substituted poly(3-(2,5-dioctylphenyl)thiophene) (PDOPT) and the common poly(3-hexylthiophene) (P3HT), both with a defined molecular weight and high regioregularity, using low-temperature single-chain photoluminescence (PL) spectroscopy and quantum-classical simulations. Surprisingly, the optical transition energy of PDOPT is significantly (∼2,000 cm−1 or 0.25 eV) red-shifted relative to P3HT despite a higher static and dynamic disorder in the former. We ascribe this red shift to a side-chain induced backbone planarization in PDOPT, supported by temperature-dependent ensemble PL spectroscopy. Our atomistic simulations reveal that the bulkier 2,5-dioctylphenyl side chains of PDOPT adopt a clear secondary helical structural motif and thus protect conjugation, i.e., enforce backbone planarity, whereas, for P3HT, this is not the case. These different degrees of planarity in both thiophenes do not result in different conjugation lengths, which we found to be similar. It is rather the stronger electronic coupling between the repeating units in the more planar PDOPT which gives rise to the observed spectral red shift as well as to a reduced calculated electron−hole polarization.The backbone conformation of conjugated polymers affects, to a large extent, their optical and electronic properties. The usually flexible substituents provide solubility and influence the packing behavior of conjugated polymers in films or in bad solvents. However, the role of the side chains in determining and potentially controlling the backbone conformation, and thus the optical and electronic properties on the single polymer level, is currently under debate. Here, we investigate directly the impact of the side chains by studying the bulky-substituted poly(3-(2,5-dioctylphenyl)thiophene) (PDOPT) and the common poly(3-hexylthiophene) (P3HT), both with a defined molecular weight and high regioregularity, using low-temperature single-chain photoluminescence (PL) spectroscopy and quantum-classical simulations. Surprisingly, the optical transition energy of PDOPT is significantly (∼2,000 cm−1 or 0.25 eV) red-shifted relative to P3HT despite a higher static and dynamic disorder in the former. We ascribe this red shift to a side-chain induced backbone planarization in PDOPT, supported by temperature-dependent ensemble PL spectroscopy. Our atomistic simulations reveal that the bulkier 2,5-dioctylphenyl side chains of PDOPT adopt a clear secondary helical structural motif and thus protect conjugation, i.e., enforce backbone planarity, whereas, for P3HT, this is not the case. These different degrees of planarity in both thiophenes do not result in different conjugation lengths, which we found to be similar. It is rather the stronger electronic coupling between the repeating units in the more planar PDOPT which gives rise to the observed spectral red shift as well as to a reduced calculated electron−hole polarization.
Charles Lochenie, Konstantin Schötz, Fabian Panzer, Hannah Kurz, Bernadette Maier, Florian Puchtler, Seema Agarwal, Anna Köhler and Birgit Weber
J. Am. Chem. Soc., 140 (2018) 700-709 [DOI]
A spin-crossover coordination polymer [Fe(L1)(bipy)]n (where L = a N2O22– coordinating Schiff base-like ligand bearing a phenazine fluorophore and bipy = 4,4′-bipyridine) was synthesized and exhibits a 48 K wide thermal hysteresis above room temperature (T1/2↑ = 371 K and T1/2↓ = 323 K) that is stable for several cycles. The spin transition was characterized using magnetic measurements, Mössbauer spectroscopy, and DSC measurements. T-dependent X-ray powder diffraction reveals a structural phase transition coupled with the spin transition phenomenon. The dimeric excerpt {(μ-bipy)[FeL1(MeOH)]2}·2MeOH of the coordination polymer chain crystallizes in the triclinic space group P1̅ and reveals that the packing of the molecules in the crystal is dominated by hydrogen bonds. Investigation of the emission properties of the complexes with regard to temperature shows that the spin crossover can be tracked by monitoring the emission spectra, since the emission color changes from greenish to a yellow color upon the low spin-to-high spin transition.A spin-crossover coordination polymer [Fe(L1)(bipy)]n (where L = a N2O22– coordinating Schiff base-like ligand bearing a phenazine fluorophore and bipy = 4,4′-bipyridine) was synthesized and exhibits a 48 K wide thermal hysteresis above room temperature (T1/2↑ = 371 K and T1/2↓ = 323 K) that is stable for several cycles. The spin transition was characterized using magnetic measurements, Mössbauer spectroscopy, and DSC measurements. T-dependent X-ray powder diffraction reveals a structural phase transition coupled with the spin transition phenomenon. The dimeric excerpt {(μ-bipy)[FeL1(MeOH)]2}·2MeOH of the coordination polymer chain crystallizes in the triclinic space group P1̅ and reveals that the packing of the molecules in the crystal is dominated by hydrogen bonds. Investigation of the emission properties of the complexes with regard to temperature shows that the spin crossover can be tracked by monitoring the emission spectra, since the emission color changes from greenish to a yellow color upon the low spin-to-high spin transition.
Markus Reichenberger, Daniel Kroh, Giovanni M. M. Matrone, Konstantin Schötz, Stephan Pröller, Oliver Filonik, Margret E. Thordardottir, Eva M. Herzig, Heinz Bässler, Natalie Stingelin, Anna Köhler
Polym. Phys. 56 (2018) 532–542 [DOI]
Aggregates – that is short-ranged ordered moieties in the solid-state of π-conjugated polymers – play an important role in the photophysics and performance of various optoelectronic devices. We have previously shown that many polymers change from a disordered to a more ordered conformation when cooling a solution below a characteristic critical temperature math formula. Using in situ time-resolved absorption spectroscopy on the prototypical semiconducting polymers P3HT, PFO, PCPDTBT, and PCE11 (PffBT4T-2OD), we show that spin-coating at a temperature below math formula can enhance the formation of aggregates with strong intra-chain coupling. An analysis of their time-resolved spectra indicates that the formation of nuclei in the initial stages of film formation for substrates held below math formula seems responsible for this. We observe that the growth rate of the aggregates is thermally activated with an energy of 310 meV, which is much more than that of the solvent viscosity (100 meV). From this we conclude that the rate controlling step is the planarization of a chain that is associated with its attachment to a nucleation center. The success of our approach for the rather dynamic deposition method of spin-coating holds promise for other solution-based deposition methodsAggregates – that is short-ranged ordered moieties in the solid-state of π-conjugated polymers – play an important role in the photophysics and performance of various optoelectronic devices. We have previously shown that many polymers change from a disordered to a more ordered conformation when cooling a solution below a characteristic critical temperature math formula. Using in situ time-resolved absorption spectroscopy on the prototypical semiconducting polymers P3HT, PFO, PCPDTBT, and PCE11 (PffBT4T-2OD), we show that spin-coating at a temperature below math formula can enhance the formation of aggregates with strong intra-chain coupling. An analysis of their time-resolved spectra indicates that the formation of nuclei in the initial stages of film formation for substrates held below math formula seems responsible for this. We observe that the growth rate of the aggregates is thermally activated with an energy of 310 meV, which is much more than that of the solvent viscosity (100 meV). From this we conclude that the rate controlling step is the planarization of a chain that is associated with its attachment to a nucleation center. The success of our approach for the rather dynamic deposition method of spin-coating holds promise for other solution-based deposition methods
2017
Understanding structure-function relationship in halide perovskites (Fabian Panzer)
Tanaji P. Gujar, Thomas Unger, Andreas Schönleber, Martina Fried, Fabian Panzer, Sander van Smaalen, Anna Köhler and Mukundan Thelakkat
Phys. Chem. Chem. Phys., 20 (2018) 605-614 [DOI]
We report a systematic investigation on the role of excess PbI2 content in CH3NH3PbI3 perovskite film properties, solar cell parameters and device storage stability. We used the CH3NH3I vapor assisted method for the preparation of PbI2-free CH3NH3PbI3 films under a N2 atmosphere. These pristine CH3NH3PbI3 films were annealed at 165 °C for different time intervals in a N2 atmosphere to generate additional PbI2 in these films. From XRD measurements, the excess of PbI2 was quantified. Detailed characterization using scanning electron microscopy, X-ray diffraction, UV-Visible and photoluminescence for continuous aging of CH3NH3PbI3 films under ambient condition (50% humidity) is carried out for understanding the influence of different PbI2 contents on degradation of the CH3NH3PbI3 films. We find that the rate of degradation of CH3NH3PbI3 is accelerated due to the amount of PbI2 present in the film. A comparison of solar cell parameters of devices prepared using CH3NH3PbI3 samples having different PbI2 contents reveals a strong influence on the current density–voltage hysteresis as well as storage stability. We demonstrate that CH3NH3PbI3 devices do not require any residual PbI2 for a high performance. Moreover, a small amount of excess PbI2, which improves the initial performance of the devices slightly, has undesirable effects on the CH3NH3PbI3 film stability as well as on device hysteresis and stability.We report a systematic investigation on the role of excess PbI2 content in CH3NH3PbI3 perovskite film properties, solar cell parameters and device storage stability. We used the CH3NH3I vapor assisted method for the preparation of PbI2-free CH3NH3PbI3 films under a N2 atmosphere. These pristine CH3NH3PbI3 films were annealed at 165 °C for different time intervals in a N2 atmosphere to generate additional PbI2 in these films. From XRD measurements, the excess of PbI2 was quantified. Detailed characterization using scanning electron microscopy, X-ray diffraction, UV-Visible and photoluminescence for continuous aging of CH3NH3PbI3 films under ambient condition (50% humidity) is carried out for understanding the influence of different PbI2 contents on degradation of the CH3NH3PbI3 films. We find that the rate of degradation of CH3NH3PbI3 is accelerated due to the amount of PbI2 present in the film. A comparison of solar cell parameters of devices prepared using CH3NH3PbI3 samples having different PbI2 contents reveals a strong influence on the current density–voltage hysteresis as well as storage stability. We demonstrate that CH3NH3PbI3 devices do not require any residual PbI2 for a high performance. Moreover, a small amount of excess PbI2, which improves the initial performance of the devices slightly, has undesirable effects on the CH3NH3PbI3 film stability as well as on device hysteresis and stability.
Tushita Mukhopadhyay, Boregowda Puttaraju, Palas Roy, Jyotishman Dasgupta, Andreas Meyer, Alexander Rudnick, Steffen Tscheuschner, Frank-Julian Kahle, Anna Köhler and Satish Patil
Chem. Eur. J. 23 (2017) 13718 – 13723 [DOI]
Here, we report the synthesis, optical properties, and solid-state packing of monodisperse oligomers of diketopyrrolopyrrole (DPP) up to five repeating units. The optical properties of DPP oligomers in solution and the solid state were investigated by a combination of steady-state and transient spectroscopy. Transient absorption spectroscopy and time-correlated single photon counting (TCSPC) measurements show that the fluorescence lifetime decreases with an increase in the oligomer size from monomer to trimer, thereby reaching saturation for pentameric DPP oligomers. The solid-state packing and crystallinity were probed by using advanced techniques, which included grazing incidence small-angle X-ray scattering (GISAXS) and X-ray diffraction (XRD) to elucidate the structure–property trend. Collectively, our chain-length dependent studies establish the fundamental correlation between the structure and property and provide a comprehensive understanding of the solid-state properties in DPP–DPP based conjugated systems.Here, we report the synthesis, optical properties, and solid-state packing of monodisperse oligomers of diketopyrrolopyrrole (DPP) up to five repeating units. The optical properties of DPP oligomers in solution and the solid state were investigated by a combination of steady-state and transient spectroscopy. Transient absorption spectroscopy and time-correlated single photon counting (TCSPC) measurements show that the fluorescence lifetime decreases with an increase in the oligomer size from monomer to trimer, thereby reaching saturation for pentameric DPP oligomers. The solid-state packing and crystallinity were probed by using advanced techniques, which included grazing incidence small-angle X-ray scattering (GISAXS) and X-ray diffraction (XRD) to elucidate the structure–property trend. Collectively, our chain-length dependent studies establish the fundamental correlation between the structure and property and provide a comprehensive understanding of the solid-state properties in DPP–DPP based conjugated systems.
Thomas Unger, Stefan Wedler, Frank-Julian Kahle, Ullrich Scherf, Heinz Bässler and Anna Köhler
J. Phys. Chem. C, 121 (2017) 22739-22752 [DOI]
We discuss whether electron transfer from a photoexcited polymer donor to a fullerene acceptor in an organic solar cell is tractable in terms of Marcus theory, and whether the driving force ΔG0 is crucial in this process. Considering that Marcus rates are presumed to be thermally activated, we measured the appearance time of the polaron (i.e., the radical-cation) signal between 12 and 295 K for the representative donor polymers PTB7, PCPDTBT, and Me-LPPP in a blend with PCBM as acceptor. In all cases, the dissociation process was completed within the temporal resolution of our experimental setup (220–400 fs), suggesting that the charge transfer is independent of ΔG0. We find that for the PCPDTBT:PCBM (ΔG0 ≈ −0.2 eV) and PTB7:PCBM (ΔG0 ≈ −0.3 eV) the data is mathematically consistent with Marcus theory, yet the condition of thermal equilibrium is not satisfied. For MeLPPP:PCBM, for which electron transfer occurs in the inverted regime (ΔG0 ≈ −1.1 eV), the dissociation rate is inconsistent with Marcus theory but formally tractable using the Marcus–Levich–Jortner tunneling formalism which also requires thermal equilibrium. This is inconsistent with the short transfer times we observed and implies that coherent effects need to be considered. Our results imply that any dependence of the total yield of the photogeneration process must be ascribed to the secondary escape of the initially generated charge transfer state from its Coulomb potential.We discuss whether electron transfer from a photoexcited polymer donor to a fullerene acceptor in an organic solar cell is tractable in terms of Marcus theory, and whether the driving force ΔG0 is crucial in this process. Considering that Marcus rates are presumed to be thermally activated, we measured the appearance time of the polaron (i.e., the radical-cation) signal between 12 and 295 K for the representative donor polymers PTB7, PCPDTBT, and Me-LPPP in a blend with PCBM as acceptor. In all cases, the dissociation process was completed within the temporal resolution of our experimental setup (220–400 fs), suggesting that the charge transfer is independent of ΔG0. We find that for the PCPDTBT:PCBM (ΔG0 ≈ −0.2 eV) and PTB7:PCBM (ΔG0 ≈ −0.3 eV) the data is mathematically consistent with Marcus theory, yet the condition of thermal equilibrium is not satisfied. For MeLPPP:PCBM, for which electron transfer occurs in the inverted regime (ΔG0 ≈ −1.1 eV), the dissociation rate is inconsistent with Marcus theory but formally tractable using the Marcus–Levich–Jortner tunneling formalism which also requires thermal equilibrium. This is inconsistent with the short transfer times we observed and implies that coherent effects need to be considered. Our results imply that any dependence of the total yield of the photogeneration process must be ascribed to the secondary escape of the initially generated charge transfer state from its Coulomb potential.
Andrey Kadashchuk, Fei Tong, Robby Janneck, Ivan I. Fishchuk, Alexander Mityashin, Egon Pavlica, Anna Köhler, Paul Heremans, Cedric Rolin, Gvido Bratina and Jan Genoe
Phys. Rev. B 96, (2017) 125202 [DOI]
We demonstrate that the degree of charge delocalization has a strong impact on polarization energy and thereby on the position of the transport band edge in organic semiconductors. This gives rise to long-range potential fluctuations, which govern the electronic transport through delocalized states in organic crystalline layers. This concept is employed to formulate an analytic model that explains a negative field dependence coupled with a positive temperature dependence of the charge mobility observed by a lateral time-of-flight technique in a high-mobility crystalline organic layer. This has important implications for the further understanding of the charge transport via delocalized states in organic semiconductors.We demonstrate that the degree of charge delocalization has a strong impact on polarization energy and thereby on the position of the transport band edge in organic semiconductors. This gives rise to long-range potential fluctuations, which govern the electronic transport through delocalized states in organic crystalline layers. This concept is employed to formulate an analytic model that explains a negative field dependence coupled with a positive temperature dependence of the charge mobility observed by a lateral time-of-flight technique in a high-mobility crystalline organic layer. This has important implications for the further understanding of the charge transport via delocalized states in organic semiconductors.
Kevin Wilma, Thomas Unger, Sinem Tuncel Kostakoglu, Manuel Hollfelder, Christoph Hunger, Andreas Lang, Ayse Gul Gurek, Mukundan Thelakkat, Jürgen Köhler, Anna Köhler, Stephan Gekle and Richard Hildner
Phys. Chem. Chem. Phys. 19 (2017) 22169 [DOI]
We investigate the excited state dynamics and the conformation of a new molecular donor-bridge-acceptor system, a Cu(II)-phthalocyanine (CuPc) covalently linked via a flexible aliphatic spacer to a perylenebisimide (PBI). We performed time-resolved polarization anisotropy and pump-probe measurements in combination with molecular dynamics simulations. Our data suggest the existence of three conformations of the dyad: two more extended, metastable conformations with centre-of-mass distances > 1 nm between the PBI and CuPc units of the dyad, and a highly stable folded structure, in which the PBI and CuPc units are stacked on top of each other with a centre-of-mass distance of 0.4 nm. In the extended conformation the dyad shows emission predominantly from the PBI unit with a very weak contribution from the CuPc unit. In contrast, for the folded conformation the PBI emission of the dyad is strongly quenched due to fast energy transfer from the PBI to the CuPc unit (3 ps) and subsequent intersystem-crossing (300 fs) from the first excited singlet state of CuPc unit into its triplet state. Finally, the CuPc triplet state is deactivated non-radiatively with a time constant of 25 ns.We investigate the excited state dynamics and the conformation of a new molecular donor-bridge-acceptor system, a Cu(II)-phthalocyanine (CuPc) covalently linked via a flexible aliphatic spacer to a perylenebisimide (PBI). We performed time-resolved polarization anisotropy and pump-probe measurements in combination with molecular dynamics simulations. Our data suggest the existence of three conformations of the dyad: two more extended, metastable conformations with centre-of-mass distances > 1 nm between the PBI and CuPc units of the dyad, and a highly stable folded structure, in which the PBI and CuPc units are stacked on top of each other with a centre-of-mass distance of 0.4 nm. In the extended conformation the dyad shows emission predominantly from the PBI unit with a very weak contribution from the CuPc unit. In contrast, for the folded conformation the PBI emission of the dyad is strongly quenched due to fast energy transfer from the PBI to the CuPc unit (3 ps) and subsequent intersystem-crossing (300 fs) from the first excited singlet state of CuPc unit into its triplet state. Finally, the CuPc triplet state is deactivated non-radiatively with a time constant of 25 ns.
Richard Hildner, Anna Köhler, Peter Müller-Buschbaum, Fabian Panzer and Mukundan Thelakkat
Adv. Energy Mater. 7 (2017) 1700314 [DOI]
The field of conjugated polymers has expanded in the last years considerably and impressive performance, both in field effect transistors and photovoltaic devices has been achieved. After the initial emphasis on improving the performance, more emphasis is recently given to fundamental studies on structure formation. Therefore, this review concentrates on systematic correlation studies of structure formation in solution, in bulk and thin films as well as in photovoltaic blends of donor-type π-conjugated polymers. The main focus is on the correlation of structure, morphology and molecular chain orientation as a function of macromolecular properties such as molecular weight, dispersity, non-covalent intramolecular and intermolecular interactions, solvent interactions and innovative processing techniques. The tools applied for elucidating fundamental information of structure formation and orientation mainly consist of optical spectroscopy and scattering techniques (SAXS/WAXS/GIWAXS). Since the field of conjugated polymers is very vast in terms of chemical structural diversity, only selected examples of donor polymers are covered here and the emerging class of n-type conjugated polymers are not included. The focus is not on the structural variation or their performance in solar cells or transistors in terms of record efficiencies, but on the systematic studies leading to a structure-property correlation in donor polymers.The field of conjugated polymers has expanded in the last years considerably and impressive performance, both in field effect transistors and photovoltaic devices has been achieved. After the initial emphasis on improving the performance, more emphasis is recently given to fundamental studies on structure formation. Therefore, this review concentrates on systematic correlation studies of structure formation in solution, in bulk and thin films as well as in photovoltaic blends of donor-type π-conjugated polymers. The main focus is on the correlation of structure, morphology and molecular chain orientation as a function of macromolecular properties such as molecular weight, dispersity, non-covalent intramolecular and intermolecular interactions, solvent interactions and innovative processing techniques. The tools applied for elucidating fundamental information of structure formation and orientation mainly consist of optical spectroscopy and scattering techniques (SAXS/WAXS/GIWAXS). Since the field of conjugated polymers is very vast in terms of chemical structural diversity, only selected examples of donor polymers are covered here and the emerging class of n-type conjugated polymers are not included. The focus is not on the structural variation or their performance in solar cells or transistors in terms of record efficiencies, but on the systematic studies leading to a structure-property correlation in donor polymers.
Alexander Rudnick, Christoph Wetzel, Steffen Tscheuschner, Holger Schmalz, Astrid Vogt, Andreas Greiner, Heinz Bässler, Elena Mena-Osteritz, Peter Bäuerle and Anna Köhler
J. Phys. Chem. B, 121 (2017) 7492 - 7501 [DOI]
In this study, we report a detailed spectroscopic study concerning the energy levels and vibrational structure of thiophene–pyrrole-containing S,N-heteroacenes. The aim of the study is first, to understand the differences in the photoluminescence (PL) efficiencies in this structurally similar series and second, to compare the electronic structure of S,N-heteroacenes to that of linear acenes and phenacenes, with a view to derive guidelines for the design of singlet fission materials. For S,N-heteroacenes comprising seven fused heterocyclic rings, we observe a higher PL quantum yield for derivatives with terminal thienothiophene units than for thienopyrrole-capped ones. This is assigned to a stronger tendency of the thienopyrrole-capped derivatives to form nonemissive associates in dilute solution, producing emissive excimers at higher concentration. By conducting time-resolved PL studies at 77 K, we further determine the lowest singlet and triplet energies for the S,N-heteroacenes with three, five, and seven fused rings. We show that their energies evolve with oligomer length analogously to those of phenacenes, yet in a fundamentally different way from that of linear acenes. This difference in evolution is attributed to the increasingly biradical character in acenes with increasing chain length in contrast to the S,N-heteroacenes and phenacenes.In this study, we report a detailed spectroscopic study concerning the energy levels and vibrational structure of thiophene–pyrrole-containing S,N-heteroacenes. The aim of the study is first, to understand the differences in the photoluminescence (PL) efficiencies in this structurally similar series and second, to compare the electronic structure of S,N-heteroacenes to that of linear acenes and phenacenes, with a view to derive guidelines for the design of singlet fission materials. For S,N-heteroacenes comprising seven fused heterocyclic rings, we observe a higher PL quantum yield for derivatives with terminal thienothiophene units than for thienopyrrole-capped ones. This is assigned to a stronger tendency of the thienopyrrole-capped derivatives to form nonemissive associates in dilute solution, producing emissive excimers at higher concentration. By conducting time-resolved PL studies at 77 K, we further determine the lowest singlet and triplet energies for the S,N-heteroacenes with three, five, and seven fused rings. We show that their energies evolve with oligomer length analogously to those of phenacenes, yet in a fundamentally different way from that of linear acenes. This difference in evolution is attributed to the increasingly biradical character in acenes with increasing chain length in contrast to the S,N-heteroacenes and phenacenes.
Understanding structure-function relationship in halide perovskites (Fabian Panzer)
Fabian Panzer, Cheng Li, Tobias Meier, Anna Köhler and Sven Huettner
Adv. Energy Mater. 19 (2017) 1700286 [DOI]
Organolead halide perovskites have attracted a lot of attention over the recent years mostly due to their bright prospective application in photovoltaic devices. For further development, characterization of their physical properties plays a seminal role in order to gain an in-depth understanding of these mid-bandgap ionic semiconductors. Their unique optical and electronic properties are a result of their characteristic electronic structure. Temperature dependent optical spectroscopy, i.e., absorption and photoluminescence (PL) characterization, gives access to their electronic nature that draws strong correlations to their structural properties. Those properties include static and dynamic disorder, and defects or phase transitions, which will be demonstrated in the first part of this research view. The second part focuses on ion migration in these hybrid semiconductors, which can strongly affect the slow dynamics of optical properties. Light-activated ions result in a number of complex processes that can lead to an increase, but also a decrease of PL intensity, or induce PL intermittency. Parameters like light intensity, crystal quality, and defect density all influence these processes, and ultimately the electronic nature of the hybrid perovskites. We will briefly summarize current achievements and point out challenges for upcoming research.Organolead halide perovskites have attracted a lot of attention over the recent years mostly due to their bright prospective application in photovoltaic devices. For further development, characterization of their physical properties plays a seminal role in order to gain an in-depth understanding of these mid-bandgap ionic semiconductors. Their unique optical and electronic properties are a result of their characteristic electronic structure. Temperature dependent optical spectroscopy, i.e., absorption and photoluminescence (PL) characterization, gives access to their electronic nature that draws strong correlations to their structural properties. Those properties include static and dynamic disorder, and defects or phase transitions, which will be demonstrated in the first part of this research view. The second part focuses on ion migration in these hybrid semiconductors, which can strongly affect the slow dynamics of optical properties. Light-activated ions result in a number of complex processes that can lead to an increase, but also a decrease of PL intensity, or induce PL intermittency. Parameters like light intensity, crystal quality, and defect density all influence these processes, and ultimately the electronic nature of the hybrid perovskites. We will briefly summarize current achievements and point out challenges for upcoming research.
Christoph Wetzel, Astrid Vogt, Alexander Rudnick, Elena Mena-Osteritz, Anna Köhler and Peter Bäuerle
Org. Chem. Front., 4 (2017) 1629-1635 [DOI]
A novel family of S,N-heteroheptacenes SN7a–d with a variable thiophene–pyrrole ratio and a heteroring fusion sequence is presented. All SN7-derivatives can be synthesized in efficient multi-step synthetic routes with good overall yields. The crucial cyclization step to the stable and soluble fused systems is achieved by multiple Pd-catalyzed Buchwald–Hartwig aminations or C–S coupling reaction in high yields. The comparison of the optoelectronic properties provides interesting structure–property relationships and gives valuable insights into the role of nitrogen atoms within the series of thiophene–pyrrole containing S,N-heteroheptacenes. Remarkable differences in emission behaviour and noticeable correlations of the oxidation potentials of the S,N-heteroheptacenes offer helpful information for the construction of other heteroacenes. Additionally, UV-Vis-NIR absorption spectra of the corresponding radical cations generated by chemical oxidation were monitored and compared.A novel family of S,N-heteroheptacenes SN7a–d with a variable thiophene–pyrrole ratio and a heteroring fusion sequence is presented. All SN7-derivatives can be synthesized in efficient multi-step synthetic routes with good overall yields. The crucial cyclization step to the stable and soluble fused systems is achieved by multiple Pd-catalyzed Buchwald–Hartwig aminations or C–S coupling reaction in high yields. The comparison of the optoelectronic properties provides interesting structure–property relationships and gives valuable insights into the role of nitrogen atoms within the series of thiophene–pyrrole containing S,N-heteroheptacenes. Remarkable differences in emission behaviour and noticeable correlations of the oxidation potentials of the S,N-heteroheptacenes offer helpful information for the construction of other heteroacenes. Additionally, UV-Vis-NIR absorption spectra of the corresponding radical cations generated by chemical oxidation were monitored and compared.
Stavros Athanasopoulos, Steffen Tscheuschner, Heinz Bässler and Anna Köhler
J. Phys. Chem. Lett. 8 (2017) 2093−2098 [DOI]
We demonstrate that efficient and nearly field-independent charge separation of electron–hole pairs in organic planar heterojunction solar cells can be described by an incoherent hopping mechanism. Using kinetic Monte Carlo simulations that include the effect of on-chain delocalization as well as entropic contributions, we simulate the dissociation of the charge-transfer state in polymer–fullerene bilayer solar cells. The model further explains experimental results of almost field independent charge separation in bilayers of molecular systems with fullerenes and provides important guidelines at the molecular level for maximizing the efficiencies of organic solar cells. Thus, utilizing coherent phenomena is not necessarily required for highly efficient charge separation in organic solar cells.We demonstrate that efficient and nearly field-independent charge separation of electron–hole pairs in organic planar heterojunction solar cells can be described by an incoherent hopping mechanism. Using kinetic Monte Carlo simulations that include the effect of on-chain delocalization as well as entropic contributions, we simulate the dissociation of the charge-transfer state in polymer–fullerene bilayer solar cells. The model further explains experimental results of almost field independent charge separation in bilayers of molecular systems with fullerenes and provides important guidelines at the molecular level for maximizing the efficiencies of organic solar cells. Thus, utilizing coherent phenomena is not necessarily required for highly efficient charge separation in organic solar cells.
Frank-Julian Kahle, Christina Saller, Anna Köhler and Peter Strohriegl
Adv. Energy Mater. (2017) 1700306 [DOI]
Organic solar cells (OSCs) have achieved much attention and meanwhile reach efficiencies above 10%. One problem yet to be solved is the lack of long term stability. Crosslinking is presented as a tool to increase the stability of OSCs. A number of materials used for the crosslinking of bulk heterojunction cells are presented. These include the crosslinking of low bandgap polymers used as donors in bulk heterojunction cells, as well as the crosslinking of fullerene acceptors and crosslinking between donor and acceptor. External crosslinkers often based on multifunctional azides are also discussed. In the second part, some work either leading to OSCs with high efficiencies or giving insight into the chemistry and physics of crosslinking are highlighted. The diffusion of low molar mass fullerenes in a crosslinked matrix of a conjugated polymer and the influence of crosslinking on the carrier mobility is discussed. Finally, the use of crosslinking to make stable interlayers and the solution processing of multilayer OSCs are discussed in addition to presentation of a novel approach to stabilize nanoimprinted patterns for OSCs by crosslinking.Organic solar cells (OSCs) have achieved much attention and meanwhile reach efficiencies above 10%. One problem yet to be solved is the lack of long term stability. Crosslinking is presented as a tool to increase the stability of OSCs. A number of materials used for the crosslinking of bulk heterojunction cells are presented. These include the crosslinking of low bandgap polymers used as donors in bulk heterojunction cells, as well as the crosslinking of fullerene acceptors and crosslinking between donor and acceptor. External crosslinkers often based on multifunctional azides are also discussed. In the second part, some work either leading to OSCs with high efficiencies or giving insight into the chemistry and physics of crosslinking are highlighted. The diffusion of low molar mass fullerenes in a crosslinked matrix of a conjugated polymer and the influence of crosslinking on the carrier mobility is discussed. Finally, the use of crosslinking to make stable interlayers and the solution processing of multilayer OSCs are discussed in addition to presentation of a novel approach to stabilize nanoimprinted patterns for OSCs by crosslinking.
Alexander Rudnick, Kim-Julia Kass, Eduard Preis, Ullrich Scherf, Heinz Bässler and Anna Köhler
The Journal of Chemical Physics 146 (2017) 174903 [DOI]
We present a detailed spectroscopic study, along with the synthesis, of conjugated, ladder-type 2,7-linked poly(pyrene)s. We observe a delocalization of the first singlet excited state along the polymer backbone, i.e., across the 2,7 linkage in the pyrene moiety, in contrast to earlier studies on conjugated 2,7-linked poly(pyrene)s without ladder structure. The electronic signature of the pyrene unit is, however, manifested in an increased lifetime and reduced oscillator strength as well as a modified vibronic progression in absorption of the singlet state compared to a ladder-type poly(para-phenylene) (MeLPPP). Furthermore, the reduced oscillator strength and increased lifetime slow down Förster-type energy transfer in films, where this transfer occurs to sites with increasing inter-chain coupling of H-type nature.We present a detailed spectroscopic study, along with the synthesis, of conjugated, ladder-type 2,7-linked poly(pyrene)s. We observe a delocalization of the first singlet excited state along the polymer backbone, i.e., across the 2,7 linkage in the pyrene moiety, in contrast to earlier studies on conjugated 2,7-linked poly(pyrene)s without ladder structure. The electronic signature of the pyrene unit is, however, manifested in an increased lifetime and reduced oscillator strength as well as a modified vibronic progression in absorption of the singlet state compared to a ladder-type poly(para-phenylene) (MeLPPP). Furthermore, the reduced oscillator strength and increased lifetime slow down Förster-type energy transfer in films, where this transfer occurs to sites with increasing inter-chain coupling of H-type nature.
I. I. Fishchuk, A. Kadashchuk, A. Bhoolokam, A. de Jamblinne de Meux, G. Pourtois, M. M. Gavrilyuk, A. Köhler, H. Bässler, P. Heremans and J. Genoe
Phys. Rev. B 93, (20167) 195204 [DOI]
We suggest an analytic theory based on the effective medium approximation (EMA) which is able to describe
charge-carrier transport in a disordered semiconductor with a significant degree of degeneration realized at high
carrier concentrations, especially relevant in some thin-film transistors (TFTs), when the Fermi level is very
close to the conduction-band edge. The EMA model is based on special averaging of the Fermi-Dirac carrier
distributions using a suitably normalized cumulative density-of-state distribution that includes both delocalized
states and the localized states. The principal advantage of the present model is its ability to describe universally
effective drift and Hall mobility in heterogeneous materials as a function of disorder, temperature, and carrier
concentration within the same theoretical formalism. It also bridges a gap between hopping and bandlike
transport in an energetically heterogeneous system. The key assumption of the model is that the charge carriers
move through delocalized states and that, in addition to the tail of the localized states, the disorder can give rise
to spatial energy variation of the transport-band edge being described by a Gaussian distribution. It can explain
a puzzling observation of activated and carrier-concentration-dependent Hall mobility in a disordered system
featuring an ideal Hall effect. The present model has been successfully applied to describe experimental results
on the charge transport measured in an amorphous oxide semiconductor, In-Ga-Zn-O (a-IGZO). In particular, the
model reproduces well both the conventional Meyer-Neldel (MN) compensation behavior for the charge-carrier
mobility and inverse-MN effect for the conductivity observed in the same a-IGZO TFT. The model was further
supported by ab initio calculations revealing that the amorphization of IGZO gives rise to variation of the
conduction-band edge rather than to the creation of localized states. The obtained changes agree with the one
we used to describe the charge transport. We found that the band-edge variation dominates the charge transport
in high-quality a-IGZO TFTs in the above-threshold voltage region, whereas the localized states need not to be
invoked to account for the experimental results in this material.We suggest an analytic theory based on the effective medium approximation (EMA) which is able to describe
charge-carrier transport in a disordered semiconductor with a significant degree of degeneration realized at high
carrier concentrations, especially relevant in some thin-film transistors (TFTs), when the Fermi level is very
close to the conduction-band edge. The EMA model is based on special averaging of the Fermi-Dirac carrier
distributions using a suitably normalized cumulative density-of-state distribution that includes both delocalized
states and the localized states. The principal advantage of the present model is its ability to describe universally
effective drift and Hall mobility in heterogeneous materials as a function of disorder, temperature, and carrier
concentration within the same theoretical formalism. It also bridges a gap between hopping and bandlike
transport in an energetically heterogeneous system. The key assumption of the model is that the charge carriers
move through delocalized states and that, in addition to the tail of the localized states, the disorder can give rise
to spatial energy variation of the transport-band edge being described by a Gaussian distribution. It can explain
a puzzling observation of activated and carrier-concentration-dependent Hall mobility in a disordered system
featuring an ideal Hall effect. The present model has been successfully applied to describe experimental results
on the charge transport measured in an amorphous oxide semiconductor, In-Ga-Zn-O (a-IGZO). In particular, the
model reproduces well both the conventional Meyer-Neldel (MN) compensation behavior for the charge-carrier
mobility and inverse-MN effect for the conductivity observed in the same a-IGZO TFT. The model was further
supported by ab initio calculations revealing that the amorphization of IGZO gives rise to variation of the
conduction-band edge rather than to the creation of localized states. The obtained changes agree with the one
we used to describe the charge transport. We found that the band-edge variation dominates the charge transport
in high-quality a-IGZO TFTs in the above-threshold voltage region, whereas the localized states need not to be
invoked to account for the experimental results in this material.
Frank-Julian Kahle, Irene Bauer, Peter Strohriegl and Anna Köhler
J .Polym. Sci., Part B: Polym. Phys. 55 (2017) 112–120 [DOI]
Carrier mobility is a key parameter for the application of conjugated polymers. In this work, a series of polyfluorenes (PF2/6) with different fractions of crosslinkable acrylate groups is investigated. Mobility measurements are carried out to assess the influence of crosslinking with different photoinitiators on the performance of the material. For the regime of low to medium charge carrier density, relevant for OLEDs and OPVs, we used a novel technique based on the injection of charge carriers from the electrodes of an optoelectronic device: MIS-CELIV (MIS: metal-insulator-semiconductor). For large charge carrier densities we performed OFET measurements. We find that using optimized conditions crosslinking does not influence the hole mobility in the investigated system. Furthermore, we demonstrate that the crosslinking process may be triggered solely by thermal activation and UV-illumination without the need of any initiator. Thus, densely crosslinked networks are obtained without the formation of undesired decomposition products from added photoinitiator.Carrier mobility is a key parameter for the application of conjugated polymers. In this work, a series of polyfluorenes (PF2/6) with different fractions of crosslinkable acrylate groups is investigated. Mobility measurements are carried out to assess the influence of crosslinking with different photoinitiators on the performance of the material. For the regime of low to medium charge carrier density, relevant for OLEDs and OPVs, we used a novel technique based on the injection of charge carriers from the electrodes of an optoelectronic device: MIS-CELIV (MIS: metal-insulator-semiconductor). For large charge carrier densities we performed OFET measurements. We find that using optimized conditions crosslinking does not influence the hole mobility in the investigated system. Furthermore, we demonstrate that the crosslinking process may be triggered solely by thermal activation and UV-illumination without the need of any initiator. Thus, densely crosslinked networks are obtained without the formation of undesired decomposition products from added photoinitiator.
2016
Fabian Panzer, Heinz Bässler and Anna Köhler
J. Phys. Chem. Lett. 8 (2017) 114–125 [DOI]
The aggregation of π-conjugated materials significantly impacts the photophysics and performance of optoelectronic devices. Nevertheless, little is known about the laws governing aggregate formation of π-conjugated materials from solution. In this Perspective, we compare, discuss, and summarize how aggregates form for three different types of compounds, that is, homopolymers, donor–acceptor type polymers, and low molecular weight compounds. To this end, we employ temperature-dependent optical spectroscopy, which is a simple yet powerful tool to investigate aggregate formation. We show how optical spectra can be analyzed to identify distinct conformational states. We find aggregate formation to proceed the same in all these compounds by a coil-to-globule-like first-order phase transition. Notably, the chain expands before it collapses into a highly ordered dense state. The role of side chains and the impact of changes in environmental polarization are addressed.The aggregation of π-conjugated materials significantly impacts the photophysics and performance of optoelectronic devices. Nevertheless, little is known about the laws governing aggregate formation of π-conjugated materials from solution. In this Perspective, we compare, discuss, and summarize how aggregates form for three different types of compounds, that is, homopolymers, donor–acceptor type polymers, and low molecular weight compounds. To this end, we employ temperature-dependent optical spectroscopy, which is a simple yet powerful tool to investigate aggregate formation. We show how optical spectra can be analyzed to identify distinct conformational states. We find aggregate formation to proceed the same in all these compounds by a coil-to-globule-like first-order phase transition. Notably, the chain expands before it collapses into a highly ordered dense state. The role of side chains and the impact of changes in environmental polarization are addressed.
Tobias Hahn, Steffen Tscheuschner, Frank-Julian Kahle, Markus Reichenberger, Stavros Athanasopoulos, Christina Saller, Guillermo C. Bazan, Thuc-Quyen Nguyen, Peter Strohriegl, Heinz Bässler and Anna Köhler
Adv. Funct. Mater. (2017) 27 1604906 [DOI]
While it has been argued that field-dependent geminate pair recombination (GR) is important, this process is often disregarded when analyzing the recombination kinetics in bulk heterojunction organic solar cells (OSCs). To differentiate between the contributions of GR and nongeminate recombination (NGR) the authors study bilayer OSCs using either a PCDTBT-type polymer layer with a thickness from 14 to 66 nm or a 60 nm thick p-DTS(FBTTh2)2 layer as donor material and C60 as acceptor. The authors measure JV-characteristics as a function of intensity and charge-extraction-by-linearly-increasing-voltage-type hole mobilities. The experiments have been complemented by Monte Carlo simulations. The authors find that fill factor (FF) decreases with increasing donor layer thickness (Lp) even at the lowest light intensities where geminate recombination dominates. The authors interpret this in terms of thickness dependent back diffusion of holes toward their siblings at the donor–acceptor interface that are already beyond the Langevin capture sphere rather than to charge accumulation at the donor–acceptor interface. This effect is absent in the p-DTS(FBTTh2)2 diode in which the hole mobility is by two orders of magnitude higher. At higher light intensities, NGR occurs as evidenced by the evolution of s-shape of the JV-curves and the concomitant additional decrease of the FF with increasing layer thickness.While it has been argued that field-dependent geminate pair recombination (GR) is important, this process is often disregarded when analyzing the recombination kinetics in bulk heterojunction organic solar cells (OSCs). To differentiate between the contributions of GR and nongeminate recombination (NGR) the authors study bilayer OSCs using either a PCDTBT-type polymer layer with a thickness from 14 to 66 nm or a 60 nm thick p-DTS(FBTTh2)2 layer as donor material and C60 as acceptor. The authors measure JV-characteristics as a function of intensity and charge-extraction-by-linearly-increasing-voltage-type hole mobilities. The experiments have been complemented by Monte Carlo simulations. The authors find that fill factor (FF) decreases with increasing donor layer thickness (Lp) even at the lowest light intensities where geminate recombination dominates. The authors interpret this in terms of thickness dependent back diffusion of holes toward their siblings at the donor–acceptor interface that are already beyond the Langevin capture sphere rather than to charge accumulation at the donor–acceptor interface. This effect is absent in the p-DTS(FBTTh2)2 diode in which the hole mobility is by two orders of magnitude higher. At higher light intensities, NGR occurs as evidenced by the evolution of s-shape of the JV-curves and the concomitant additional decrease of the FF with increasing layer thickness.
Tobias Hahn, Steffen Tscheuschner, Christina Saller, Peter Strohriegl, Puttaraju Boregowda, Tushita Mukhopadhyay, Satish Patil, Dieter Neher, Heinz Bässler and Anna Köhler
J. Phys. Chem. C 120 (2016) 25083–25091 [DOI]
In an endeavor to examine how optical excitation of C60 and PCBM contribute to the photogeneration of charge carriers in organic solar cells, we investigated stationary photogeneration in single-layer C60 and PCBM films over a broad spectrum as a function of the electric field. We find that intrinsic photogeneration starts at a photon energy of about 2.25 eV, i.e., about 0.4 eV above the first singlet excited state. It originates from charge transfer type states that can autoionize before relaxing to the lower-energy singlet S1 state, in the spirit of Onsager’s 1938 theory. We analyze the internal quantum efficiency as a function of electric field and photon energy to determine (1) the Coulombic binding and separation of the electron–hole pairs, (2) the value of the electrical gap, and (3) which fraction of photoexcitations can fully separate at a given photon energy. The latter depends on the coupling between the photogenerated charge transfer states and the eventual charge transporting states. It is by a factor of 3 lower in PCBM. Close to the threshold energy for intrinsic photoconduction (2.25 eV), the generating entity is a photogenerated electron–hole pair with roughly 2 nm separation. At higher photon energy, more expanded pairs are produced incoherently via thermalization.In an endeavor to examine how optical excitation of C60 and PCBM contribute to the photogeneration of charge carriers in organic solar cells, we investigated stationary photogeneration in single-layer C60 and PCBM films over a broad spectrum as a function of the electric field. We find that intrinsic photogeneration starts at a photon energy of about 2.25 eV, i.e., about 0.4 eV above the first singlet excited state. It originates from charge transfer type states that can autoionize before relaxing to the lower-energy singlet S1 state, in the spirit of Onsager’s 1938 theory. We analyze the internal quantum efficiency as a function of electric field and photon energy to determine (1) the Coulombic binding and separation of the electron–hole pairs, (2) the value of the electrical gap, and (3) which fraction of photoexcitations can fully separate at a given photon energy. The latter depends on the coupling between the photogenerated charge transfer states and the eventual charge transporting states. It is by a factor of 3 lower in PCBM. Close to the threshold energy for intrinsic photoconduction (2.25 eV), the generating entity is a photogenerated electron–hole pair with roughly 2 nm separation. At higher photon energy, more expanded pairs are produced incoherently via thermalization.
Philipp Knauer, Tobias Hahn, Anna Köhler and Peter Strohriegl
J. Mater. Chem. C 4 (2016) 10347-10357 [DOI]
A critical issue of bulk heterojunction (BHJ) solar cells is the instability of the morphology of the polymer:fullerene blend over long operation times. We report the synthesis of crosslinkable derivatives of the low bandgap polymer PFDTBT, poly(2,7-(9,9-dialkylfluorene)-alt-(5,5-(4′,7′-di-2-thienyl-2′,1′,3′-benzothiadiazole))), and the stabilization of BHJ solar cells by crosslinking. Oxetane units are attached to the polymer side chains as crosslinkable functional groups. We study the crosslinking of the polymers via cationic ring opening polymerization of the oxetanes and show that our materials rapidly form insoluble networks. Our materials also crosslink in the presence of fullerenes. We report for the first time that crosslinking takes place upon prolonged heating to 100 °C without any added initiator. The best efficiency and thermal stability are found in thermally crosslinked BHJ solar cells. After 30 hours at 100 °C, 65% of the initial efficiency are retained and no further decay is observed up to 100 hours.A critical issue of bulk heterojunction (BHJ) solar cells is the instability of the morphology of the polymer:fullerene blend over long operation times. We report the synthesis of crosslinkable derivatives of the low bandgap polymer PFDTBT, poly(2,7-(9,9-dialkylfluorene)-alt-(5,5-(4′,7′-di-2-thienyl-2′,1′,3′-benzothiadiazole))), and the stabilization of BHJ solar cells by crosslinking. Oxetane units are attached to the polymer side chains as crosslinkable functional groups. We study the crosslinking of the polymers via cationic ring opening polymerization of the oxetanes and show that our materials rapidly form insoluble networks. Our materials also crosslink in the presence of fullerenes. We report for the first time that crosslinking takes place upon prolonged heating to 100 °C without any added initiator. The best efficiency and thermal stability are found in thermally crosslinked BHJ solar cells. After 30 hours at 100 °C, 65% of the initial efficiency are retained and no further decay is observed up to 100 hours.
Peter Strohriegl, Christina Saller, Philipp Knauer, Anna Köhler, Tobias Hahn, Florian Fischer and Frank-Julian Kahle
Proc. of SPIE Vol. 9942, 99420O [DOI]
We present a number of polyfluorene based conjugated polymers with crosslinkable acrylate and oxetane units. These
polymers can be crosslinked by free radical polymerization in the case of acrylates and by cationic ring opening
polymerization for oxetanes. Upon polymerization densely crosslinked networks are formed which are completely
insoluble. We show that the diffusion coefficient of C60 in polyfluorene is reduced by a factor of 1000 by crosslinking.
MIS-CELIV measurements are used to monitor changes in the charge carrier mobility upon crosslinking. It shows that
using appropriate conditions, e.g. low initiator concentrations or thermal crosslinking, the charge carrier mobility is not
reduced by crosslinking. Solution processed three layer organic solar cells were realized with a crosslinkable fluorene
based copolymer containing acrylate groups. The efficiency is increased from 1.4% for the reference to 1.8% in the three
layer cell with a crosslinked exciton blocking layer. A critical issue of BHJ cells is the instability of the morphology of
the polymer:fullerene blend over long operation times at elevated temperature. We present a crosslinkable derivative of
the low bandgap polymer PFDTBT which contains oxetane units. BHJ cells with the crosslinked PFDTBT derivative and
PCBM were tested in accelerated aging experiments at 100 °C for times up to 100 h. Stabilization was clearly observed
in crosslinked BHJ cells compared to the non-crosslinked reference. We show for the first time that oxetane containing
polymers can be thermally crosslinked without any added initiator. Initiator free crosslinking is particularly attractive as
it avoids the formation of decomposition products, and thus potential electron traps and quenching sites from the
initiator.We present a number of polyfluorene based conjugated polymers with crosslinkable acrylate and oxetane units. These
polymers can be crosslinked by free radical polymerization in the case of acrylates and by cationic ring opening
polymerization for oxetanes. Upon polymerization densely crosslinked networks are formed which are completely
insoluble. We show that the diffusion coefficient of C60 in polyfluorene is reduced by a factor of 1000 by crosslinking.
MIS-CELIV measurements are used to monitor changes in the charge carrier mobility upon crosslinking. It shows that
using appropriate conditions, e.g. low initiator concentrations or thermal crosslinking, the charge carrier mobility is not
reduced by crosslinking. Solution processed three layer organic solar cells were realized with a crosslinkable fluorene
based copolymer containing acrylate groups. The efficiency is increased from 1.4% for the reference to 1.8% in the three
layer cell with a crosslinked exciton blocking layer. A critical issue of BHJ cells is the instability of the morphology of
the polymer:fullerene blend over long operation times at elevated temperature. We present a crosslinkable derivative of
the low bandgap polymer PFDTBT which contains oxetane units. BHJ cells with the crosslinked PFDTBT derivative and
PCBM were tested in accelerated aging experiments at 100 °C for times up to 100 h. Stabilization was clearly observed
in crosslinked BHJ cells compared to the non-crosslinked reference. We show for the first time that oxetane containing
polymers can be thermally crosslinked without any added initiator. Initiator free crosslinking is particularly attractive as
it avoids the formation of decomposition products, and thus potential electron traps and quenching sites from the
initiator.
Cheng Li, Yu Zhong, Carlos Andres Melo Luna, Thomas Unger, Konstantin Deichsel, Anna Gräser, Jürgen Köhler, Anna Köhler, Richard Hildner and Sven Huettner
Molecules 21 (2016) 1081 [DOI]
Inorganic-organic halide organometal perovskites have demonstrated very promising performance for opto-electronic applications, such as solar cells, light-emitting diodes, lasers, single-photon sources, etc. However, the little knowledge on the underlying photophysics, especially on a microscopic scale, hampers the further improvement of devices based on this material. In this communication, correlated conventional photoluminescence (PL) characterization and wide-field PL imaging as a function of time are employed to investigate the spatially- and temporally-resolved PL in CH3NH3PbI3−xClx perovskite films. Along with a continuous increase of the PL intensity during light soaking, we also observe PL blinking or PL intermittency behavior in individual grains of these films. Combined with significant suppression of PL blinking in perovskite films coated with a phenyl-C61-butyric acid methyl ester (PCBM) layer, it suggests that this PL intermittency is attributed to Auger recombination induced by photoionized defects/traps or mobile ions within grains. These defects/traps are detrimental for light conversion and can be effectively passivated by the PCBM layer. This finding paves the way to provide a guideline on the further improvement of perovskite opto-electronic devices. Inorganic-organic halide organometal perovskites have demonstrated very promising performance for opto-electronic applications, such as solar cells, light-emitting diodes, lasers, single-photon sources, etc. However, the little knowledge on the underlying photophysics, especially on a microscopic scale, hampers the further improvement of devices based on this material. In this communication, correlated conventional photoluminescence (PL) characterization and wide-field PL imaging as a function of time are employed to investigate the spatially- and temporally-resolved PL in CH3NH3PbI3−xClx perovskite films. Along with a continuous increase of the PL intensity during light soaking, we also observe PL blinking or PL intermittency behavior in individual grains of these films. Combined with significant suppression of PL blinking in perovskite films coated with a phenyl-C61-butyric acid methyl ester (PCBM) layer, it suggests that this PL intermittency is attributed to Auger recombination induced by photoionized defects/traps or mobile ions within grains. These defects/traps are detrimental for light conversion and can be effectively passivated by the PCBM layer. This finding paves the way to provide a guideline on the further improvement of perovskite opto-electronic devices.
Md. Mostafizur Rahman, Muhammad Younus, Masnun Naher, Mostafa Kamal Masud, Akihiro Nomoto, Akiya Ogawa, Alexander Rudnick, Anna Köhler
Journal of Organometallic Chemistry 818 (2016) 185-194
A series of organosulfur-functionalized trans-platinum(II) bis(alkenylarylalkynyl) complexes, having one
tolylthio moiety in each alkenyl backbone with general formula trans-[(PEt3)2Pt{C^C-Ar-CH]
CH(SC6H4eCH3)}2], (2ae2d), (where, Ar ¼ phenylene, biphenylene, 2,5-dimethylphenylene, and 2,5-
dimethoxyphenylene) were synthesized in good to excellent yields with good regioselectivity. As
compared to the absorption band of trans-platinum(II) bis(alkynylarylalkynyl) complexes, we found that
the position of the lowest energy absorption bands in the trans-platinum(II) bis(alkenylarylalkynyl)
complexes were red-shifted, after the functionalization of the trans-platinum(II) bis(alkynylarylalkynyl)
complexes with arylthiol. For all trans-platinum(II) complexes, the lowest energy absorption bands in the
UV/Vis spectra, in chloroform solution, at room temperature, were observed in the range 362e394 nm,
and under excitation at the wavelength of the absorption maximum exhibited the emission peak
maximum at room temperature in the range 401e426 nm. The newly synthesized complexes are not
exhibited phosphorescence at room temperature but are exhibited at low temperature, 77 K. All the new
platinum(II) complexes have been fully characterized by spectroscopic analysis as well as elemental
analysis, and the trans square-planar arrangement at the platinum centre has been confirmed by singlecrystal
X-ray diffraction study of complex 2aA series of organosulfur-functionalized trans-platinum(II) bis(alkenylarylalkynyl) complexes, having one
tolylthio moiety in each alkenyl backbone with general formula trans-[(PEt3)2Pt{C^C-Ar-CH]
CH(SC6H4eCH3)}2], (2ae2d), (where, Ar ¼ phenylene, biphenylene, 2,5-dimethylphenylene, and 2,5-
dimethoxyphenylene) were synthesized in good to excellent yields with good regioselectivity. As
compared to the absorption band of trans-platinum(II) bis(alkynylarylalkynyl) complexes, we found that
the position of the lowest energy absorption bands in the trans-platinum(II) bis(alkenylarylalkynyl)
complexes were red-shifted, after the functionalization of the trans-platinum(II) bis(alkynylarylalkynyl)
complexes with arylthiol. For all trans-platinum(II) complexes, the lowest energy absorption bands in the
UV/Vis spectra, in chloroform solution, at room temperature, were observed in the range 362e394 nm,
and under excitation at the wavelength of the absorption maximum exhibited the emission peak
maximum at room temperature in the range 401e426 nm. The newly synthesized complexes are not
exhibited phosphorescence at room temperature but are exhibited at low temperature, 77 K. All the new
platinum(II) complexes have been fully characterized by spectroscopic analysis as well as elemental
analysis, and the trans square-planar arrangement at the platinum centre has been confirmed by singlecrystal
X-ray diffraction study of complex 2a
Markus Reichenberger, Sebastian Baderschneider, Daniel Kroh, Steffen Grauf, Jürgen Köhler, Richard Hildner and Anna Köhler
Macromolecules 49 (2016) 6420-6430 [DOI]
We have investigated how the addition of 1,8-diiodooctane (DIO) alters the formation of disordered and ordered phases in a film of poly(3-hexyl-thiophene-2,5-diyl) (P3HT). By combining in situ time-resolved absorption spectroscopy with 60 ms time resolution, optical and transmission electron microscopy and spatially resolved photoluminescence spectroscopy, we show that, in addition to the excitonic coupling, the film formation process during spin-coating as well as the subsequent long-time film drying process differ significantly when DIO is added to a solution of P3HT. During spin-coating, the addition of DIO reduces the actual time for transformation from disordered to ordered phase, even though it increases the time until the disorder–order transition sets in. In place of a solidification front, we observe an all-over solidification throughout the entire film. The phase separation between nonaggregated and aggregated phase increases when using DIO, with compositional variation in the content of aggregated phase on a micrometer scale.We have investigated how the addition of 1,8-diiodooctane (DIO) alters the formation of disordered and ordered phases in a film of poly(3-hexyl-thiophene-2,5-diyl) (P3HT). By combining in situ time-resolved absorption spectroscopy with 60 ms time resolution, optical and transmission electron microscopy and spatially resolved photoluminescence spectroscopy, we show that, in addition to the excitonic coupling, the film formation process during spin-coating as well as the subsequent long-time film drying process differ significantly when DIO is added to a solution of P3HT. During spin-coating, the addition of DIO reduces the actual time for transformation from disordered to ordered phase, even though it increases the time until the disorder–order transition sets in. In place of a solidification front, we observe an all-over solidification throughout the entire film. The phase separation between nonaggregated and aggregated phase increases when using DIO, with compositional variation in the content of aggregated phase on a micrometer scale.
Understanding structure-function relationship in halide perovskites (Fabian Panzer)
Shivam Singh, Cheng Li, Fabian Panzer, K. L. Narasimhan, Anna Graeser, Tanaji P. Gujar, Anna Köhler, Mukundan Thelakkat, Sven Huettner and Dinesh Kabra
J. Phys. Chem. Lett. 7 (2016) 3014–3021 [DOI]
In this Letter, we investigate the temperature dependence of the optical properties of methylammonium lead iodide (MAPbI3 = CH3NH3PbI3) from room temperature to 6 K. In both the tetragonal (T > 163 K) and the orthorhombic (T < 163 K) phases of MAPbI3, the band gap (from both absorption and photoluminescence (PL) measurements) decreases with decrease in temperature, in contrast to what is normally seen for many inorganic semiconductors, such as Si, GaAs, GaN, etc. We show that in the perovskites reported here, the temperature coefficient of thermal expansion is large and accounts for the positive temperature coefficient of the band gap. A detailed analysis of the exciton line width allows us to distinguish between static and dynamic disorder. The low-energy tail of the exciton absorption is reminiscent of Urbach absorption. The Urbach energy is a measure of the disorder, which is modeled using thermal and static disorder for both the phases separately. The static disorder component, manifested in the exciton line width at low temperature, is small. Above 60 K, thermal disorder increases the line width. Both these features are a measure of the high crystal quality and low disorder of the perovskite films even though they are produced from solution.In this Letter, we investigate the temperature dependence of the optical properties of methylammonium lead iodide (MAPbI3 = CH3NH3PbI3) from room temperature to 6 K. In both the tetragonal (T > 163 K) and the orthorhombic (T < 163 K) phases of MAPbI3, the band gap (from both absorption and photoluminescence (PL) measurements) decreases with decrease in temperature, in contrast to what is normally seen for many inorganic semiconductors, such as Si, GaAs, GaN, etc. We show that in the perovskites reported here, the temperature coefficient of thermal expansion is large and accounts for the positive temperature coefficient of the band gap. A detailed analysis of the exciton line width allows us to distinguish between static and dynamic disorder. The low-energy tail of the exciton absorption is reminiscent of Urbach absorption. The Urbach energy is a measure of the disorder, which is modeled using thermal and static disorder for both the phases separately. The static disorder component, manifested in the exciton line width at low temperature, is small. Above 60 K, thermal disorder increases the line width. Both these features are a measure of the high crystal quality and low disorder of the perovskite films even though they are produced from solution.
Alexander A. Rudnick, Sergey Bagnich, Daniel Wagner, Stavros Athanasopoulos, Peter Strohriegl and Anna Köhler
J. Chem. Phys. 144 (2016) 214906 [DOI]
We present a combined detailed spectroscopic and quantum chemical study on the bipolar host materials BPTRZ and MBPTRZ in solution and in neat film. In the two compounds, the hole transporting carbazole is separated from the electron transporting triazine moiety by a fully aromatic but non-conjugated meta-linked biphenyl unit. The two materials differ by an additional steric twist at the biphenyl in MBPTRZ, which is achieved by methyl-substitution in 2- and 2′-position of the biphenyl. We find that while the twist shifts the triplet state in MBPTRZ to higher energies (3.0 eV in solution) compared to BPTRZ (2.8 eV in solution), this also localizes electron density on the carbazole moiety, leading to excimer formation in neat films.We present a combined detailed spectroscopic and quantum chemical study on the bipolar host materials BPTRZ and MBPTRZ in solution and in neat film. In the two compounds, the hole transporting carbazole is separated from the electron transporting triazine moiety by a fully aromatic but non-conjugated meta-linked biphenyl unit. The two materials differ by an additional steric twist at the biphenyl in MBPTRZ, which is achieved by methyl-substitution in 2- and 2′-position of the biphenyl. We find that while the twist shifts the triplet state in MBPTRZ to higher energies (3.0 eV in solution) compared to BPTRZ (2.8 eV in solution), this also localizes electron density on the carbazole moiety, leading to excimer formation in neat films.
Innovative processing strategies for halide perovskites (Fabian Panzer)
Fabian Panzer, Dominik Hanft, Tanaji P. Gujar, Frank-Julian Kahle, Mukundan Thelakkat , Anna Köhler and Ralf Moos
Materials 9 (2016) 9040277 [DOI]
We present the successful fabrication of CH3NH3PbI3 perovskite layers by the aerosol
deposition method (ADM). The layers show high structural purity and compactness, thus making
them suitable for application in perovskite-based optoelectronic devices. By using the aerosol
deposition method we are able to decouple material synthesis from layer processing. Our results
therefore allow for enhanced and easy control over the fabrication of perovskite-based devices, further
paving the way for their commercialization.We present the successful fabrication of CH3NH3PbI3 perovskite layers by the aerosol
deposition method (ADM). The layers show high structural purity and compactness, thus making
them suitable for application in perovskite-based optoelectronic devices. By using the aerosol
deposition method we are able to decouple material synthesis from layer processing. Our results
therefore allow for enhanced and easy control over the fabrication of perovskite-based devices, further
paving the way for their commercialization.
Understanding structure-function relationship in halide perovskites (Fabian Panzer)
Fabian Panzer, Sebastian Baderschneider, Tanaji P. Gujar, Thomas Unger, Sergey Bagnich, Marius Jakoby, Heinz Bässler, Sven Hüttner, Jürgen Köhler, Ralf Moos, Mukundan Thelakkat, Richard Hildner and Anna Köhler
Adv. Optical Mater. 6 (2016) 917-928 [DOI]
The photoluminescence in a lead halide perovskite is measured for different temperatures (5–300 K) and excitation fluences (21–1615 μJ cm−2). It is found that amplified spontaneous emission (ASE) is observed for an excitation density larger than about 1 × 1018 cm−3 for both the tetragonal phase above 163 K and the orthorhombic phase below about 163 K. The fluence that is required to obtain this excitation density depends on temperature and phase since the nonradiative decay of excitations is temperature activated with different activation energies of inline image and inline image for the tetragonal and orthorhombic phase, respectively. The ASE from the tetragonal phase—usually prevailing at temperatures above about 163 K—can also be observed at 5 K, in addition to the ASE from the orthorhombic phase, when the sample is previously exposed to a fluence exceeding 630 μJ cm−2 at a photon energy of 3.68 eV. This additional ASE can be removed by mild heating to 35 K or optically, by exposing the sample by typically a few seconds with a fluence around 630 μJ cm−2. The physical mechanism underlying this optically induced phase transition process is discussed. It is demonstrated that this phase change can, in principle, be used for an all-optical “write–read–erase” memory device.The photoluminescence in a lead halide perovskite is measured for different temperatures (5–300 K) and excitation fluences (21–1615 μJ cm−2). It is found that amplified spontaneous emission (ASE) is observed for an excitation density larger than about 1 × 1018 cm−3 for both the tetragonal phase above 163 K and the orthorhombic phase below about 163 K. The fluence that is required to obtain this excitation density depends on temperature and phase since the nonradiative decay of excitations is temperature activated with different activation energies of inline image and inline image for the tetragonal and orthorhombic phase, respectively. The ASE from the tetragonal phase—usually prevailing at temperatures above about 163 K—can also be observed at 5 K, in addition to the ASE from the orthorhombic phase, when the sample is previously exposed to a fluence exceeding 630 μJ cm−2 at a photon energy of 3.68 eV. This additional ASE can be removed by mild heating to 35 K or optically, by exposing the sample by typically a few seconds with a fluence around 630 μJ cm−2. The physical mechanism underlying this optically induced phase transition process is discussed. It is demonstrated that this phase change can, in principle, be used for an all-optical “write–read–erase” memory device.
Markus Reichenberger, John A. Love, Alexander Rudnick, Sergey Bagnich, Fabian Panzer, Anna Stradomska, Guillermo C. Bazan, Thuc-Quyen Nguyen and Anna Köhler
J. Chem. Phys. 144 (2016) 074904 [DOI]
Using optical spectroscopy in solution and thin film, and supported by quantum chemical calculations, we investigated the aggregation process of the donor-acceptor type molecule p − DTS(FBTTH2)2. We demonstrate that cooling a solution induces a disorder-order phase transition that proceeds in three stages analogous to the steps observed in semi-rigid conjugated polymers. By analyzing the spectra, we are able to identify the spectral signature of monomer and aggregate in absorption and emission. From this we find that in films, the fraction of aggregates is near 100% which is in contrast to films made from semi-rigid conjugated polymers.Using optical spectroscopy in solution and thin film, and supported by quantum chemical calculations, we investigated the aggregation process of the donor-acceptor type molecule p − DTS(FBTTH2)2. We demonstrate that cooling a solution induces a disorder-order phase transition that proceeds in three stages analogous to the steps observed in semi-rigid conjugated polymers. By analyzing the spectra, we are able to identify the spectral signature of monomer and aggregate in absorption and emission. From this we find that in films, the fraction of aggregates is near 100% which is in contrast to films made from semi-rigid conjugated polymers.
Cheng Li , Steffen Tscheuschner , Fabian Paulus , Paul E. Hopkinson , Johannes Kießling , Anna Köhler , Yana Vaynzof and Sven Huettner
Adv.Mater. (2016) [DOI]
The migration and accumulation of iodide ions create a modulation of the respective interfacial barriers causing the hysteresis in methylammonium lead iodide perovskite based solar cells. Iodide ions are identified as the migrating species by measuring temperature dependent current-transients and photoelectron spectroscopy. The involved changes in the built-in potential due to ion migration are directly measured by electroabsorption spectroscopy. The migration and accumulation of iodide ions create a modulation of the respective interfacial barriers causing the hysteresis in methylammonium lead iodide perovskite based solar cells. Iodide ions are identified as the migrating species by measuring temperature dependent current-transients and photoelectron spectroscopy. The involved changes in the built-in potential due to ion migration are directly measured by electroabsorption spectroscopy.
2015
Heinz Bässler and Anna Köhler
Phys. Chem. Chem. Phys. 17 (2015) 28451-28462 [DOI]
Electron transfer from an excited donor to an acceptor in an organic solar cell (OSC) is an exothermic
process, determined by the difference in the electronegativities of donor and acceptor. It has been
suggested that the associated excess energy facilitates the escape of the initially generated electron–
hole pair from their mutual coulomb well. Recent photocurrent excitation spectroscopy on conjugated
polymer/PCBM cells challenged this view. In this perspective we shall briefly outline the strengths and
weaknesses of relevant experimental approaches and concepts. We shall enforce the notion that the
charge separating state is a vibrationally cold charge transfer (CT) state. It can easily dissociate provided
that (i) there is electrostatic screening at the interface and (ii) the charge carriers are delocalized, e.g. if
the donor is a well ordered conjugated polymer. Both effects diminish the coulomb attraction and
assure that the in-built electric field existing in the OSC under short current condition is already
sufficient to separate most the CT states. The remaining CT excitations relax towards tail states of the
disorder controlled density of states distribution, such as excimer forming states, that are more tightly
bound and have longer lifetimes.Electron transfer from an excited donor to an acceptor in an organic solar cell (OSC) is an exothermic
process, determined by the difference in the electronegativities of donor and acceptor. It has been
suggested that the associated excess energy facilitates the escape of the initially generated electron–
hole pair from their mutual coulomb well. Recent photocurrent excitation spectroscopy on conjugated
polymer/PCBM cells challenged this view. In this perspective we shall briefly outline the strengths and
weaknesses of relevant experimental approaches and concepts. We shall enforce the notion that the
charge separating state is a vibrationally cold charge transfer (CT) state. It can easily dissociate provided
that (i) there is electrostatic screening at the interface and (ii) the charge carriers are delocalized, e.g. if
the donor is a well ordered conjugated polymer. Both effects diminish the coulomb attraction and
assure that the in-built electric field existing in the OSC under short current condition is already
sufficient to separate most the CT states. The remaining CT excitations relax towards tail states of the
disorder controlled density of states distribution, such as excimer forming states, that are more tightly
bound and have longer lifetimes.
T. Hahn, C. Saller, M. Weigl, I. Bauer, T. Unger, A. Köhler and P. Strohriegl
Phys. Status Solidi A 212 (2015) 2162-2168 [DOI]
We show that the performance of an organic solar cell can be increased by the introduction of an additional polymeric exciton blocking layer. In order to realize this, the novel polymer PFTPDAc with pendant acrylate groups is developed. Thin films are coated from a PFTPDAc solution and subsequently crosslinked by irradiation. Thereby, the film becomes completely insoluble and allows spincoating of a second polymer layer on top. We realize a three layer solar cell which contains a crosslinked PFTPDAc interlayer on top of the molybdenum oxide anode and layers of the low-bandgap polymer PCDTBT and C60. In comparison with a reference cell without the interlayer the EQE is significantly increased in the spectral region between 400 nm and 650 nm. From current-voltage measurements a power conversion efficiency of 1.8% is determined. PL measurements show that the increase of solar cell performance is attributed to exciton blocking by the PFTPDAc interlayer. We show that the performance of an organic solar cell can be increased by the introduction of an additional polymeric exciton blocking layer. In order to realize this, the novel polymer PFTPDAc with pendant acrylate groups is developed. Thin films are coated from a PFTPDAc solution and subsequently crosslinked by irradiation. Thereby, the film becomes completely insoluble and allows spincoating of a second polymer layer on top. We realize a three layer solar cell which contains a crosslinked PFTPDAc interlayer on top of the molybdenum oxide anode and layers of the low-bandgap polymer PCDTBT and C60. In comparison with a reference cell without the interlayer the EQE is significantly increased in the spectral region between 400 nm and 650 nm. From current-voltage measurements a power conversion efficiency of 1.8% is determined. PL measurements show that the increase of solar cell performance is attributed to exciton blocking by the PFTPDAc interlayer.
Christina Scharsich, Florian S. U. Fischer, Kevin Wilma, Richard Hildner, Sabine Ludwigs and Anna Köhler
J. Polym. Sci., Part B: Polym. Phys. 20 (2015) 1416-1430 [DOI]
The low-bandgap polymer poly{[4,4-bis(2-ethylhexyl)-cyclopenta-(2,1-b;3,4-b′)dithiophen]-2,6-diyl-alt-(2,1,3-benzo-thiadiazole)−4,7-diyl} (PCPDTBT) is widely used for organic solar cell applications. Here, we present a comprehensive study of the optical properties as a function of temperature for PCPDTBT in solution and in thin films with two distinct morphologies. Using absorption and photoluminescence spectroscopy as well as Franck-Condon analyses, we show that PCPDTBT in solution undergoes a phase transformation at 300 K from a disordered to a truly aggregated state on cooling. The saturation value of aggregates in solution is reached in PCPDTBT thin films at any temperature. In addition, we demonstrate that the photophysical properties of the aggregates in films are similar to those in solution and that a low percentage of thermally activated excimer states is present in the films at temperatures above 200 K.The low-bandgap polymer poly{[4,4-bis(2-ethylhexyl)-cyclopenta-(2,1-b;3,4-b′)dithiophen]-2,6-diyl-alt-(2,1,3-benzo-thiadiazole)−4,7-diyl} (PCPDTBT) is widely used for organic solar cell applications. Here, we present a comprehensive study of the optical properties as a function of temperature for PCPDTBT in solution and in thin films with two distinct morphologies. Using absorption and photoluminescence spectroscopy as well as Franck-Condon analyses, we show that PCPDTBT in solution undergoes a phase transformation at 300 K from a disordered to a truly aggregated state on cooling. The saturation value of aggregates in solution is reached in PCPDTBT thin films at any temperature. In addition, we demonstrate that the photophysical properties of the aggregates in films are similar to those in solution and that a low percentage of thermally activated excimer states is present in the films at temperatures above 200 K.
Steffen Tscheuschner , Heinz Bässler , Katja Huber and Anna Köhler
J. Phys. Chem. B, 119 (2015) 10359–10371 [DOI]
The observation that in efficient organic solar cells almost all electron–hole pairs generated at the donor–acceptor interface escape from their mutual coulomb potential remains to be a conceptual challenge. It has been argued that it is the excess energy dissipated in the course of electron or hole transfer at the interface that assists this escape process. The current work demonstrates that this concept is unnecessary to explain the field dependence of electron–hole dissociation. It is based upon the formalism developed by Arkhipov and co-workers as well as Baranovskii and co-workers. The key idea is that the binding energy of the dissociating “cold” charge-transfer state is reduced by delocalization of the hole along the polymer chain, quantified in terms of an “effective mass”, as well as the fractional strength of dipoles existent at the interface in the dark. By covering a broad parameter space, we determine the conditions for efficient electron–hole dissociation. Spectroscopy of the charge-transfer state on bilayer solar cells as well as measurements of the field dependence of the dissociation yield over a broad temperature range support the theoretical predictions.The observation that in efficient organic solar cells almost all electron–hole pairs generated at the donor–acceptor interface escape from their mutual coulomb potential remains to be a conceptual challenge. It has been argued that it is the excess energy dissipated in the course of electron or hole transfer at the interface that assists this escape process. The current work demonstrates that this concept is unnecessary to explain the field dependence of electron–hole dissociation. It is based upon the formalism developed by Arkhipov and co-workers as well as Baranovskii and co-workers. The key idea is that the binding energy of the dissociating “cold” charge-transfer state is reduced by delocalization of the hole along the polymer chain, quantified in terms of an “effective mass”, as well as the fractional strength of dipoles existent at the interface in the dark. By covering a broad parameter space, we determine the conditions for efficient electron–hole dissociation. Spectroscopy of the charge-transfer state on bilayer solar cells as well as measurements of the field dependence of the dissociation yield over a broad temperature range support the theoretical predictions.
Sergey A. Bagnich, Alexander Rudnick, Pamela Schroegel, Peter Strohriegl and Anna Köhler
Phil.Trans.R.Soc. A 373 (2015) 20140446 [DOI]
We present a spectroscopic investigation on the effect of changing the position where carbazole is attached to biphenyl in carbazolebiphenyl (CBP) on the triplet state energies and the propensity to excimer formation. For this, two CBP derivatives have been prepared with the carbazole moieties attached at the (para) 4- and 4′-positions (pCBP) and at the (meta) 3- and 3′-positions (mCBP) of the biphenyls. These compounds are compared to analogous mCDBP and pCDBP, i.e. two highly twisted carbazoledimethylbiphenyls, which have a high triplet energy at about 3.0 eV and tend to form triplet excimers in a neat film. This torsion in the structure is associated with localization of the excited state onto the carbazole moieties. We find that in mCBP and pCBP, excimer formation is prevented by localization of the triplet excited state onto the central moiety. As conjugation can continue from the central biphenyls into the nitrogen of the carbazole in the para-connected pCBP, emission involves mainly the benzidine. By contrast, the meta-linkage in mCBP limits conjugation to the central biphenyl. The associated shorter conjugation length is the reason for the higher triplet energy of 2.8 eV in mCBP compared with the 2.65 eV in pCBP.We present a spectroscopic investigation on the effect of changing the position where carbazole is attached to biphenyl in carbazolebiphenyl (CBP) on the triplet state energies and the propensity to excimer formation. For this, two CBP derivatives have been prepared with the carbazole moieties attached at the (para) 4- and 4′-positions (pCBP) and at the (meta) 3- and 3′-positions (mCBP) of the biphenyls. These compounds are compared to analogous mCDBP and pCDBP, i.e. two highly twisted carbazoledimethylbiphenyls, which have a high triplet energy at about 3.0 eV and tend to form triplet excimers in a neat film. This torsion in the structure is associated with localization of the excited state onto the carbazole moieties. We find that in mCBP and pCBP, excimer formation is prevented by localization of the triplet excited state onto the central moiety. As conjugation can continue from the central biphenyls into the nitrogen of the carbazole in the para-connected pCBP, emission involves mainly the benzidine. By contrast, the meta-linkage in mCBP limits conjugation to the central biphenyl. The associated shorter conjugation length is the reason for the higher triplet energy of 2.8 eV in mCBP compared with the 2.65 eV in pCBP.
Cristina Consani, Federico Koch, Fabian Panzer, Thomas Unger, Anna Köhler and Tobias Brixner
J. Chem. Phys. 142 (2015) 212429 [DOI]
Understanding the effects of aggregation on exciton relaxation and energy transfer is relevant to control photoinduced function in organic electronics and photovoltaics. Here, we explore the photoinduced dynamics in the low-temperature aggregated phase of a conjugated polymer by transient absorption and coherent electronic two-dimensional (2D) spectroscopy. Coherent 2D spectroscopy allows observing couplings among photoexcited states and discriminating band shifts from homogeneous broadening, additionally accessing the ultrafast dynamics at various excitation energies simultaneously with high spectral resolution. By combining the results of the two techniques, we differentiate between an initial exciton relaxation, which is not characterized by significant exciton mobility, and energy transport between different chromophores in the aggregate.Understanding the effects of aggregation on exciton relaxation and energy transfer is relevant to control photoinduced function in organic electronics and photovoltaics. Here, we explore the photoinduced dynamics in the low-temperature aggregated phase of a conjugated polymer by transient absorption and coherent electronic two-dimensional (2D) spectroscopy. Coherent 2D spectroscopy allows observing couplings among photoexcited states and discriminating band shifts from homogeneous broadening, additionally accessing the ultrafast dynamics at various excitation energies simultaneously with high spectral resolution. By combining the results of the two techniques, we differentiate between an initial exciton relaxation, which is not characterized by significant exciton mobility, and energy transport between different chromophores in the aggregate.
I. I. Fishchuk, A. Kadashchuk, A. Mityashin, M. M. Gavrilyuk, A. Köhler, H. Bässler, J. Genoe, H. Sitter and N. S. Sariciftci
Phys. Rev. 90 (2014) 245201 [DOI]
We have extended an effective medium approximation theory [Fishchuk, Kadashchuk, Genoe, Ullah, Sitter, Singh, Sariciftci, and Bässler, Phys. Rev. B 81, 045202 (2010)] to investigate how polaron formation affects the Meyer-Neldel (MN) compensation behavior observed for temperature-dependent charge-carrier transport in disordered organic semiconductors at large carrier concentrations, as realized in organic field-effect transistors (OFETs). We show that the compensation behavior in organic semiconductor thin films can be consistently described for both nonpolaronic and polaronic hopping transport in the framework of the disorder formalism using either Miller-Abrahams or polaron Marcus rates, respectively, provided that the polaron binding energy is small compared to the width of the density of states (DOS) distribution in the system. We argue that alternative models based on thermodynamic reasoning, like the multiexcitation entropy (MEE) model, which assumes charge transport dominated by polarons with multiphonon processes and ignores the energy disorder, are inherently not applicable to describe adequately the charge-carrier transport in disordered organic semiconductors. We have suggested and realized a test experiment based on measurements of the compensation behavior for the temperature-dependent conductivity and mobility in OFET devices to check the applicability of these models. We point out that the MN behavior observed in thin-film OFETs has nothing to do with the genuine MN rule predicted by the MEE approach, but rather it is an apparent effect arising as a consequence of the functional dependence of the partial filling of the DOS in a disordered system with hopping transport. This fact is fully supported by experimental results. The apparent MN energy was found to depend also on the shape of the DOS distribution and polaron binding energy.We have extended an effective medium approximation theory [Fishchuk, Kadashchuk, Genoe, Ullah, Sitter, Singh, Sariciftci, and Bässler, Phys. Rev. B 81, 045202 (2010)] to investigate how polaron formation affects the Meyer-Neldel (MN) compensation behavior observed for temperature-dependent charge-carrier transport in disordered organic semiconductors at large carrier concentrations, as realized in organic field-effect transistors (OFETs). We show that the compensation behavior in organic semiconductor thin films can be consistently described for both nonpolaronic and polaronic hopping transport in the framework of the disorder formalism using either Miller-Abrahams or polaron Marcus rates, respectively, provided that the polaron binding energy is small compared to the width of the density of states (DOS) distribution in the system. We argue that alternative models based on thermodynamic reasoning, like the multiexcitation entropy (MEE) model, which assumes charge transport dominated by polarons with multiphonon processes and ignores the energy disorder, are inherently not applicable to describe adequately the charge-carrier transport in disordered organic semiconductors. We have suggested and realized a test experiment based on measurements of the compensation behavior for the temperature-dependent conductivity and mobility in OFET devices to check the applicability of these models. We point out that the MN behavior observed in thin-film OFETs has nothing to do with the genuine MN rule predicted by the MEE approach, but rather it is an apparent effect arising as a consequence of the functional dependence of the partial filling of the DOS in a disordered system with hopping transport. This fact is fully supported by experimental results. The apparent MN energy was found to depend also on the shape of the DOS distribution and polaron binding energy.
Thomas Unger, Fabian Panzer, Cristina Consani, Federico Koch, Tobias Brixner, Heinz Bässler and Anna Köhler
ACS Macro Lett 4 (2015) 412-416 [DOI]
Upon cooling a solution of poly[2-methoxy-5-(2-ethylhexyloxy)-1,4-phenylenevinylene] (MEH-PPV), a phase transition occurs, leading to the formation of aggregates. We have studied the dynamics of singlet excitons in MEH-PPV solution below the critical temperature of the phase transition using steady-state photoluminescence measurements and pump–probe fs-spectroscopy at different temperatures. Spectral analysis indicates the coexistence of disordered chromophores with highly planarized chromophores. The high planarity is evidenced by a remarkably high 0–0/0–1 peak ratio in the spectra. By spectrally separating the contributions of either type of chromophore to the pump–probe signal we find that energy transfer takes place within less than 1 ps from disordered, unaggregated chain segments to highly planarized, aggregated chain segments. The short time scale of the energy transfer indicates intimate intermixing of the planarized and disordered polymeric chromophores.Upon cooling a solution of poly[2-methoxy-5-(2-ethylhexyloxy)-1,4-phenylenevinylene] (MEH-PPV), a phase transition occurs, leading to the formation of aggregates. We have studied the dynamics of singlet excitons in MEH-PPV solution below the critical temperature of the phase transition using steady-state photoluminescence measurements and pump–probe fs-spectroscopy at different temperatures. Spectral analysis indicates the coexistence of disordered chromophores with highly planarized chromophores. The high planarity is evidenced by a remarkably high 0–0/0–1 peak ratio in the spectra. By spectrally separating the contributions of either type of chromophore to the pump–probe signal we find that energy transfer takes place within less than 1 ps from disordered, unaggregated chain segments to highly planarized, aggregated chain segments. The short time scale of the energy transfer indicates intimate intermixing of the planarized and disordered polymeric chromophores.
Fabian Panzer, Michael Sommer, Heinz Bässler, Mukundan Thelakkat and Anna Köhler
Macromolecules 48 (2015) 1543–1553 [DOI]
In an endeavor to correlate the optoelectronic properties of π-conjugated polymers with their structural properties, we investigated the aggregation of P3HT in THF solution within a temperature range from 300 to 5 K. By detailed steady-state, site-selective, and time-resolved fluorescence spectroscopy combined with Franck–Condon analyses, we show that below a certain transition temperature (265 K) aggregates are formed that prevail in different polymorphs. At 5 K, we can spectroscopically identify two H-type aggregates with planar polymer backbones yet different degree of order regarding their side chains. Upon heating, the H-character of the aggregates becomes gradually eroded, until just below the transition temperature the prevailing “aggregate” structure is that of still phase-separated, yet disordered main and side chains. These conclusions are derived by analyzing the vibrational structure of the spectra and from comparing the solution spectra with those obtained from thin films that were cooled slowly from the melting temperature to room temperature and that had been analyzed previously by various X-ray techniques. In addition, site selectively recorded fluorescence spectra show that there is—dependent on temperature—energy transfer from higher energy to lower energy aggregates. This suggests that they must form clusters with dimensions of the exciton diffusion length, i.e., several nanometers in diameter.In an endeavor to correlate the optoelectronic properties of π-conjugated polymers with their structural properties, we investigated the aggregation of P3HT in THF solution within a temperature range from 300 to 5 K. By detailed steady-state, site-selective, and time-resolved fluorescence spectroscopy combined with Franck–Condon analyses, we show that below a certain transition temperature (265 K) aggregates are formed that prevail in different polymorphs. At 5 K, we can spectroscopically identify two H-type aggregates with planar polymer backbones yet different degree of order regarding their side chains. Upon heating, the H-character of the aggregates becomes gradually eroded, until just below the transition temperature the prevailing “aggregate” structure is that of still phase-separated, yet disordered main and side chains. These conclusions are derived by analyzing the vibrational structure of the spectra and from comparing the solution spectra with those obtained from thin films that were cooled slowly from the melting temperature to room temperature and that had been analyzed previously by various X-ray techniques. In addition, site selectively recorded fluorescence spectra show that there is—dependent on temperature—energy transfer from higher energy to lower energy aggregates. This suggests that they must form clusters with dimensions of the exciton diffusion length, i.e., several nanometers in diameter.
Sergey A. Bagnich, Stavros Athanasopoulos, Alexander Rudnick, Pamela Schroegel, Irene Bauer, Neil C. Greenham, Peter Strohriegl and Anna Köhler
J. Phys. Chem. C 119 (2015) 2380-2387 [DOI]
This paper presents a detailed spectroscopic investigation of luminescence properties of 4,4′-bis(N-carbazolyl)-1,1′-biphenyl (CBP) and N,N,N′,N′-tetraphenylbenzidine (TAD) in solutions and neat films. These compounds are compared to their derivatives CDBP and TDAD that contain methyl groups in the 2 and 2′ position of the biphenyl core. We find that whereas steric twisting in CDBP and TDAD leads to a high triplet energy of about 3.0 and 3.1 eV, respectively, these compounds also tend to form triplet excimers in a neat film, in contrast to CBP and TAD. By comparison with N-phenylcarbazole (NPC) and triphenylamine (TPA), on which these compounds are based, as well as with the rigid spiro analogues to CBP and TAD we show that the reduced excimer formation in CBP and TAD can be attributed to a localization of the excitation onto the central biphenyl part of the molecule.This paper presents a detailed spectroscopic investigation of luminescence properties of 4,4′-bis(N-carbazolyl)-1,1′-biphenyl (CBP) and N,N,N′,N′-tetraphenylbenzidine (TAD) in solutions and neat films. These compounds are compared to their derivatives CDBP and TDAD that contain methyl groups in the 2 and 2′ position of the biphenyl core. We find that whereas steric twisting in CDBP and TDAD leads to a high triplet energy of about 3.0 and 3.1 eV, respectively, these compounds also tend to form triplet excimers in a neat film, in contrast to CBP and TAD. By comparison with N-phenylcarbazole (NPC) and triphenylamine (TPA), on which these compounds are based, as well as with the rigid spiro analogues to CBP and TAD we show that the reduced excimer formation in CBP and TAD can be attributed to a localization of the excitation onto the central biphenyl part of the molecule.
Tobias Hahn, Johannes Geiger, Xavier Blase, Ivan Duchemin, Dorota Niedzialek, Steffen Tscheuschner, David Beljonne, Heinz Bässler and Anna Köhler
Advanced Functional Materials 8 (2015) 1287-1295 [DOI]
The field dependence of the photocurrent in a bilayer assembly is measured with the aim to clarify the role of excess photon energy in an organic solar cell comprising a polymeric donor and an acceptor. Upon optical excitation of the donor an electron is transferred to the acceptor forming a Coulomb-bound electron–hole pair. Since the subsequent escape is a field assisted process it follows that photogeneration saturates at higher electric fields, the saturation field being a measure of the separation of the electron–hole pair. Using the low bandgap polymers, PCDTBT and PCPDTBT, as donors and C60 as acceptor in a bilayer assembly it is found that the saturation field decreases when the photon energy is roughly 0.5 eV above the S1–S0 0–0 transition of the donor. This translates into an increase of the size of the electron-hole-pair up to about 13 nm which is close to the Coulomb capture radius. This increase correlates with the onset of higher electronic states that have a highly delocalized character, as confirmed by quantum-chemical calculations. This demonstrates that accessing higher electronic states does favor photogeneration yet excess vibrational energy plays no role. Experiments on intrinsic photogeneration in donor photodiodes without acceptors support this reasoning.The field dependence of the photocurrent in a bilayer assembly is measured with the aim to clarify the role of excess photon energy in an organic solar cell comprising a polymeric donor and an acceptor. Upon optical excitation of the donor an electron is transferred to the acceptor forming a Coulomb-bound electron–hole pair. Since the subsequent escape is a field assisted process it follows that photogeneration saturates at higher electric fields, the saturation field being a measure of the separation of the electron–hole pair. Using the low bandgap polymers, PCDTBT and PCPDTBT, as donors and C60 as acceptor in a bilayer assembly it is found that the saturation field decreases when the photon energy is roughly 0.5 eV above the S1–S0 0–0 transition of the donor. This translates into an increase of the size of the electron-hole-pair up to about 13 nm which is close to the Coulomb capture radius. This increase correlates with the onset of higher electronic states that have a highly delocalized character, as confirmed by quantum-chemical calculations. This demonstrates that accessing higher electronic states does favor photogeneration yet excess vibrational energy plays no role. Experiments on intrinsic photogeneration in donor photodiodes without acceptors support this reasoning.
2014
Christian Schwarz, Felix Milan, Tobias Hahn, Markus Reichenberger, Stephan Kümmel and Anna Köhler
Advanced Functional Materials 41 (2014) 6439–6448 [DOI]
Charge separation at the donor–acceptor interface is a key step for high efficiency in organic solar cells. If interfacial hybrid states exist already in the dark it is plausible that they can have a major impact on the dissociation of optically generated excitations. In this work we probe such interfacial states via steady state absorption spectroscopy. A substantial bleaching of the absorption spectrum is found near the absorption edge when an electron-accepting layer of either trinitrofluorenone (TNF), C60, or a perylene-diimide derivative is deposited on top of a layer of electron-donating conjugated polymers, such as MEH-PPV or various poly-phenylene. This is in part attributed to the formation of ground state complexes with low oscillator strength. The experiments bear out a correlation between the reduction of the absorbance with the energy gap between the donor-HOMO and acceptor-LUMO, the effective conjugation length of the donor, and the efficiency of exciton dissociation in the solar cell. The effect originates from mixing of the donor-HOMO and the acceptor LUMO. Calculations using density functional theory support this reasoning. Implications for efficiency of organic solar cells will be discussed.Charge separation at the donor–acceptor interface is a key step for high efficiency in organic solar cells. If interfacial hybrid states exist already in the dark it is plausible that they can have a major impact on the dissociation of optically generated excitations. In this work we probe such interfacial states via steady state absorption spectroscopy. A substantial bleaching of the absorption spectrum is found near the absorption edge when an electron-accepting layer of either trinitrofluorenone (TNF), C60, or a perylene-diimide derivative is deposited on top of a layer of electron-donating conjugated polymers, such as MEH-PPV or various poly-phenylene. This is in part attributed to the formation of ground state complexes with low oscillator strength. The experiments bear out a correlation between the reduction of the absorbance with the energy gap between the donor-HOMO and acceptor-LUMO, the effective conjugation length of the donor, and the efficiency of exciton dissociation in the solar cell. The effect originates from mixing of the donor-HOMO and the acceptor LUMO. Calculations using density functional theory support this reasoning. Implications for efficiency of organic solar cells will be discussed.
I. I. Fishchuk, A. Kadashchuk, S. T. Hoffmann, S. Athanasopoulos, J. Genoe, H. Bässler and A. Köhler
AIP Conf. Proc. 47 (2014) 47-52 [DOI]
We developed an analytical model to describe hopping conductivity and mobility in organic semiconductors including both energetic disorder and polaronic contributions. The model is based on the Marcus jump rates with a Gaussian energetic disorder, and it is premised upon a generalized Effective Medium approach yet avoids shortcoming involved in the effective transport energy or percolation concepts. The carrier concentration dependence becomes considerably weaker when the polaron energy increases relative to the disorder energy, indicating the absence of universality that is at variance with recent publications.We developed an analytical model to describe hopping conductivity and mobility in organic semiconductors including both energetic disorder and polaronic contributions. The model is based on the Marcus jump rates with a Gaussian energetic disorder, and it is premised upon a generalized Effective Medium approach yet avoids shortcoming involved in the effective transport energy or percolation concepts. The carrier concentration dependence becomes considerably weaker when the polaron energy increases relative to the disorder energy, indicating the absence of universality that is at variance with recent publications.
Fabian Panzer, Heinz Bässler, Ruth Lohwasser, Mukundan Thelakkat and Anna Köhler
J. Phys. Chem. Lett. 5 (2014) 2742−2747 [DOI]
Conjugated poly(3-hexylthiophene) (P3HT) chains are known to exist at least
in two distinct conformations: a coiled phase and a better ordered aggregated phase.
Employing steady state absorption and fluorescence spectroscopy, we measure the course of
aggregation of P3HT in tetrahydrofuran (THF) solution within a temperature range of 300 K
to 170 K. We show that aggregation is a temperature controlled process, driven by a
thermodynamic order−disorder transition. The transition temperature increases with the
molecular weight of the chains and can be rationalized in the theory of Sanchez. This implies
a smearing out of the phase transition in samples with increasing polydispersity and erodes
the signature of a first order phase transition. The detection of a hysteresis when undergoing
cooling/heating cycles further substantiates this reasoning.Conjugated poly(3-hexylthiophene) (P3HT) chains are known to exist at least
in two distinct conformations: a coiled phase and a better ordered aggregated phase.
Employing steady state absorption and fluorescence spectroscopy, we measure the course of
aggregation of P3HT in tetrahydrofuran (THF) solution within a temperature range of 300 K
to 170 K. We show that aggregation is a temperature controlled process, driven by a
thermodynamic order−disorder transition. The transition temperature increases with the
molecular weight of the chains and can be rationalized in the theory of Sanchez. This implies
a smearing out of the phase transition in samples with increasing polydispersity and erodes
the signature of a first order phase transition. The detection of a hysteresis when undergoing
cooling/heating cycles further substantiates this reasoning.
Florian Fischer , Tobias Hahn , Heinz Bässler , Irene Bauer , Peter Strohriegl and Anna Köhler
Adv. Funct. Mater. 39 (2014) 6172-6177 [DOI]
The diffusion of fullerenes such as C 60 and PCBM in organic semiconductors
is a key factor in controlling the effi ciency of organic solar cells, though
it is challenging to measure and to control. A simple optical method based
on photoluminescence quenching is developed to assess the diffusion of
a quencher molecule such as C 60 through a semiconducting polymer fi lm,
in this case made with the polymer polyfl uorene. When the mobility of the
polymer chains is reduced by chemical crosslinking, the diffusion coeffi cient
of C 60 can be reduced by up to three orders of magnitude.The diffusion of fullerenes such as C 60 and PCBM in organic semiconductors
is a key factor in controlling the effi ciency of organic solar cells, though
it is challenging to measure and to control. A simple optical method based
on photoluminescence quenching is developed to assess the diffusion of
a quencher molecule such as C 60 through a semiconducting polymer fi lm,
in this case made with the polymer polyfl uorene. When the mobility of the
polymer chains is reduced by chemical crosslinking, the diffusion coeffi cient
of C 60 can be reduced by up to three orders of magnitude.
Katharina Neumann, Christian Schwarz, Anna Köhler and Mukundan Thelakkat
J. Phys. Chem. C 118 ( 2014) 27–36 [DOI]
We synthesize a polytriphenylamine homopolymer and two donor–acceptor copolymers (D–A-copolymers) based on triphenylamine (TPA) as donor in combination with two different acceptor moieties to study the effect of the acceptor unit on the excited-state charge-transfer characteristics (CT-characteristics) and charge separation. The two acceptor moieties are a dicyanovinyl group in the side chain and a thieno[3,4-b]thiophene carboxylate in the main chain. Absorption and photoluminescence studies show new CT-bands for both of the D–A-copolymers. Field-dependent charge extraction studies in bilayer solar cells indicate a stronger CT-character for the copolymer in which the acceptor group is less conjugated with the copolymer backbone. The D–A-copolymer carrying the acceptor unit in the main chain exhibits smaller excitonic CT-character and good conjugation leading to less-bound electron–hole pairs and a better charge separation. This fundamental study gives insight into the interdependence of conjugation, charge carrier mobility, and solar cell performance for two different D–A-copolymers.We synthesize a polytriphenylamine homopolymer and two donor–acceptor copolymers (D–A-copolymers) based on triphenylamine (TPA) as donor in combination with two different acceptor moieties to study the effect of the acceptor unit on the excited-state charge-transfer characteristics (CT-characteristics) and charge separation. The two acceptor moieties are a dicyanovinyl group in the side chain and a thieno[3,4-b]thiophene carboxylate in the main chain. Absorption and photoluminescence studies show new CT-bands for both of the D–A-copolymers. Field-dependent charge extraction studies in bilayer solar cells indicate a stronger CT-character for the copolymer in which the acceptor group is less conjugated with the copolymer backbone. The D–A-copolymer carrying the acceptor unit in the main chain exhibits smaller excitonic CT-character and good conjugation leading to less-bound electron–hole pairs and a better charge separation. This fundamental study gives insight into the interdependence of conjugation, charge carrier mobility, and solar cell performance for two different D–A-copolymers.
2013
Jun Ling , Zhicheng Zheng , Anna Köhler , Axel H. E. Müller
Macromol. Rapid Commun. 35 (2014) 52-55 [DOI]
Imitating the natural “energy cascade” architecture, we present a single-molecular rod-like nano-light harvester (NLH) based on a cylindrical polymer brush. Block copolymer side chains carrying (9,9-diethylfl uoren-2-yl)methyl methacrylate units as light absorbing antennae (energy donors) are tethered to a linear polymer backbone containing 9-anthracenemethyl methacrylate units as emitting groups (energy acceptors). These NLHs exhibit very effi cient energy absorption and transfer. Moreover, we manipulate the energy transfer by tuning the donor–acceptor distance.Imitating the natural “energy cascade” architecture, we present a single-molecular rod-like nano-light harvester (NLH) based on a cylindrical polymer brush. Block copolymer side chains carrying (9,9-diethylfl uoren-2-yl)methyl methacrylate units as light absorbing antennae (energy donors) are tethered to a linear polymer backbone containing 9-anthracenemethyl methacrylate units as emitting groups (energy acceptors). These NLHs exhibit very effi cient energy absorption and transfer. Moreover, we manipulate the energy transfer by tuning the donor–acceptor distance.
Peter Strohriegl, Daniel Wagner, Pamela Schrögel, Sebastian T. Hoffmann, Anna Köhler, Ute Heinemeyer, Ingo Münster
Proc. of SPIE 8829 (2013) 882906 [DOI]
We present two classes of host materials for blue phosphors. The first are carbazole substituted biphenyls 1-9. In these CBP-type materials the triplets are confined to one half of the molecules by using either twisted biphenyls or by a metalinkage of the carbazoles to the biphenyl. We obtained high triplet energies of 2.95-2.98 eV and high glass transition temperatures in the range of 100-120 °C. OLEDs were fabricated using the host material 6 and the carbene emitter Ir(dbfmi) with pure blue emission at 450 nm. The devices achieved an external quantum efficiency of 8.7% at 100 cd/m2 and 6.1% at 1000 cd/m2. MBPTRZ with an electron transporting biscarbazolyltriazine that is separated from the hole transporting carbazole by a non-conjugated, meta-linked biphenyl unit is an example for a bipolar matrix material. The excellent glass forming properties and the high Tg of 132 °C ensure morphological stability in OLEDs. The meta-linkage and the additional twist at the biphenyl unit, which is achieved by two methyl groups in the 2- and 2’-position of the biphenyl in MBPTRZ leads to a decoupling of the electron accepting and electron donating part and therefore to a high triplet energy of 2.81 eV. DFT calculations show a clear separation of the electron and hole transporting moieties. A phosphorescent OLED with MBPTRZ as host and FIrpic as emitter reached a maximum external quantum efficiency of 7.0%, a current efficiency of 16.3 cd/A and a power efficiency of 6.3 lm/W.We present two classes of host materials for blue phosphors. The first are carbazole substituted biphenyls 1-9. In these CBP-type materials the triplets are confined to one half of the molecules by using either twisted biphenyls or by a metalinkage of the carbazoles to the biphenyl. We obtained high triplet energies of 2.95-2.98 eV and high glass transition temperatures in the range of 100-120 °C. OLEDs were fabricated using the host material 6 and the carbene emitter Ir(dbfmi) with pure blue emission at 450 nm. The devices achieved an external quantum efficiency of 8.7% at 100 cd/m2 and 6.1% at 1000 cd/m2. MBPTRZ with an electron transporting biscarbazolyltriazine that is separated from the hole transporting carbazole by a non-conjugated, meta-linked biphenyl unit is an example for a bipolar matrix material. The excellent glass forming properties and the high Tg of 132 °C ensure morphological stability in OLEDs. The meta-linkage and the additional twist at the biphenyl unit, which is achieved by two methyl groups in the 2- and 2’-position of the biphenyl in MBPTRZ leads to a decoupling of the electron accepting and electron donating part and therefore to a high triplet energy of 2.81 eV. DFT calculations show a clear separation of the electron and hole transporting moieties. A phosphorescent OLED with MBPTRZ as host and FIrpic as emitter reached a maximum external quantum efficiency of 7.0%, a current efficiency of 16.3 cd/A and a power efficiency of 6.3 lm/W.
Daniel Wagner, Sebastian T. Hoffmann, Ute Heinemeyer, Ingo Münster, Anna Köhler and Peter Strohriegl
Chem. Mater.,25 (2013) 3758–3765 [DOI]
Two novel bipolar host materials BPTRZ and MBPTRZ were synthesized, in which the hole transporting carbazole is separated from the electron transporting triazine moiety by a fully aromatic, but nonconjugated meta-linked biphenyl unit. The additional twist at the biphenyl in MBPTRZ, which is achieved by methyl-substitution in 2- and 2 ′ -position of the biphenyl leads to a higher triplet energy of 2.81 eV compared to 2.70 eV for BPTRZ. Both materials possess high thermal stabilities and good glass forming properties. An organic light emitting diode with MBPTRZ as host for the blue phosphorescence emitter FIrpic shows a maximum luminance of 30600 cd/m 2 and a maximum external quantum e ffi ciency of 7.0%.Two novel bipolar host materials BPTRZ and MBPTRZ were synthesized, in which the hole transporting carbazole is separated from the electron transporting triazine moiety by a fully aromatic, but nonconjugated meta-linked biphenyl unit. The additional twist at the biphenyl in MBPTRZ, which is achieved by methyl-substitution in 2- and 2 ′ -position of the biphenyl leads to a higher triplet energy of 2.81 eV compared to 2.70 eV for BPTRZ. Both materials possess high thermal stabilities and good glass forming properties. An organic light emitting diode with MBPTRZ as host for the blue phosphorescence emitter FIrpic shows a maximum luminance of 30600 cd/m 2 and a maximum external quantum e ffi ciency of 7.0%.
Hajime Yamagata, Nicholas J. Hestand, Frank C. Spano, Anna Köhler, Christina Scharsich, Sebastian T. Hoffmann and Heinz Bässler
J. Chem. Phys. 139,(2013) 114903 [DOI]
The ratio of the 0-0 to 0-1 peak intensities in the photoluminescence (PL) spectrum of red-phase poly[2-methoxy-5-(2-ethylhexyloxy)-1,4-phenylenevinylene], better known as MEH-PPV, is significantly enhanced relative to the disordered blue-phase and is practically temperature independent in the range from T = 5 K to 180 K. The PL lifetime is similarly temperature independent. The measured trends are accounted for by modeling red-phase MEH-PPV as disordered π-stacks of elongated chains. Using the HJ-aggregate Hamiltonian expanded to include site disorder amongst electrons and holes, the absorption and PL spectra of cofacial MEH-PPV dimers are calculated. The PL 0-0/0-1 line strength ratio directly responds to the competition between intrachain interactions which promote J-aggregate-like behavior (enhanced PL ratio) and interchain interactions which promote H-aggregate-like behavior (attenuated PL ratio). In MEH-PPV aggregates, J-like behavior is favored by a relatively large intrachain exciton bandwidth – roughly an order of magnitude greater than the interchain bandwidth – and the presence of disorder. The latter is essential for allowing 0-0 emission at low temperatures, which is otherwise symmetry forbidden. For Gaussian disorder distributions consistent with the measured (inhomogeneous) line widths of the vibronic peaks in the absorption spectrum, calculations show that the 0-0 peak maintains its dominance over the 0-1 peak, with the PL ratio and radiative lifetime practically independent of temperature, in excellent agreement with experiment. Interestingly, interchain interactions lead only to about a 30% drop in the PL ratio, suggesting that the MEH-PPV π-stacks – and strongly disordered HJ-aggregates in general – can masquerade as single (elongated) chains. Our results may have important applications to other emissive conjugated polymers such as the β-phase of polyfluorenes.The ratio of the 0-0 to 0-1 peak intensities in the photoluminescence (PL) spectrum of red-phase poly[2-methoxy-5-(2-ethylhexyloxy)-1,4-phenylenevinylene], better known as MEH-PPV, is significantly enhanced relative to the disordered blue-phase and is practically temperature independent in the range from T = 5 K to 180 K. The PL lifetime is similarly temperature independent. The measured trends are accounted for by modeling red-phase MEH-PPV as disordered π-stacks of elongated chains. Using the HJ-aggregate Hamiltonian expanded to include site disorder amongst electrons and holes, the absorption and PL spectra of cofacial MEH-PPV dimers are calculated. The PL 0-0/0-1 line strength ratio directly responds to the competition between intrachain interactions which promote J-aggregate-like behavior (enhanced PL ratio) and interchain interactions which promote H-aggregate-like behavior (attenuated PL ratio). In MEH-PPV aggregates, J-like behavior is favored by a relatively large intrachain exciton bandwidth – roughly an order of magnitude greater than the interchain bandwidth – and the presence of disorder. The latter is essential for allowing 0-0 emission at low temperatures, which is otherwise symmetry forbidden. For Gaussian disorder distributions consistent with the measured (inhomogeneous) line widths of the vibronic peaks in the absorption spectrum, calculations show that the 0-0 peak maintains its dominance over the 0-1 peak, with the PL ratio and radiative lifetime practically independent of temperature, in excellent agreement with experiment. Interestingly, interchain interactions lead only to about a 30% drop in the PL ratio, suggesting that the MEH-PPV π-stacks – and strongly disordered HJ-aggregates in general – can masquerade as single (elongated) chains. Our results may have important applications to other emissive conjugated polymers such as the β-phase of polyfluorenes.
I. I. Fishchuk, A. Kadashchuk, S. T. Hoffmann, S. Athanasopoulos, J. Genoe, H. Bässler and A. Köhler
Physical Review B 88,(2013) 125202 [DOI]
We developed an analytical model to describe hopping transport in organic semiconductors including both
energetic disorder and polaronic contributions due to geometric relaxation. The model is based on a Marcus
jump rate in terms of the small-polaron concept with a Gaussian energetic disorder, and it is premised upon
a generalized effective medium approach yet avoids shortcomings involved in the effective transport energy
or percolation concepts. It is superior to our previous treatment [Phys. Rev. B 76, 045210 (2007)] since it is
applicable at arbitrary polaron activation energy Ea with respect to the energy disorder parameter σ. It can be
adapted to describe both charge-carrier mobility and triplet exciton diffusion. The model is compared with results
fromMonte Carlo simulations.We show (i) that the activation energy of the thermally activated hopping transport
can be decoupled into disorder and polaron contributions whose relative weight depend nonlinearly on the σ/Ea
ratio, and (ii) that the choice of the density of occupied and empty states considered in configurational averaging
has a profound effect on the results of calculations of theMarcus hopping transport. The σ/Ea ratio governs also
the carrier-concentration dependence of the charge-carrier mobility in the large-carrier-concentration transport
regime as realized in organic field-effect transistors. The carrier-concentration dependence becomes considerably
weaker when the polaron energy increases relative to the disorder energy, indicating the absence of universality.
This model bridges a gap between disorder and polaron hopping concepts.We developed an analytical model to describe hopping transport in organic semiconductors including both
energetic disorder and polaronic contributions due to geometric relaxation. The model is based on a Marcus
jump rate in terms of the small-polaron concept with a Gaussian energetic disorder, and it is premised upon
a generalized effective medium approach yet avoids shortcomings involved in the effective transport energy
or percolation concepts. It is superior to our previous treatment [Phys. Rev. B 76, 045210 (2007)] since it is
applicable at arbitrary polaron activation energy Ea with respect to the energy disorder parameter σ. It can be
adapted to describe both charge-carrier mobility and triplet exciton diffusion. The model is compared with results
fromMonte Carlo simulations.We show (i) that the activation energy of the thermally activated hopping transport
can be decoupled into disorder and polaron contributions whose relative weight depend nonlinearly on the σ/Ea
ratio, and (ii) that the choice of the density of occupied and empty states considered in configurational averaging
has a profound effect on the results of calculations of theMarcus hopping transport. The σ/Ea ratio governs also
the carrier-concentration dependence of the charge-carrier mobility in the large-carrier-concentration transport
regime as realized in organic field-effect transistors. The carrier-concentration dependence becomes considerably
weaker when the polaron energy increases relative to the disorder energy, indicating the absence of universality.
This model bridges a gap between disorder and polaron hopping concepts.
Andreas T. Haedler, Holger Misslitz, Christian Buehlmeyer, Rodrigo Q. Albuquerque, Anna Köhler and Hans-Werner Schmidt
ChemPhysChem,14, (2013) 1818 – 1829 [DOI]
The performance of opto-electronic devices built from low-molecular-weight dye molecules depends crucially on the stacking properties and the resulting coupling of the chromophoric systems. Herein we investigate the influence of H-bonding amide and bulky substituents on the π-stacking of pyrene-containing small molecules in dilute solution, as supramolecular aggregates, and in the solid state. A set of four pyrene derivatives was synthesized in which benzene or 4-tert-butyl benzene was linked to the pyrene unit either through an ester or an amide. All four molecules form supramolecular H-aggregates in THF solution at concentrations above 1×10−4 mol/l. These aggregates were transferred on a solid support and crystallized. We investigate: the excimer formation rates within supramolecular aggregates; the formation of H-bonds as well as the optical changes during the transition from the amorphous to the crystalline state; and the excimer to monomer fluorescence ratio in crystalline films at low temperatures. We reveal that in solution supramolecular aggregation depends predominantly on the pyrene chromophores. In the crystalline state, however, the pyrene stacking can be controlled gradually by H-bonding and steric effects. These results are further confirmed by molecular modeling. This work bears fundamental information for tailoring the solid state of functional optoelectronic materials.The performance of opto-electronic devices built from low-molecular-weight dye molecules depends crucially on the stacking properties and the resulting coupling of the chromophoric systems. Herein we investigate the influence of H-bonding amide and bulky substituents on the π-stacking of pyrene-containing small molecules in dilute solution, as supramolecular aggregates, and in the solid state. A set of four pyrene derivatives was synthesized in which benzene or 4-tert-butyl benzene was linked to the pyrene unit either through an ester or an amide. All four molecules form supramolecular H-aggregates in THF solution at concentrations above 1×10−4 mol/l. These aggregates were transferred on a solid support and crystallized. We investigate: the excimer formation rates within supramolecular aggregates; the formation of H-bonds as well as the optical changes during the transition from the amorphous to the crystalline state; and the excimer to monomer fluorescence ratio in crystalline films at low temperatures. We reveal that in solution supramolecular aggregation depends predominantly on the pyrene chromophores. In the crystalline state, however, the pyrene stacking can be controlled gradually by H-bonding and steric effects. These results are further confirmed by molecular modeling. This work bears fundamental information for tailoring the solid state of functional optoelectronic materials.
Stavros Athanasopoulos , Sebastian T. Hoffmann , Heinz Bässler , Anna Köhler and David Beljonne
J. Phys. Chem. Lett., 4 , (2013) 1694–1700 [DOI]
In disordered organic semiconductors, excited states and charges move by hopping in an inhomogeneously broadened density of states, thereby relaxing energetically (“spectral diffusion”). At low temperatures, transport can become kinetically frustrated and consequently dispersive. Experimentally, this is observed predominantly for triplet excitations and charges, and has not been reported for singlet excitations. We have addressed the origin of this phenomenon by simulating the temperature dependent spectral diffusion using a lattice Monte Carlo approach with either Miller–Abrahams or Förster type transfer rates. Our simulations are in agreement with recent fluorescence and phosphorescence experimental results. We show that frustrated and thus dispersive diffusion appears when the number of available hopping sites is limited. This is frequently the case for triplets that transfer by a short-range interaction, yet may also occur for singlets in restricted geometries or dilute systems. Frustration is lifted when more hopping sites become available, e.g., for triplets as a result of an increased conjugation in some amorphous polymer films.In disordered organic semiconductors, excited states and charges move by hopping in an inhomogeneously broadened density of states, thereby relaxing energetically (“spectral diffusion”). At low temperatures, transport can become kinetically frustrated and consequently dispersive. Experimentally, this is observed predominantly for triplet excitations and charges, and has not been reported for singlet excitations. We have addressed the origin of this phenomenon by simulating the temperature dependent spectral diffusion using a lattice Monte Carlo approach with either Miller–Abrahams or Förster type transfer rates. Our simulations are in agreement with recent fluorescence and phosphorescence experimental results. We show that frustrated and thus dispersive diffusion appears when the number of available hopping sites is limited. This is frequently the case for triplets that transfer by a short-range interaction, yet may also occur for singlets in restricted geometries or dilute systems. Frustration is lifted when more hopping sites become available, e.g., for triplets as a result of an increased conjugation in some amorphous polymer films.
Christian Schwarz, Steffen Tscheuschner, Johannes Frisch, Stefanie Winkler, Norbert Koch, Heinz Bässler and Anna Köhler
Phys. Rev. B 87 (2013) 155205 [DOI]
Efficient exciton dissociation at a donor-acceptor interface is the crucial, yet not fully understood, step for obtaining high efficiency organic solar cells. Recent theoretical work suggested an influence of polymer conjugation length and of interfacial dipoles on the exciton dissociation yield. This necessitates experimental verification. To this end, we measured the dissociation yield of several polymer/C60 planar heterojunction solar cells up to high electric fields. The results indeed prove that the yield of exciton dissociation depends strongly on the conjugation length of the polymers. Complementary photoemission experiments were carried out to assess the importance of dipoles at the donor-acceptor interfaces. Comparison of exciton dissociation models with experimental data shows that the widely used Onsager-Braun approach is unsuitable to explain photodissociation in polymer/C60 cells. Better agreement can be obtained using “effective mass” models that incorporate conjugation length effects by considering a reduced effective mass of the hole on the polymer and that include dielectric screening effects by interfacial dipoles. However, successful modeling of the photocurrent field dependence over a broad field range, in particular for less efficient solar cell compounds, requires that the dissociation at localized acceptor sites is also taken into account.Efficient exciton dissociation at a donor-acceptor interface is the crucial, yet not fully understood, step for obtaining high efficiency organic solar cells. Recent theoretical work suggested an influence of polymer conjugation length and of interfacial dipoles on the exciton dissociation yield. This necessitates experimental verification. To this end, we measured the dissociation yield of several polymer/C60 planar heterojunction solar cells up to high electric fields. The results indeed prove that the yield of exciton dissociation depends strongly on the conjugation length of the polymers. Complementary photoemission experiments were carried out to assess the importance of dipoles at the donor-acceptor interfaces. Comparison of exciton dissociation models with experimental data shows that the widely used Onsager-Braun approach is unsuitable to explain photodissociation in polymer/C60 cells. Better agreement can be obtained using “effective mass” models that incorporate conjugation length effects by considering a reduced effective mass of the hole on the polymer and that include dielectric screening effects by interfacial dipoles. However, successful modeling of the photocurrent field dependence over a broad field range, in particular for less efficient solar cell compounds, requires that the dissociation at localized acceptor sites is also taken into account.
Sebastian T. Hoffmann, Frank Jaiser, Anna Hayer, Heinz Bässler, Thomas Unger, Stavros Athanasopoulos, Dieter Neher and Anna Köhler
J. Am. Chem. Soc.135 (2013) 1772-1782 [DOI]
In order to unravel the intricate interplay between disorder effects, molecular reorganization, and charge carrier localization, a comprehensive study was conducted on hole transport in a series of conjugated alternating phenanthrene indenofluorene copolymers. Each polymer in the series contained one further comonomer comprising monoamines, diamines, or amine-free structures, whose influence on the electronic, optical, and charge transport properties was studied. The series covered a wide range of highest occupied molecular orbital (HOMO) energies as determined by cyclovoltammetry. The mobility, inferred from time-of-flight (ToF) experiments as a function of temperature and electric field, was found to depend exponentially on the HOMO energy. Since possible origins for this effect include energetic disorder, polaronic effects, and wave function localization, the relevant parameters were determined using a range of methods. Disorder and molecular reorganization were established first by an analysis of absorption and emission measurements and second by an analysis of the ToF measurements. In addition, density functional theory calculations were carried out to determine how localized or delocalized holes on a polymer chain are and to compare calculated reorganization energies with those that have been inferred from optical spectra. In summary, we conclude that molecular reorganization has little effect on the hole mobility in this system while both disorder effects and hole localization in systems with low-lying HOMOs are predominant. In particular, as the energetic disorder is comparable for the copolymers, the absolute value of the hole mobility at room temperature is determined by the hole localization associated with the triarylamine moieties.In order to unravel the intricate interplay between disorder effects, molecular reorganization, and charge carrier localization, a comprehensive study was conducted on hole transport in a series of conjugated alternating phenanthrene indenofluorene copolymers. Each polymer in the series contained one further comonomer comprising monoamines, diamines, or amine-free structures, whose influence on the electronic, optical, and charge transport properties was studied. The series covered a wide range of highest occupied molecular orbital (HOMO) energies as determined by cyclovoltammetry. The mobility, inferred from time-of-flight (ToF) experiments as a function of temperature and electric field, was found to depend exponentially on the HOMO energy. Since possible origins for this effect include energetic disorder, polaronic effects, and wave function localization, the relevant parameters were determined using a range of methods. Disorder and molecular reorganization were established first by an analysis of absorption and emission measurements and second by an analysis of the ToF measurements. In addition, density functional theory calculations were carried out to determine how localized or delocalized holes on a polymer chain are and to compare calculated reorganization energies with those that have been inferred from optical spectra. In summary, we conclude that molecular reorganization has little effect on the hole mobility in this system while both disorder effects and hole localization in systems with low-lying HOMOs are predominant. In particular, as the energetic disorder is comparable for the copolymers, the absolute value of the hole mobility at room temperature is determined by the hole localization associated with the triarylamine moieties.
2012
Anna Köhler
Nature Materials 11 (2012) 836–837 [DOI]
In semiconducting polymers, the mobility of negative charges is typically much smaller than that of positive
charges. Identification of a universal electron-trap level that is associated with water complexation now clarifies
this difference and provides guidelines for the design of improved organic semiconductors.In semiconducting polymers, the mobility of negative charges is typically much smaller than that of positive
charges. Identification of a universal electron-trap level that is associated with water complexation now clarifies
this difference and provides guidelines for the design of improved organic semiconductors.
Sebastian T. Hoffmann, Stavros Athanasopoulos, David Beljonne, Heinz Bässler and Anna Köhler
J. Phys. Chem. C 116 (2012) 16371–16383 [DOI]
We have investigated how electronic excitations that couple via short-range interaction, i.e., triplet excitations and charge carriers, move in a disordered organic semiconductor. In this systematic study, we paid special emphasis to the transition from quasi-equilibrium to nonequilibrium transport as the temperature is lowered from 300 to 10 K. As a method, we used Monte Carlo simulations employing both Marcus as well as Miller–Abrahams (MA) transition rates. The simulation parameters are the degree of static energetic disorder, the geometric reorganization energy, and the degree of electronic coupling among the hopping sites. In the case of conjugated polymers, the effects of intrachain versus interchain transport are taken into account. In the simulations, we monitor the spectral relaxation of excitations as well as their diffusivity. We find that, below a disorder controlled transition temperature, transport becomes kinetically frustrated and, concomitantly, dispersive. In this temperature regime, transport is controlled by single phonon tunneling, tractable in terms of MA rates, while in the high temperature regime multiphonon hopping, described by Marcus rates, prevails. The results also provide a quantitative assessment of dispersive excitation transport within the intermediate temperature regime in which no analytic theory is available so far. Quantitative agreement between simulation and previous experiments allows one to extract system parameters such as the minimum hopping time and to delineate the parameter range in which Marcus and MA rates should be used in transport studies.We have investigated how electronic excitations that couple via short-range interaction, i.e., triplet excitations and charge carriers, move in a disordered organic semiconductor. In this systematic study, we paid special emphasis to the transition from quasi-equilibrium to nonequilibrium transport as the temperature is lowered from 300 to 10 K. As a method, we used Monte Carlo simulations employing both Marcus as well as Miller–Abrahams (MA) transition rates. The simulation parameters are the degree of static energetic disorder, the geometric reorganization energy, and the degree of electronic coupling among the hopping sites. In the case of conjugated polymers, the effects of intrachain versus interchain transport are taken into account. In the simulations, we monitor the spectral relaxation of excitations as well as their diffusivity. We find that, below a disorder controlled transition temperature, transport becomes kinetically frustrated and, concomitantly, dispersive. In this temperature regime, transport is controlled by single phonon tunneling, tractable in terms of MA rates, while in the high temperature regime multiphonon hopping, described by Marcus rates, prevails. The results also provide a quantitative assessment of dispersive excitation transport within the intermediate temperature regime in which no analytic theory is available so far. Quantitative agreement between simulation and previous experiments allows one to extract system parameters such as the minimum hopping time and to delineate the parameter range in which Marcus and MA rates should be used in transport studies.
Thomas Stöcker, Anna Köhler, Ralf Moos
Journal of Polymer Science Part B: Polymer Physics, (2012) 976–983 [DOI]
We have investigated the electrical transport properties of poly(3,4-ethylenedioxythiophen)/poly(4-styrene-sulfonate) (PEDOT:PSS) with PEDOT-to-PSS ratios from 1:1 to 1:30. By combining impedance spectroscopy with thermoelectric measurements, we are able to independently determine the variation of electrical conductivity and charge carrier density with PSS content. We find the charge carrier density to be independent of the PSS content. Using a generalized effective media theory, we show that the electrical conductivity in PEDOT:PSS can be understood as percolation between sites of highly conducting PEDOT:PSS complexes with a conductivity of 2.3 (Xcm)1 in a matrix of excess PSS with a low conductivity of 103 (X cm)1. In addition to the transport properties, the thermoelectric power factors and Seebeck coefficients have been determined. VC 2012 Wiley Periodicals, Inc. J Polym Sci Part B: Polym Phys 50: 976–983, 2012We have investigated the electrical transport properties of poly(3,4-ethylenedioxythiophen)/poly(4-styrene-sulfonate) (PEDOT:PSS) with PEDOT-to-PSS ratios from 1:1 to 1:30. By combining impedance spectroscopy with thermoelectric measurements, we are able to independently determine the variation of electrical conductivity and charge carrier density with PSS content. We find the charge carrier density to be independent of the PSS content. Using a generalized effective media theory, we show that the electrical conductivity in PEDOT:PSS can be understood as percolation between sites of highly conducting PEDOT:PSS complexes with a conductivity of 2.3 (Xcm)1 in a matrix of excess PSS with a low conductivity of 103 (X cm)1. In addition to the transport properties, the thermoelectric power factors and Seebeck coefficients have been determined. VC 2012 Wiley Periodicals, Inc. J Polym Sci Part B: Polym Phys 50: 976–983, 2012
Anna Köhler, Sebastian T. Hoffmann and Heinz Bässler
J. Am. Chem. Soc. 134 (2012) 11594–11601 [DOI]
The poly(p-phenylene vinylene) derivative MEH-PPV is known to exist as two morphologically distinct species, referred to as red phase and blue phase. We show here that the transition from the blue phase to the red phase is a critical phenomenon that can be quantitatively described as a second order phase transition with a critical temperature Tc of 204 K. The criticality is associated with the trade-off between the gain in the electronic stabilization energy when the π- system of a planarized chain can delocalize and the concomitant loss of entropy. We studied this transition by measuring the absorption and fluorescence in methyltetrahydrofuran (MeTHF) in two different concentrations as a function of temperature. The spectra were analyzed based upon the Kuhn exciton model to extract effective conjugation lengths. At room temperature, the chains have effective conjugation lengths of about five repeat units in the ground state (the blue phase), consistent with a disordered defect cylinder conformation. Upon cooling below the critical temperature Tc, the red phase with increased effective conjugation lengths of about 10 repeat units forms, implying a more extended and better ordered conformation. Whereas aggregation is required for the creation of the red phase, its electronic states have a predominant intrachain character.The poly(p-phenylene vinylene) derivative MEH-PPV is known to exist as two morphologically distinct species, referred to as red phase and blue phase. We show here that the transition from the blue phase to the red phase is a critical phenomenon that can be quantitatively described as a second order phase transition with a critical temperature Tc of 204 K. The criticality is associated with the trade-off between the gain in the electronic stabilization energy when the π- system of a planarized chain can delocalize and the concomitant loss of entropy. We studied this transition by measuring the absorption and fluorescence in methyltetrahydrofuran (MeTHF) in two different concentrations as a function of temperature. The spectra were analyzed based upon the Kuhn exciton model to extract effective conjugation lengths. At room temperature, the chains have effective conjugation lengths of about five repeat units in the ground state (the blue phase), consistent with a disordered defect cylinder conformation. Upon cooling below the critical temperature Tc, the red phase with increased effective conjugation lengths of about 10 repeat units forms, implying a more extended and better ordered conformation. Whereas aggregation is required for the creation of the red phase, its electronic states have a predominant intrachain character.
Anna Köhler, Amena L. T. Khan, Joanne S. Wilson, Carsten Dosche, Mohammed K. Al-Suti et al.
J. Chem. Phys. 136, 094905 (2012) [DOI]
The intrinsic non-radiative decay (internal conversion) from the triplet excited state in phosphorescent dyes can be described by a multi-phonon emission process. Since non-radiative decay of triplet excitons can be a significant process in organic light-emitting diodes, a detailed understanding of this decay mechanism is important if the overall device efficiency is to be controlled. We compare a deuterated Pt(II)-containing phenylene ethynylene with its non-deuterated counterpart in order to investigate which phonon modes control to the non-radiative decay path. We observe that deuteration does not decrease the non-radiative decay rate. A Franck-Condon analysis of the phosphorescence spectra shows that the electronic excitation is coupled strongly to the breathing mode of the phenyl ring and the C≡C carbon stretching modes, while high-energy C-H or C-D stretching modes play an insignificant role. We, therefore, associate the internal conversion process with the carbon-carbon stretching vibrations.The intrinsic non-radiative decay (internal conversion) from the triplet excited state in phosphorescent dyes can be described by a multi-phonon emission process. Since non-radiative decay of triplet excitons can be a significant process in organic light-emitting diodes, a detailed understanding of this decay mechanism is important if the overall device efficiency is to be controlled. We compare a deuterated Pt(II)-containing phenylene ethynylene with its non-deuterated counterpart in order to investigate which phonon modes control to the non-radiative decay path. We observe that deuteration does not decrease the non-radiative decay rate. A Franck-Condon analysis of the phosphorescence spectra shows that the electronic excitation is coupled strongly to the breathing mode of the phenyl ring and the C≡C carbon stretching modes, while high-energy C-H or C-D stretching modes play an insignificant role. We, therefore, associate the internal conversion process with the carbon-carbon stretching vibrations.
Christian Schwarz, Heinz Bässler, Irene Bauer, Jan-Moritz Koenen, Eduard Preis, Ullrich Scherf and Anna Köhler
Advanced Materials 24 (2012) 922–925 [DOI]
Internal photocurrent quantum yields near 100% can be obtained from the separation of loosely bound geminate pairs when sufficiently large electric fields are applied to organic heterojunctions. The fields needed for complete electron–hole dissociation decrease to those prevailing in organic solar cells under operating conditions when well-conjugated polymers are employed.Internal photocurrent quantum yields near 100% can be obtained from the separation of loosely bound geminate pairs when sufficiently large electric fields are applied to organic heterojunctions. The fields needed for complete electron–hole dissociation decrease to those prevailing in organic solar cells under operating conditions when well-conjugated polymers are employed.
Christina Scharsich, Ruth H. Lohwasser, Michael Sommer, Udom Asawapirom, Ullrich Scherf, Mukundan Thelakkat, Dieter Neher, Anna Köhler
J. Poly. Sci. B: Polymer Physics 50 (2012) 442–453 [DOI]
Aggregate formation in poly(3-hexylthiophene) depends on molecular weight, solvent, and synthetic method. The interplay of these parameters thus largely controls device performance. In order to obtain a quantitative understanding on how these factors control the resulting electronic properties of P3HT, we measured absorption in solution and in thin films as well as the resulting field effect mobility in transistors. By a detailed analysis of the absorption spectra, we deduce the fraction of aggregates formed, the excitonic coupling within the aggregates, and the conjugation length within the aggregates, all as a function of solvent quality for molecular weights from 5 to 19 kDa. From this, we infer in which structure the aggregated chains pack. Although the 5 kDa samples form straight chains, the 11 and 19 kDa chains are kinked or folded, with conjugation lengths that increase as the solvent quality reduces. There is a maximum fraction of aggregated chains (about 55 ± 5%) that can be obtained, even for poor solvent quality. We show that inducing aggregation in solution leads to control of aggregate properties in thin films. As expected, the field-effect mobility correlates with the propensity to aggregation. Correspondingly, we find that a well-defined synthetic approach, tailored to give a narrow molecular weight distribution, is needed to obtain high field effect mobilities of up to 0.01 cm2/Vs for low molecular weight samples (=11 kDa), while the influence of synthetic method is negligible for samples of higher molecular weight, if low molecular weight fractions are removed by extraction.Aggregate formation in poly(3-hexylthiophene) depends on molecular weight, solvent, and synthetic method. The interplay of these parameters thus largely controls device performance. In order to obtain a quantitative understanding on how these factors control the resulting electronic properties of P3HT, we measured absorption in solution and in thin films as well as the resulting field effect mobility in transistors. By a detailed analysis of the absorption spectra, we deduce the fraction of aggregates formed, the excitonic coupling within the aggregates, and the conjugation length within the aggregates, all as a function of solvent quality for molecular weights from 5 to 19 kDa. From this, we infer in which structure the aggregated chains pack. Although the 5 kDa samples form straight chains, the 11 and 19 kDa chains are kinked or folded, with conjugation lengths that increase as the solvent quality reduces. There is a maximum fraction of aggregated chains (about 55 ± 5%) that can be obtained, even for poor solvent quality. We show that inducing aggregation in solution leads to control of aggregate properties in thin films. As expected, the field-effect mobility correlates with the propensity to aggregation. Correspondingly, we find that a well-defined synthetic approach, tailored to give a narrow molecular weight distribution, is needed to obtain high field effect mobilities of up to 0.01 cm2/Vs for low molecular weight samples (=11 kDa), while the influence of synthetic method is negligible for samples of higher molecular weight, if low molecular weight fractions are removed by extraction.
Anna Hayer, Tanguy Van Regemorter, Bianca Höfer, Chris S. K. Mak, David Beljonne, Anna Köhler
J. Poly. Sci. B: Polymer 50 (2012) 361-369 [DOI]
Although carbazole-containing copolymers are frequently used as hole-transporting host materials for polymer organic light-emitting diodes (OLEDs), they often suffer from the formation of undesired exciplexes when the OLED is operated. The reason why exciplexes sometimes form for electrical excitation, yet not for optical excitation is not well understood. Here, we use luminescence measurements and quantum chemical calculations to investigate the mechanism of such exciplex formation for electrical excitation (electroplex formation) in a carbazole–pyridine copolymer. Our results suggest that the exciplex is formed via a positively charged interchain precursor complex. This complex is stabilized by interactions that involve the nitrogen lone pairs on both chain segments.Although carbazole-containing copolymers are frequently used as hole-transporting host materials for polymer organic light-emitting diodes (OLEDs), they often suffer from the formation of undesired exciplexes when the OLED is operated. The reason why exciplexes sometimes form for electrical excitation, yet not for optical excitation is not well understood. Here, we use luminescence measurements and quantum chemical calculations to investigate the mechanism of such exciplex formation for electrical excitation (electroplex formation) in a carbazole–pyridine copolymer. Our results suggest that the exciplex is formed via a positively charged interchain precursor complex. This complex is stabilized by interactions that involve the nitrogen lone pairs on both chain segments.
Christian Wißler M.A. (Hrsg.)
Mediendienst Forschung Universität Bayreuth, 2011 – Nr. 40 // 26. Oktober 2011
Lichtenergie in elektrischen Strom zu verwandeln ist die Funktion von Solarzellen, die
damit eine zentrale Bedeutung für die Gewinnung und Nutzung erneuerbarer Energien
haben. Einem Forschungsteam der Universität Bayreuth, der LMU München und der
TU München ist es jetzt gelungen, in organischen Makromolekülen erstmalig den Prozess der Stromerzeugung aus Licht von Anfang an zu beobachten und zu verstehen.
Ein weltweit einzigartiger lasertechnischer Versuchsaufbau und die Verwendung von
Silizium-basierten Strukturen machten diese Forschungserkenntnisse möglich.Lichtenergie in elektrischen Strom zu verwandeln ist die Funktion von Solarzellen, die
damit eine zentrale Bedeutung für die Gewinnung und Nutzung erneuerbarer Energien
haben. Einem Forschungsteam der Universität Bayreuth, der LMU München und der
TU München ist es jetzt gelungen, in organischen Makromolekülen erstmalig den Prozess der Stromerzeugung aus Licht von Anfang an zu beobachten und zu verstehen.
Ein weltweit einzigartiger lasertechnischer Versuchsaufbau und die Verwendung von
Silizium-basierten Strukturen machten diese Forschungserkenntnisse möglich.
Heinz Bässler, Anna Köhler
Top Curr Chem 312, (2012) 1-66 [DOI]
Charge transport in organic semiconductors is a timely subject. Today, organic semiconductors are already widely used commercially in Xerography. For display and lighting applications they are employed as light emitting diodes (LEDs or OLEDs) or transistors, and they are making progress to enter the solar cell market.[1-6] As a result, interest in the science behind this novel class of materials has risen sharply. The optoelectronic properties of organic semiconductors differ from that of conventional inorganic crystalline semiconductors in many aspects and the knowledge of organic semiconductors is imperative to further advance with the associated semiconductor applications.[7] A central problem is the understanding of the mechanisms related to charge transportCharge transport in organic semiconductors is a timely subject. Today, organic semiconductors are already widely used commercially in Xerography. For display and lighting applications they are employed as light emitting diodes (LEDs or OLEDs) or transistors, and they are making progress to enter the solar cell market.[1-6] As a result, interest in the science behind this novel class of materials has risen sharply. The optoelectronic properties of organic semiconductors differ from that of conventional inorganic crystalline semiconductors in many aspects and the knowledge of organic semiconductors is imperative to further advance with the associated semiconductor applications.[7] A central problem is the understanding of the mechanisms related to charge transport
Daniel Herrmann, Sabrina Niesar, Christina Scharsich, Anna Köhler, Martin Stutzmann and Eberhard Riedle
J. Am. Chem. Soc. 133 (2011) 18220-18233 [DOI]
Despite the central role of light absorption and the subsequent generation of free charge carriers in organic and hybrid organic-inorganic photovoltaics, the precise process of this initial photoconversion is still debated. We employ a novel broadband (UV-Vis-NIR) transient absorption spectroscopy setup to probe charge generation and recombination in the thin films of the recently suggested hybrid material combination poly(3-hexylthiophene)/silicon (P3HT/Si) with 40 fs time resolution. Our approach allows for monitoring the time evolution of the relevant transient species under various excitation intensities and excitation wavelengths. Both in regioregular (RR) and regiorandom (RRa) P3HT, we observe an instant (<40 fs) creation of singlet-excitons, which subsequently dissociate to form polarons in 140 fs. The quantum yield of polaron formation through dissociation of delocalized excitons is significantly enhanced by adding Si as an electron acceptor, revealing ultrafast electron transfer from P3HT to Si. P3HT/Si films with aggregated RR-P3HT are found to provide free charge carriers in planar as well as in bulk heterojunctions and losses are due to nongeminate recombination. In contrast for RRa-P3HT/Si, geminate recombination of bound carriers is observed as the dominant loss mechanism. Site-selective excitation by variation of pump wavelength uncovers an energy transfer from P3HT coils to aggregates with a 1/e transfer time of 3 ps and reveals a factor of 2 more efficient polaron formation using aggregated RR-P3HT compared to disordered RRa-P3HT. Therefore, we find that polymer structural order rather than excess energy is the key criterion for free charge generation in hybrid P3HT/Si solar cells.Despite the central role of light absorption and the subsequent generation of free charge carriers in organic and hybrid organic-inorganic photovoltaics, the precise process of this initial photoconversion is still debated. We employ a novel broadband (UV-Vis-NIR) transient absorption spectroscopy setup to probe charge generation and recombination in the thin films of the recently suggested hybrid material combination poly(3-hexylthiophene)/silicon (P3HT/Si) with 40 fs time resolution. Our approach allows for monitoring the time evolution of the relevant transient species under various excitation intensities and excitation wavelengths. Both in regioregular (RR) and regiorandom (RRa) P3HT, we observe an instant (<40 fs) creation of singlet-excitons, which subsequently dissociate to form polarons in 140 fs. The quantum yield of polaron formation through dissociation of delocalized excitons is significantly enhanced by adding Si as an electron acceptor, revealing ultrafast electron transfer from P3HT to Si. P3HT/Si films with aggregated RR-P3HT are found to provide free charge carriers in planar as well as in bulk heterojunctions and losses are due to nongeminate recombination. In contrast for RRa-P3HT/Si, geminate recombination of bound carriers is observed as the dominant loss mechanism. Site-selective excitation by variation of pump wavelength uncovers an energy transfer from P3HT coils to aggregates with a 1/e transfer time of 3 ps and reveals a factor of 2 more efficient polaron formation using aggregated RR-P3HT compared to disordered RRa-P3HT. Therefore, we find that polymer structural order rather than excess energy is the key criterion for free charge generation in hybrid P3HT/Si solar cells.
S.T. Hoffmann, J.M. Koenen, U. Scherf, I. Bauer, P. Strohriegl, H. Bässler, A. Köhler
J. Phys. Chem. B 115 (2011) 8417-8423 [DOI]
We have studied the temperature dependence of phosphorescence (Ph) and delayed fluorescence (DF) in two series of poly(p-phenylene) derivatives within a temperature range from 10 to 300 K under quasi-stationary conditions. One set of materials consists of the dimer, trimer, and polymer of ethylhexyl-substituted poly(fluorene) (PF2/6) and thus allows us to assess the effects of oligomer length. The second series addresses the influence of energetic disorder and conjugation length by being composed of the polymers alkoxy-substituted poly(p-phenylene) (DOO-PPP), poly(indenofluorene) (PIF), and ladder-type poly(p-phenylene) (MeLPPP). Under low light intensities, the DF features a maximum at a certain temperature Tmax. For the dimer and trimer, the Tmax coincides with the temperature at which the phosphorescence has decayed to 1/2 of the value at 10 K, while Tmax shifts to lower temperature values along the series DOO-PPP, PIF, and MeLPPP and approaches T = 0 K for MeLPPP. By applying conventional kinetic equations we show that the occurrence of a maximum in the DF intensity is the consequence of generalized thermally activated triplet exciton transport toward quenching sites. We find the quenching rates at 0 K to be in the range of 1 s–1 for the polymers, while they are more than an order of magnitude lower for the oligomers.We have studied the temperature dependence of phosphorescence (Ph) and delayed fluorescence (DF) in two series of poly(p-phenylene) derivatives within a temperature range from 10 to 300 K under quasi-stationary conditions. One set of materials consists of the dimer, trimer, and polymer of ethylhexyl-substituted poly(fluorene) (PF2/6) and thus allows us to assess the effects of oligomer length. The second series addresses the influence of energetic disorder and conjugation length by being composed of the polymers alkoxy-substituted poly(p-phenylene) (DOO-PPP), poly(indenofluorene) (PIF), and ladder-type poly(p-phenylene) (MeLPPP). Under low light intensities, the DF features a maximum at a certain temperature Tmax. For the dimer and trimer, the Tmax coincides with the temperature at which the phosphorescence has decayed to 1/2 of the value at 10 K, while Tmax shifts to lower temperature values along the series DOO-PPP, PIF, and MeLPPP and approaches T = 0 K for MeLPPP. By applying conventional kinetic equations we show that the occurrence of a maximum in the DF intensity is the consequence of generalized thermally activated triplet exciton transport toward quenching sites. We find the quenching rates at 0 K to be in the range of 1 s–1 for the polymers, while they are more than an order of magnitude lower for the oligomers.
R.Q. Albuquerque, C.C. Hofmann, J. Köhler, A. Köhler
J. Phys. Chem. B 115 (2011) 8063-8070 [DOI]
Organic semiconductor devices such as light-emitting diodes and solar cells frequently comprise a blend of molecular or polymeric materials. Consequently, resonant energy transfer between the components plays a major role in determining device performance. Energy transfer may take place through either single-step donor-acceptor transfer, realized for example as Forster transfer, or as a sequence of donor-donor transfers toward the acceptor site. Here we use a well-defined model system comprising an oligofluorene trimer, pentamer, or heptamer as the donor in combination with an anthracene derivative as the acceptor in order to study the rate and mechanism of energy transfer in thin films by time-resolved photoluminescence spectroscopy. We find the transfer process to be entirely dominated by sequential donor-donor transfer. In addition, we observe a strong dependence on oligomer length with an optimum energy transfer rate for the pentamer.Organic semiconductor devices such as light-emitting diodes and solar cells frequently comprise a blend of molecular or polymeric materials. Consequently, resonant energy transfer between the components plays a major role in determining device performance. Energy transfer may take place through either single-step donor-acceptor transfer, realized for example as Forster transfer, or as a sequence of donor-donor transfers toward the acceptor site. Here we use a well-defined model system comprising an oligofluorene trimer, pentamer, or heptamer as the donor in combination with an anthracene derivative as the acceptor in order to study the rate and mechanism of energy transfer in thin films by time-resolved photoluminescence spectroscopy. We find the transfer process to be entirely dominated by sequential donor-donor transfer. In addition, we observe a strong dependence on oligomer length with an optimum energy transfer rate for the pentamer.
Pamela Schrögel, Ausra Tomkeviciene, Peter Strohriegl, Sebastian T. Hoffmann, Anna Köhler and Christian Lennartz
J. Mat. Chem. 21 (2011) 2266-2273 [DOI]
We report a series of CBP-derivatives with superior thermal and electronic properties for the use as host materials for blue electrophosphorescent organic light emitting diodes. We applied a systematic variation of the substitution pattern in the 2- and 2´-position of the biphenyl unit and the 3- and 6-position of the carbazole moieties. In contrast to the crystalline parent compound CBP, all methyl and trifluoromethyl substituted derivatives show amorphous behaviour. Substitution in the 2- and 2´-position of the biphenyl causes a twisting of the phenyl rings. Hence, the degree of conjugation of the molecules is limited which leads to enlarged triplet energies of approximately 2.95 eV compared to 2.58 eV for CBP. The methyl substitution at the active 3- and 6-position of the pendant carbazole units yields materials with an electrochemically stable behaviour against oxidation.We report a series of CBP-derivatives with superior thermal and electronic properties for the use as host materials for blue electrophosphorescent organic light emitting diodes. We applied a systematic variation of the substitution pattern in the 2- and 2´-position of the biphenyl unit and the 3- and 6-position of the carbazole moieties. In contrast to the crystalline parent compound CBP, all methyl and trifluoromethyl substituted derivatives show amorphous behaviour. Substitution in the 2- and 2´-position of the biphenyl causes a twisting of the phenyl rings. Hence, the degree of conjugation of the molecules is limited which leads to enlarged triplet energies of approximately 2.95 eV compared to 2.58 eV for CBP. The methyl substitution at the active 3- and 6-position of the pendant carbazole units yields materials with an electrochemically stable behaviour against oxidation.
Muhammad S. Khan, Mohammed K. Al-Suti, Hakkikulla H. Shah, Said Al-Humaimi, Fathiya R. Al-Battashi, Jens K. Bjernemose, Louise Male, Paul R. Raithby, Ning Zhang, Anna Köhler and John E. Warrend
Dalton Tans., 40 (2011) 10174 [DOI]
A series of trimethylsilyl-protected di-alkynes incorporating 3,4-ethylenedioxythiophene (EDOT) linker
groups Me3Si–C C–R–C C–SiMe3 (R = ethylenedioxythiophene-3,4-diyl 1a, 2,2¢-bis-3,4-
ethylenedioxythiophene-5,5¢-diyl 2a, 2,2¢,5¢,2¢¢-ter-3,4-ethylenedioxythiophene-5,5¢¢-diyl 3a) and the
corresponding terminal di-alkynes, H–C C–R–C C–H 1b–2b has been synthesized and characterized
and the single crystal X-ray structure of 1a has been determined. CuI-catalyzed dehydrohalogenation
reaction between trans-[(Ph)(Et3P)2PtCl] and the terminal di-alkynes 1b–2b in iPr2NH/CH2Cl2 (2 : 1
mole ratio) gives the Pt(II) di-ynes trans-[(Et3P)2(Ph)Pt–C C–R–C C–Pt(Ph)(Et3P)2] 1M–2M while
the dehydrohalogenation polycondensation reaction between trans-[(nBu3P)2PtCl2] and 1b–2b (1 : 1 mole
ratio) under similar reaction conditions affords the Pt(II) poly-ynes trans-[Pt(PnBu3)2–C C–R–C C-]n
1P–2P. The di-ynes and poly-ynes have been characterized spectroscopically and, for 1M and 2M, by
single-crystal X-ray which confirms the “rigid rod” di-yne backbone. The materials possess excellent
thermal stability, are soluble in common organic solvents and readily cast into thin films. Optical
absorption spectroscopic measurements reveal that the EDOT spacers create stronger donor-acceptor
interactions between the platinum(II) centres and conjugated ligands along the rigid backbone of the
organometallic polymers compared to the related non-fused and fused oligothiophene spacers.A series of trimethylsilyl-protected di-alkynes incorporating 3,4-ethylenedioxythiophene (EDOT) linker
groups Me3Si–C C–R–C C–SiMe3 (R = ethylenedioxythiophene-3,4-diyl 1a, 2,2¢-bis-3,4-
ethylenedioxythiophene-5,5¢-diyl 2a, 2,2¢,5¢,2¢¢-ter-3,4-ethylenedioxythiophene-5,5¢¢-diyl 3a) and the
corresponding terminal di-alkynes, H–C C–R–C C–H 1b–2b has been synthesized and characterized
and the single crystal X-ray structure of 1a has been determined. CuI-catalyzed dehydrohalogenation
reaction between trans-[(Ph)(Et3P)2PtCl] and the terminal di-alkynes 1b–2b in iPr2NH/CH2Cl2 (2 : 1
mole ratio) gives the Pt(II) di-ynes trans-[(Et3P)2(Ph)Pt–C C–R–C C–Pt(Ph)(Et3P)2] 1M–2M while
the dehydrohalogenation polycondensation reaction between trans-[(nBu3P)2PtCl2] and 1b–2b (1 : 1 mole
ratio) under similar reaction conditions affords the Pt(II) poly-ynes trans-[Pt(PnBu3)2–C C–R–C C-]n
1P–2P. The di-ynes and poly-ynes have been characterized spectroscopically and, for 1M and 2M, by
single-crystal X-ray which confirms the “rigid rod” di-yne backbone. The materials possess excellent
thermal stability, are soluble in common organic solvents and readily cast into thin films. Optical
absorption spectroscopic measurements reveal that the EDOT spacers create stronger donor-acceptor
interactions between the platinum(II) centres and conjugated ligands along the rigid backbone of the
organometallic polymers compared to the related non-fused and fused oligothiophene spacers.
ST Hoffmann, P Schrögel, M Rothmann, R Albuquerque, P Strohriegl and A Köhler
J. Phys. Chem. B 115 (2011) 414-421 [DOI]
Carbazole-based materials such as 4,4´-bis(N -carbazolyl)-2,2´-biphenyl (CBP) and its derivatives are frequently used as matrix materials for phosphorescent emitters in organic light emitting diodes (OLED)s. An essential requirement for such matrix materials is a high energy of their first triplet excited state. Here we present a detailed spectroscopic investigation supported by density functional theory (DFT) calculations on two series of CBP derivatives, where CH3 and CF3 substituents on the 2- and 2´-position of the biphenyl introduce strong torsion into the molecular structure. We find that the resulting poor coupling between the two halves of the molecules leads to an electronic structure similar to that of N -phenyl-3,6-dimethylcarbazole, with a high triplet-state energy of 2.95 eV. However, we also observe a triplet excimer emission centered at about 2.5-2.6 eV in all compounds. We associate this triplet excimer with a sandwich geometry of neighboring carbazole moieties. For compounds with the more polar CF3 substituents, the lifetime of the intermolecular triplet excited state extends into the millisecond range for neat films at room temperature. We attribute this to an increased charge-transfer character of the intermolecular excited state for the more polar substituents.Carbazole-based materials such as 4,4´-bis(N -carbazolyl)-2,2´-biphenyl (CBP) and its derivatives are frequently used as matrix materials for phosphorescent emitters in organic light emitting diodes (OLED)s. An essential requirement for such matrix materials is a high energy of their first triplet excited state. Here we present a detailed spectroscopic investigation supported by density functional theory (DFT) calculations on two series of CBP derivatives, where CH3 and CF3 substituents on the 2- and 2´-position of the biphenyl introduce strong torsion into the molecular structure. We find that the resulting poor coupling between the two halves of the molecules leads to an electronic structure similar to that of N -phenyl-3,6-dimethylcarbazole, with a high triplet-state energy of 2.95 eV. However, we also observe a triplet excimer emission centered at about 2.5-2.6 eV in all compounds. We associate this triplet excimer with a sandwich geometry of neighboring carbazole moieties. For compounds with the more polar CF3 substituents, the lifetime of the intermolecular triplet excited state extends into the millisecond range for neat films at room temperature. We attribute this to an increased charge-transfer character of the intermolecular excited state for the more polar substituents.
A Köhler, H Bässler
J. Mater. Chem. 21 (2011) 4003-4011 [DOI]
Dexter-type triplet transfer is a phenomenon that is ubiquitous in the field of molecular electronics, and that takes place at the interface of chemistry, physics and biology. It may be considered as a correlated transfer of two charges, and thus, models originally developed for charge transfer may be applied to describe triplet transfer. In dilute fluid solutions, triplet transfer from a donor to an acceptor is well-understood and it has been described in terms of Marcus theory, i.e. taking into account distortions in the molecule and its surroundings. In amorphous thin films, that are used for organic semiconductor applications, the effects of energetic disorder prevail, and they need to be considered for an appropriate description of triplet energy transfer. We present here an overview on recent experimental and theoretical work concerning a unified description of triplet energy transfer.Dexter-type triplet transfer is a phenomenon that is ubiquitous in the field of molecular electronics, and that takes place at the interface of chemistry, physics and biology. It may be considered as a correlated transfer of two charges, and thus, models originally developed for charge transfer may be applied to describe triplet transfer. In dilute fluid solutions, triplet transfer from a donor to an acceptor is well-understood and it has been described in terms of Marcus theory, i.e. taking into account distortions in the molecule and its surroundings. In amorphous thin films, that are used for organic semiconductor applications, the effects of energetic disorder prevail, and they need to be considered for an appropriate description of triplet energy transfer. We present here an overview on recent experimental and theoretical work concerning a unified description of triplet energy transfer.
ST Hoffmann, H Bässler, A Köhler
J. Phys. Chem. B 114 (2010) 17037–17048 [DOI]
Energetic disorder is manifested in the inhomogeneous broadening of optical transitions in π-conjugated organic materials, and it is a key parameter that controls the dynamics of charge and energy transfer in this promising class of amorphous semiconductors. In an endeavor to understand which processes cause the inhomogeneous broadening of singlet and triplet excitations in π-conjugated polymers we analyze continuous wave absorption and photoluminescence spectra within a broad range of temperatures for (i) oligomers of the phenylenevinylene family (OPVs) and MEH-PPV in solution and (ii) bulk films of MEH-PPV and members of the poly(p-phenylene) family (PPPs). We use a Franck-Condon deconvolution technique to determine the temperature dependent S1-S0 0-0 and T1-S0 0-0 transition energies and their related variances. For planar compounds, the transition energies can be related to the oligomer length, which allows us to infer the effective conjugation length for the nonplanar compounds as a function of temperature. With this information we can distinguish between intrachain contributions to the inhomogeneous line broadening that are due to thermally induced torsional displacements of the chain elements, and other contributions that are assigned largely to dielectric interactions between the chain and its environment. We find that in solution, temperature-induced torsional displacements dominate the line broadening for the alkyl derivatives of OPVs while in the alkoxy derivatives the Van der Waals contribution prevails. In films, σ is virtually temperature independent because disorder is frozen in. We also establish a criterion regarding the ratio of inhomogeneous line broadening in singlet and triplet states. The results will be compared to a recent theory by Barford and Trembath.Energetic disorder is manifested in the inhomogeneous broadening of optical transitions in π-conjugated organic materials, and it is a key parameter that controls the dynamics of charge and energy transfer in this promising class of amorphous semiconductors. In an endeavor to understand which processes cause the inhomogeneous broadening of singlet and triplet excitations in π-conjugated polymers we analyze continuous wave absorption and photoluminescence spectra within a broad range of temperatures for (i) oligomers of the phenylenevinylene family (OPVs) and MEH-PPV in solution and (ii) bulk films of MEH-PPV and members of the poly(p-phenylene) family (PPPs). We use a Franck-Condon deconvolution technique to determine the temperature dependent S1-S0 0-0 and T1-S0 0-0 transition energies and their related variances. For planar compounds, the transition energies can be related to the oligomer length, which allows us to infer the effective conjugation length for the nonplanar compounds as a function of temperature. With this information we can distinguish between intrachain contributions to the inhomogeneous line broadening that are due to thermally induced torsional displacements of the chain elements, and other contributions that are assigned largely to dielectric interactions between the chain and its environment. We find that in solution, temperature-induced torsional displacements dominate the line broadening for the alkyl derivatives of OPVs while in the alkoxy derivatives the Van der Waals contribution prevails. In films, σ is virtually temperature independent because disorder is frozen in. We also establish a criterion regarding the ratio of inhomogeneous line broadening in singlet and triplet states. The results will be compared to a recent theory by Barford and Trembath.
ST Hoffmann, E Scheler, JM Koenen, M Forster, U Scherf, P Strohriegl, H Bässler, A Köhler
Phys.Rev. B 81 (2010) 165208 [DOI]
It is a general notion that, in organic semiconductors, the transport of electronic excitations, such as neutral excitons of singlet or triplet type and charge carriers, is controlled by both, polaron and disorder effects. For compounds with low energetic disorder triplet exciton diffusion can be described in the framework of Marcus-theory [see Sudha Devi et al.,Phys. Rev. B 78, 045210 (2008)], and a theoretical model for diffusion in more disordered compounds has been developed [see Fishchuk et al., Phys. Rev. B 78, 045211 (2008)]. Here we experimentally demonstrate that such a modified Marcus-type model is suitable to describe triplet exciton transport in commonly used poly(p-phenylene)-type polymers and oligomers. In particular, we provide aquantitative spectroscopic assessment of the polaronic and the disorder contribution to triplet exciton transport as a function of conjugation length. Franck-Condon analyses of the phosphorescence spectra and temperature-dependent triplet diffusion combined with analytic transport theory demonstrate that, in contrast to charge carriers, Marcus-type jump rates with dominantly polaronic activation energies control the motion of triplet excitons above a transition temperature.It is a general notion that, in organic semiconductors, the transport of electronic excitations, such as neutral excitons of singlet or triplet type and charge carriers, is controlled by both, polaron and disorder effects. For compounds with low energetic disorder triplet exciton diffusion can be described in the framework of Marcus-theory [see Sudha Devi et al.,Phys. Rev. B 78, 045210 (2008)], and a theoretical model for diffusion in more disordered compounds has been developed [see Fishchuk et al., Phys. Rev. B 78, 045211 (2008)]. Here we experimentally demonstrate that such a modified Marcus-type model is suitable to describe triplet exciton transport in commonly used poly(p-phenylene)-type polymers and oligomers. In particular, we provide aquantitative spectroscopic assessment of the polaronic and the disorder contribution to triplet exciton transport as a function of conjugation length. Franck-Condon analyses of the phosphorescence spectra and temperature-dependent triplet diffusion combined with analytic transport theory demonstrate that, in contrast to charge carriers, Marcus-type jump rates with dominantly polaronic activation energies control the motion of triplet excitons above a transition temperature.
MW Thesen, B Höfer, M Debeaux, S Janietz, A Wedel, A Köhler, HH Johannes, H Krueger
J. Pol. Sc. A 48 (2010) 3417-3430 [DOI]
A series of novel styrene derived monomers with triphenylamine-based units, and their polymers have been synthesized and compared with the well-known structure of polymer of N,N0-bis(3-methylphenyl)-N,N0-diphenylbenzidine with respect to their hole-transporting behavior in phosphorescent polymer light-emitting diodes (PLEDs). A vinyltriphenylamine structure was selected as a basic unit, functionalized at the para positions with the following side groups: diphenylamine, 3-methylphenyl-aniline, 1- and 2-naphthylamine, carbazole, and phenothiazine. The polymers are used in PLEDs as host polymers for blend systems with the following device configuration: glass/indium–tin–oxide/PEDOT:PSS/polymer-blend/CsF/Ca/Ag. In addition to the hole-transporting host polymer, the polymer blend includes a phosphorescent dopant [Ir(Me-ppy)3] and an electron-transporting molecule (2-(4-biphenyl)-5-(4-tertbutylphenyl)-1,3,4-oxadiazole). We demonstrate that two polymers are excellent hole-transporting matrix materials for these blend systems because of their good overall electroluminescent performances and their comparatively high glass transition temperatures. For the carbazole-substituted polymer (Tg = 246°C), a luminous efficiency of 35 cd A-1 and a brightness of 6700 cd m-2 at 10 V is accessible. The phenothiazine-functionalized polymer (Tg= 220°C) shows nearly the same outstanding PLED behavior. Hence, both these polymers outperform the well-known polymer of N,N0-bis(3-methylphenyl)-N,N0- diphenylbenzidine, showing only a luminous efficiency of 7.9 cd A-1 and a brightness of 2500 cd m -2 (10 V).A series of novel styrene derived monomers with triphenylamine-based units, and their polymers have been synthesized and compared with the well-known structure of polymer of N,N0-bis(3-methylphenyl)-N,N0-diphenylbenzidine with respect to their hole-transporting behavior in phosphorescent polymer light-emitting diodes (PLEDs). A vinyltriphenylamine structure was selected as a basic unit, functionalized at the para positions with the following side groups: diphenylamine, 3-methylphenyl-aniline, 1- and 2-naphthylamine, carbazole, and phenothiazine. The polymers are used in PLEDs as host polymers for blend systems with the following device configuration: glass/indium–tin–oxide/PEDOT:PSS/polymer-blend/CsF/Ca/Ag. In addition to the hole-transporting host polymer, the polymer blend includes a phosphorescent dopant [Ir(Me-ppy)3] and an electron-transporting molecule (2-(4-biphenyl)-5-(4-tertbutylphenyl)-1,3,4-oxadiazole). We demonstrate that two polymers are excellent hole-transporting matrix materials for these blend systems because of their good overall electroluminescent performances and their comparatively high glass transition temperatures. For the carbazole-substituted polymer (Tg = 246°C), a luminous efficiency of 35 cd A-1 and a brightness of 6700 cd m-2 at 10 V is accessible. The phenothiazine-functionalized polymer (Tg= 220°C) shows nearly the same outstanding PLED behavior. Hence, both these polymers outperform the well-known polymer of N,N0-bis(3-methylphenyl)-N,N0- diphenylbenzidine, showing only a luminous efficiency of 7.9 cd A-1 and a brightness of 2500 cd m -2 (10 V).
ST Hoffmann, H Bässler, JM Koenen, M Forster, U Scherf, E Scheler, P Strohriegl, A Köhler
Phys. Rev. B 81 (2010) 115103 [DOI]
We have employed quasicontinuous fluorescence and phosphorescence spectroscopy within a temperature range between 10 and 500 K to monitor the spectral diffusion of singlet and triplet excitons in a series of π-conjugated polymers. We investigated (i) how spectral diffusion is controlled by the degree of energetic disorder present in the amorphous film (that is reflected by the inhomogeneous broadening of the photoluminescence spectra) and (ii) how this process depends on the range of the electronic coupling (by comparing singlet exciton diffusion via long-range Förster transfer against triplet exciton diffusion by short-range Dexter transfer). For singlets, we find that the fluorescence spectra bear out a bathochromic shift upon cooling the sample down to a critical temperature below which the shift saturates. This bathochromic shift is a signature of spectral relaxation. Random-walk theory applied to excitation transport within a Gaussian density-of-states distribution is both necessary and sufficient to rationalize the experimental results in a quantitative fashion. The same behavior is observed for triplets in weakly disordered systems, such as in a polymer containing platinum in the main chain and a ladder-type polyphenylene. In contrast we observe a hypsochromic shift of the phosphorescence spectra below a characteristic temperature for triplets in systems with at least moderate energetic disorder. The hypsochromic shift proves that triplet exciton relaxation becomes frustrated because thermally activated exciton jumps that otherwise promote spectral diffusion become progressively frozen out. The frustration effect is controlled by the jump distance and thus it is specific for triplet excitations that migrate via short-range coupling among strongly localized states as compared to singlet excitons.We have employed quasicontinuous fluorescence and phosphorescence spectroscopy within a temperature range between 10 and 500 K to monitor the spectral diffusion of singlet and triplet excitons in a series of π-conjugated polymers. We investigated (i) how spectral diffusion is controlled by the degree of energetic disorder present in the amorphous film (that is reflected by the inhomogeneous broadening of the photoluminescence spectra) and (ii) how this process depends on the range of the electronic coupling (by comparing singlet exciton diffusion via long-range Förster transfer against triplet exciton diffusion by short-range Dexter transfer). For singlets, we find that the fluorescence spectra bear out a bathochromic shift upon cooling the sample down to a critical temperature below which the shift saturates. This bathochromic shift is a signature of spectral relaxation. Random-walk theory applied to excitation transport within a Gaussian density-of-states distribution is both necessary and sufficient to rationalize the experimental results in a quantitative fashion. The same behavior is observed for triplets in weakly disordered systems, such as in a polymer containing platinum in the main chain and a ladder-type polyphenylene. In contrast we observe a hypsochromic shift of the phosphorescence spectra below a characteristic temperature for triplets in systems with at least moderate energetic disorder. The hypsochromic shift proves that triplet exciton relaxation becomes frustrated because thermally activated exciton jumps that otherwise promote spectral diffusion become progressively frozen out. The frustration effect is controlled by the jump distance and thus it is specific for triplet excitations that migrate via short-range coupling among strongly localized states as compared to singlet excitons.
A Köhler, H Bässler
Materials Science and Engineering R, (2009) 71-109 [DOI]
Today’s technology is not possible without optoelectronic devices such as light-emitting diodes, transistors and solar cells. These basic units of modern electronic appliancesmay be made not only from traditional inorganic semiconductors, but also from organic semiconductors, i.e. hydrocarbonmolecules that combine semiconducting properties with some mechanical properties such as easy processability and flexibility. The weak van der Waals forces that bind the molecules to a solid imply a low dielectric constant, so that coulomb and exchange interactions between electrons are significant. As a result, photoexcitation or electrical excitation results in strongly bound electron–hole pairs, so-called excitons. Depending on the relative orientation of the electron and hole spin, the exciton may be of a overall singlet or triplet spin state. While the fluorescent singlet state has been investigated intensively since the first reports of organic electroluminescence, research into the properties of the phosphorescent triplet state has intensified mainly during the last decade. In this review we give an overview on the photophysical processes associated with the formation of triplet states and their decay, as well as the energy levels and energy transfer processes of triplet states. We aim to give a careful introduction for those new to this particular research area as well as to highlight some of the current research issues and intriguing questions for those familiar with the field. The main focus of this review is on molecular assemblies and polymer films, though relevant work on molecular crystals is also included where it assists in forming a larger picture.Today’s technology is not possible without optoelectronic devices such as light-emitting diodes, transistors and solar cells. These basic units of modern electronic appliancesmay be made not only from traditional inorganic semiconductors, but also from organic semiconductors, i.e. hydrocarbonmolecules that combine semiconducting properties with some mechanical properties such as easy processability and flexibility. The weak van der Waals forces that bind the molecules to a solid imply a low dielectric constant, so that coulomb and exchange interactions between electrons are significant. As a result, photoexcitation or electrical excitation results in strongly bound electron–hole pairs, so-called excitons. Depending on the relative orientation of the electron and hole spin, the exciton may be of a overall singlet or triplet spin state. While the fluorescent singlet state has been investigated intensively since the first reports of organic electroluminescence, research into the properties of the phosphorescent triplet state has intensified mainly during the last decade. In this review we give an overview on the photophysical processes associated with the formation of triplet states and their decay, as well as the energy levels and energy transfer processes of triplet states. We aim to give a careful introduction for those new to this particular research area as well as to highlight some of the current research issues and intriguing questions for those familiar with the field. The main focus of this review is on molecular assemblies and polymer films, though relevant work on molecular crystals is also included where it assists in forming a larger picture.
L Sudha Devi, MK Al-Suti, N Yhang, SJ Teat, L Male, HA, Sparkes, RP Rainthby, MS Khan, A Köhler
Macromolecules 42 (2009) 1131-1141 [DOI]
The synthesis and characterization of the thieno[3,2-b]thiophene and dithieno[3,2-b:2′,3′-d]thiophene containing platinum(II) poly-ynes and their molecular precursors is described and the electronic structure is established by absorption, luminescence and photoinduced absorption measurements. A comparison of the electronic structure of the fused and the nonfused oligothiophenes, thieno[3,2-b]thiophene, dithieno[3,2-b:2′,3′-d]thiophene, 2,2′-bithiophene, and 2,2′:5′,2” -terthiophene incorporated in platinum(II) poly-ynes is reported. We find the singlet S1 and triplet T1 and Tn excited states to be at higher energy in thin films made from the fused systems than from the nonfused systems. For ligands with the same number of rings, we attribute this to the decreased number of double bonds in the fused system and to the presence of an additional sulfur atom in spacers with the same number of double bonds.The synthesis and characterization of the thieno[3,2-b]thiophene and dithieno[3,2-b:2′,3′-d]thiophene containing platinum(II) poly-ynes and their molecular precursors is described and the electronic structure is established by absorption, luminescence and photoinduced absorption measurements. A comparison of the electronic structure of the fused and the nonfused oligothiophenes, thieno[3,2-b]thiophene, dithieno[3,2-b:2′,3′-d]thiophene, 2,2′-bithiophene, and 2,2′:5′,2” -terthiophene incorporated in platinum(II) poly-ynes is reported. We find the singlet S1 and triplet T1 and Tn excited states to be at higher energy in thin films made from the fused systems than from the nonfused systems. For ligands with the same number of rings, we attribute this to the decreased number of double bonds in the fused system and to the presence of an additional sulfur atom in spacers with the same number of double bonds.
L Sudha Devi, MK Al-Suti, C. Dosche, MS Khan, RH Friend, A Köhler
Phys. Rev. B 78 (2008) 045210 [DOI]
Efficient triplet exciton emission has allowed improved operation of organic light-emitting diodes (LEDs). To enhance the device performance, it is necessary to understand what governs the motion of triplet excitons through the organic semiconductor. Here, we have investigated triplet diffusion using a model compound that has weak energetic disorder. The Dexter-type triplet energy transfer is found to be thermally activated down to a transition temperature TT, below which the transfer rate is only weakly temperature dependent. We show that above the transition temperature, Dexter energy transfer can be described within the framework of Marcus theory. We suggest that below TT, the nature of the transfer changes from phonon-assisted hopping to quantummechanical tunneling. The lower electron-phonon coupling and higher electronic coupling in the polymer compared to the monomer results in an enhanced triplet diffusion rate.Efficient triplet exciton emission has allowed improved operation of organic light-emitting diodes (LEDs). To enhance the device performance, it is necessary to understand what governs the motion of triplet excitons through the organic semiconductor. Here, we have investigated triplet diffusion using a model compound that has weak energetic disorder. The Dexter-type triplet energy transfer is found to be thermally activated down to a transition temperature TT, below which the transfer rate is only weakly temperature dependent. We show that above the transition temperature, Dexter energy transfer can be described within the framework of Marcus theory. We suggest that below TT, the nature of the transfer changes from phonon-assisted hopping to quantummechanical tunneling. The lower electron-phonon coupling and higher electronic coupling in the polymer compared to the monomer results in an enhanced triplet diffusion rate.
II Fishchuk, A Kadashchuk, L Sudha Devi, P Heremans, H Bässler, A Köhler
Phys. Rev. B 78 (2008) 045211 [DOI]
Motivated by experiments monitoring motion of triplet excitations in a conjugated polymer containing Pt-atoms in the main chain (see Paper I), a theoretical formalism for electronic transport has been developed. It considers the interplay between polaronic distortion of the excited chain elements and disorder treated in terms of effective-medium theory. The essential parameters are the electronic coupling J, the polaronic binding energy λ that determines the activation energy of polaron motion Ea, and the variance σ of the density of states distribution controlling the incoherent hopping motion. It turns out that for the weak electronic coupling associated with triplet motion (J a few meV), the transfer is nonadiabatic. For a critical ratio of σ/Ea< 0.3, Marcus-type multiphonon transport prevails above a certain transition temperature. At lower temperatures, transport is disorder controlled consistent with the Miller-Abrahams formalism. Theoretical results are consistent with triplet transport in the Pt-polymer. Implications for charge and triplet motion in random organic semiconductors in general are discussed.Motivated by experiments monitoring motion of triplet excitations in a conjugated polymer containing Pt-atoms in the main chain (see Paper I), a theoretical formalism for electronic transport has been developed. It considers the interplay between polaronic distortion of the excited chain elements and disorder treated in terms of effective-medium theory. The essential parameters are the electronic coupling J, the polaronic binding energy λ that determines the activation energy of polaron motion Ea, and the variance σ of the density of states distribution controlling the incoherent hopping motion. It turns out that for the weak electronic coupling associated with triplet motion (J a few meV), the transfer is nonadiabatic. For a critical ratio of σ/Ea< 0.3, Marcus-type multiphonon transport prevails above a certain transition temperature. At lower temperatures, transport is disorder controlled consistent with the Miller-Abrahams formalism. Theoretical results are consistent with triplet transport in the Pt-polymer. Implications for charge and triplet motion in random organic semiconductors in general are discussed.
E Aharon, S Breuer, F Jaiser, A Köhler, GL Frey
Chem. Phys. Chem. 9 (2008) 1430-1436 [DOI]
Photophysical processes in conjugated polymers are influenced by two competing effects: the extent of excited state delocalization along a chain, and the electronic interaction between chains. Experimentally, it is often difficult to separate the two because both are controlled by chain conformation. Here we demonstrate that it is possible to modify intra-chain delocalization without inducing inter-chain interactions by intercalating polymer monolayers between the sheets of an inorganic layered matrix. The red-emitting conjugated polymer, MEH-PPV, is confined to the interlayer space of layered SnS2. The formation of isolated polymer monolayers between the SnS2 sheets is confirmed by X-ray diffraction measurements. Photoluminescence excitation (PLE) and photoluminescence (PL) spectra of the incorporated MEH-PPV chains reveal that the morphology of the incorporated chains can be varied through the choice of solvent used for chain intercalation. Incorporation from chloroform results in more extended conformations compared to intercalation from xylene. Even highly twisted conformations can be achieved when the incorporation occurs from a methanol:chloroform mixture. The PL spectra of the MEH-PPV incorporated SnS2 nanocomposites using the different solvents are in good agreement with the PL spectra of the same solutions, indicating that the conformation of the polymer chains in the solutions is retained upon intercalation into the inorganic host. Therefore, intercalation of conjugated polymer chains into layered hosts enables the study of intra-chain photophysical processes as a function of chain conformation.Photophysical processes in conjugated polymers are influenced by two competing effects: the extent of excited state delocalization along a chain, and the electronic interaction between chains. Experimentally, it is often difficult to separate the two because both are controlled by chain conformation. Here we demonstrate that it is possible to modify intra-chain delocalization without inducing inter-chain interactions by intercalating polymer monolayers between the sheets of an inorganic layered matrix. The red-emitting conjugated polymer, MEH-PPV, is confined to the interlayer space of layered SnS2. The formation of isolated polymer monolayers between the SnS2 sheets is confirmed by X-ray diffraction measurements. Photoluminescence excitation (PLE) and photoluminescence (PL) spectra of the incorporated MEH-PPV chains reveal that the morphology of the incorporated chains can be varied through the choice of solvent used for chain intercalation. Incorporation from chloroform results in more extended conformations compared to intercalation from xylene. Even highly twisted conformations can be achieved when the incorporation occurs from a methanol:chloroform mixture. The PL spectra of the MEH-PPV incorporated SnS2 nanocomposites using the different solvents are in good agreement with the PL spectra of the same solutions, indicating that the conformation of the polymer chains in the solutions is retained upon intercalation into the inorganic host. Therefore, intercalation of conjugated polymer chains into layered hosts enables the study of intra-chain photophysical processes as a function of chain conformation.
C Schuetz, B Höfer, F Jaiser, H Krueger, M Thesen, S Janietz, A Köhler
Physica status solidi B 245 (2008) 810-813 [DOI]
Cascading energy transfer is a usually undesired effect in organic-host guest systems that are designed for light-emitting purposes. Here we demonstrate a chemical approach to suppressing undesired energy transfer from the blue to the red emitter in multicomponent polymer blends. We have combined a red, green and blue emitting Ir-complex each with charge transporting molecules to a side-chain copolymer. The covalent attachment of the phosphorescent emitter is found to prevent cascading energy transfer through steric shielding. This approach approximately doubles the efficiency and brightness of polymer light emitting diodes.Cascading energy transfer is a usually undesired effect in organic-host guest systems that are designed for light-emitting purposes. Here we demonstrate a chemical approach to suppressing undesired energy transfer from the blue to the red emitter in multicomponent polymer blends. We have combined a red, green and blue emitting Ir-complex each with charge transporting molecules to a side-chain copolymer. The covalent attachment of the phosphorescent emitter is found to prevent cascading energy transfer through steric shielding. This approach approximately doubles the efficiency and brightness of polymer light emitting diodes.
P Parkinson, E Aharon, MH Chang, C Dosche, G. Frey, A. Koehler, LM Herz
Phys. Rev. B 75 (2007) 165206 [DOI]
We have investigated the influence of dimensionality on the excitation-transfer dynamics in a conjugated polymer blend. Using time-resolved photoluminescence spectroscopy, we have measured the transfer transients for both a three-dimensional blend film and for quasi-two-dimensional monolayers formed through intercalation of the polymer blend between the crystal planes of an inorganic SnS2 matrix. We compare the experimental data with a simple, dimensionality-dependent model based on electronic coupling between electronic transition moments taken to be point dipoles. Within this approximation, the energy-transfer dynamics is found to adopt a three-dimensional character in the solid film and a two-dimensional nature in the monolayers present in the SnS2-polymer nanocomposite.We have investigated the influence of dimensionality on the excitation-transfer dynamics in a conjugated polymer blend. Using time-resolved photoluminescence spectroscopy, we have measured the transfer transients for both a three-dimensional blend film and for quasi-two-dimensional monolayers formed through intercalation of the polymer blend between the crystal planes of an inorganic SnS2 matrix. We compare the experimental data with a simple, dimensionality-dependent model based on electronic coupling between electronic transition moments taken to be point dipoles. Within this approximation, the energy-transfer dynamics is found to adopt a three-dimensional character in the solid film and a two-dimensional nature in the monolayers present in the SnS2-polymer nanocomposite.
Ning Zhang, Anna Hayer, Mohammed K. Al-Suti, Rayya A. Al-Belushi, Muhammad S. Khan and Anna Köhler
J. Chem. Phys. 124 (2006) 244701 [DOI]
A series of novel platinum-containing carbazole monomers and polymers was synthesized and fully characterized by UV-VIS absorption, luminescence, and photoinduced absorption studies. In these compounds, a carbazole unit is incorporated into the main chain via either a para- or a meta-linkage. We discuss the effects of linkage and polymerization on the energy levels of S1, T1, and Tn. The S1-T1 splitting observed for the meta-linked monomer (0.4 eV) is only half of that in the para-linked monomer (0.8 eV). Upon polymerization, the exchange energy in the para-linked compound reduces, yet still remains larger than in the meta-linked polymer. We attribute the difference in exchange energy to the difference in wave function overlap between electron and hole in these compounds.A series of novel platinum-containing carbazole monomers and polymers was synthesized and fully characterized by UV-VIS absorption, luminescence, and photoinduced absorption studies. In these compounds, a carbazole unit is incorporated into the main chain via either a para- or a meta-linkage. We discuss the effects of linkage and polymerization on the energy levels of S1, T1, and Tn. The S1-T1 splitting observed for the meta-linked monomer (0.4 eV) is only half of that in the para-linked monomer (0.8 eV). Upon polymerization, the exchange energy in the para-linked compound reduces, yet still remains larger than in the meta-linked polymer. We attribute the difference in exchange energy to the difference in wave function overlap between electron and hole in these compounds.
Nicholas R. Evans, Lekshmi Sudha Devi, Chris S. K. Mak, Scott E. Watkins, Sofia I. Pascu, Anna Köhler, Richard H. Friend, Charlotte K. Williams and Andrew B. Holmes
J. Am. Chem. Soc. 128 (2006) 6647-6656 [DOI]
Abstract: The nature of Dexter triplet energy transfer between bonded systems of a red phosphorescent iridium complex 13 and a conjugated polymer, polyfluorene, has been investigated in electrophosphorescent organic light-emitting diodes. Red-emitting phosphorescent iridium complexes based on the [Ir(btp)2(acac)] fragment (where btp is 2-(2¢-benzo[b]thienyl)pyridinato and acac is acetylacetonate) have been attached either directly (spacerless) or through a -(CH2)8- chain (octamethylene-tethered) at the 9-position of a 9-octylfluorene host. The resulting dibromo-functionalized spacerless (8) or octamethylene-tethered (12) fluorene monomers were chain extended by Suzuki polycondensations using the bis(boronate)-terminated fluorene macromonomers 16 in the presence of end-capping chlorobenzene solvent to produce the statistical spacerless (17) and octamethylene-tethered (18) copolymers containing an even dispersion of the pendant phosphorescent fragments. The spacerless monomer 12 adopts a face-to-face conformation with a separation of only 3.6 Å between the iridium complex and fluorenyl group, as shown by X-ray analysis of a single crystal, and this facilitates intramolecular triplet energy transfer in the spacerless copolymers 17. The photo- and electroluminescence efficiencies of the octamethylene-tethered copolymers 18 are double those of the spacerless copolymers 17, and this is consistent with suppression of the back transfer of triplets from the red phosphorescent iridium complex to the polyfluorene backbone in 18. The incorporation of a -(CH2)8- chain between the polymer host and phosphorescent guest is thus an important design principle for achieving higher efficiencies in those electrophosphorescent organic light-emitting diodes for which the triplet energy levels of the host and guest are similar.Abstract: The nature of Dexter triplet energy transfer between bonded systems of a red phosphorescent iridium complex 13 and a conjugated polymer, polyfluorene, has been investigated in electrophosphorescent organic light-emitting diodes. Red-emitting phosphorescent iridium complexes based on the [Ir(btp)2(acac)] fragment (where btp is 2-(2¢-benzo[b]thienyl)pyridinato and acac is acetylacetonate) have been attached either directly (spacerless) or through a -(CH2)8- chain (octamethylene-tethered) at the 9-position of a 9-octylfluorene host. The resulting dibromo-functionalized spacerless (8) or octamethylene-tethered (12) fluorene monomers were chain extended by Suzuki polycondensations using the bis(boronate)-terminated fluorene macromonomers 16 in the presence of end-capping chlorobenzene solvent to produce the statistical spacerless (17) and octamethylene-tethered (18) copolymers containing an even dispersion of the pendant phosphorescent fragments. The spacerless monomer 12 adopts a face-to-face conformation with a separation of only 3.6 Å between the iridium complex and fluorenyl group, as shown by X-ray analysis of a single crystal, and this facilitates intramolecular triplet energy transfer in the spacerless copolymers 17. The photo- and electroluminescence efficiencies of the octamethylene-tethered copolymers 18 are double those of the spacerless copolymers 17, and this is consistent with suppression of the back transfer of triplets from the red phosphorescent iridium complex to the polyfluorene backbone in 18. The incorporation of a -(CH2)8- chain between the polymer host and phosphorescent guest is thus an important design principle for achieving higher efficiencies in those electrophosphorescent organic light-emitting diodes for which the triplet energy levels of the host and guest are similar.
Anna Hayer, Véronique de Halleux, Anna Ko1hler, Abdel El-Garoughy, E. W. Meijer, Joaquín Barberá, Julien Tant, Jeremy Levin, Matthias Lehmann, Johannes Gierschner, Jérôme Cornil and Yves Henri Geerts
J. Phys. Chem. B 110 (2006) , 7653-7659 [DOI]
A concept for highly ordered solid-state structures with bright fluorescence is proposed: liquid crystals based on tetraethynylpyrene chromophores, where the rigid core is functionalized with flexible, promesogenic alkoxy chains. The synthesis of this novel material is presented. The thermotropic properties are studied by means of differential scanning calorimetry (DSC), cross-polarized optical microscopy (POM), and X-ray diffraction. The mesogen possesses an enantiotropic Colh phase over a large temperature range before clearing. The material is highly fluorescent in solution and, most remarkably, in the condensed state, with a broad, strongly red shifted emission. Fluorescence quantum yields (¼F) have been determined to be 70% in dichloromethane solution and 62% in the solid state. Concentration- and temperature-dependent absorption and emission studies as well as quantum-chemical calculations on isolated molecules and dimers are used to clarify the type of intermolecular interactions present as well as their influence on the fluorescence quantum yield and spectral properties of the material. The high luminescence efficiency in the solid state is ascribed to rotated chromophores, leading to an optically allowed lowest optical transition.A concept for highly ordered solid-state structures with bright fluorescence is proposed: liquid crystals based on tetraethynylpyrene chromophores, where the rigid core is functionalized with flexible, promesogenic alkoxy chains. The synthesis of this novel material is presented. The thermotropic properties are studied by means of differential scanning calorimetry (DSC), cross-polarized optical microscopy (POM), and X-ray diffraction. The mesogen possesses an enantiotropic Colh phase over a large temperature range before clearing. The material is highly fluorescent in solution and, most remarkably, in the condensed state, with a broad, strongly red shifted emission. Fluorescence quantum yields (¼F) have been determined to be 70% in dichloromethane solution and 62% in the solid state. Concentration- and temperature-dependent absorption and emission studies as well as quantum-chemical calculations on isolated molecules and dimers are used to clarify the type of intermolecular interactions present as well as their influence on the fluorescence quantum yield and spectral properties of the material. The high luminescence efficiency in the solid state is ascribed to rotated chromophores, leading to an optically allowed lowest optical transition.
A Hayer, ALT Khan, RH Friend, A Köhler
Phys. Rev. B 71 (2005) 241302 [DOI]
Poly(9,9-dioctylfluorene) (PFO) is widely used as a highly efficient blue-emitting polymer for light-emitting diode applications. Films of PFO are known to contain a planar β-phase or a disordered glassy phase that affects the emission characteristics. We have studied the morphology dependence of the photoinduced absorption in such PFO films and find that the T1-Tn absorption signal differs between the two phases in energy, linewidth, and intensity. The lower intensity we observe in the β-phase as compared to the glassy phase is evidence for a lower T1 population in the former. We attribute this to firstly, reduced intersystem crossing and secondly, increased charge generation due to both more extended conjugation along the chains and higher interchain interactions in the planar, well-ordered β-phase. The reduced energy and smaller linewidth of the triplet absorption in the β-phase as compared to the glassy phase are indicative of a more delocalized Tn state and a higher degree of order in the β-phase, respectively.Poly(9,9-dioctylfluorene) (PFO) is widely used as a highly efficient blue-emitting polymer for light-emitting diode applications. Films of PFO are known to contain a planar β-phase or a disordered glassy phase that affects the emission characteristics. We have studied the morphology dependence of the photoinduced absorption in such PFO films and find that the T1-Tn absorption signal differs between the two phases in energy, linewidth, and intensity. The lower intensity we observe in the β-phase as compared to the glassy phase is evidence for a lower T1 population in the former. We attribute this to firstly, reduced intersystem crossing and secondly, increased charge generation due to both more extended conjugation along the chains and higher interchain interactions in the planar, well-ordered β-phase. The reduced energy and smaller linewidth of the triplet absorption in the β-phase as compared to the glassy phase are indicative of a more delocalized Tn state and a higher degree of order in the β-phase, respectively.
Ö Mermer, G Veeraraghavan, TL Francis, Y Sheng, DT Nguyen, M Wohlgenannt, A Köhler, MK Al-Suti, MS Khan
Phys. Rev. B. 72 (2005) 205202 [DOI]
Following the recent observation of large magnetoresistance at room temperature in polyfluorene sandwich devices, we have performed a comprehensive magnetoresistance study on a set of organic semiconductor sandwich devices made from different π -conjugated polymers and small molecules. The study includes a range of materials that show greatly different chemical structure, mobility, and spin-orbit coupling strength. We study both hole and electron transporters at temperatures ranging from 10 K to 300 K. We observe large negative or positive magnetoresistance (up to 10% at 300 K and 10 mT) depending on material and device operating conditions. We discuss our results in the framework of known magnetoresistance mechanisms and find that none of the existing models can explain our results.Following the recent observation of large magnetoresistance at room temperature in polyfluorene sandwich devices, we have performed a comprehensive magnetoresistance study on a set of organic semiconductor sandwich devices made from different π -conjugated polymers and small molecules. The study includes a range of materials that show greatly different chemical structure, mobility, and spin-orbit coupling strength. We study both hole and electron transporters at temperatures ranging from 10 K to 300 K. We observe large negative or positive magnetoresistance (up to 10% at 300 K and 10 mT) depending on material and device operating conditions. We discuss our results in the framework of known magnetoresistance mechanisms and find that none of the existing models can explain our results.
CSK Mak, A Hayer, SI Pascu, SE Watkins, AB Holmes, A Köhler, RH Friend
Chem. Commun., 37 (2005) 4708-4710 [DOI]
The photo- and electroluminescence properties of a series of novel, heteroleptic, mer-cyclometallated iridiumcomplexes have been fine-tuned from green to blue by changing the substituents on the pyridyl ring of the phenylpyridyl ligand. The X-ray crystal structures of two Ir-based triazolyl complexes are reported.The photo- and electroluminescence properties of a series of novel, heteroleptic, mer-cyclometallated iridiumcomplexes have been fine-tuned from green to blue by changing the substituents on the pyridyl ring of the phenylpyridyl ligand. The X-ray crystal structures of two Ir-based triazolyl complexes are reported.
C. Yang, ZV Vardeny, A Köhler, M Wohlgenannt, MK Al-Suti, MS Khan
Phys. Rev. B, 70 (2004) 241202 [DOI]
It has been found in recent measurements that the singlet-to-triplet exciton ratio in organic light-emitting diodes (OLEDs) is larger than expected from spin degeneracy, and that singlet excitons form at a larger rate than triplets. We employed the technique of optically detected magnetic resonance to measure the spindependent exciton formation rates in films of a polymer and corresponding monomer, and explore the relation between the formation rates and the actual singlet-to-triplet ratio measured previously in OLEDs. We found that the spin-dependent exciton formation rates can indeed quantitatively explain the observed exciton yields, and that singlet formation rates and yields are significantly enhanced only in polymer OLEDs, but not in OLEDs made from the corresponding monomer.It has been found in recent measurements that the singlet-to-triplet exciton ratio in organic light-emitting diodes (OLEDs) is larger than expected from spin degeneracy, and that singlet excitons form at a larger rate than triplets. We employed the technique of optically detected magnetic resonance to measure the spindependent exciton formation rates in films of a polymer and corresponding monomer, and explore the relation between the formation rates and the actual singlet-to-triplet ratio measured previously in OLEDs. We found that the spin-dependent exciton formation rates can indeed quantitatively explain the observed exciton yields, and that singlet formation rates and yields are significantly enhanced only in polymer OLEDs, but not in OLEDs made from the corresponding monomer.
A Köhler und D Beljonne
Advanced Functional Materials, (Feature article), 14 (2004),11 [DOI]
Electron–electron interactions in organic semiconductors split the lowest singlet and triplet states by the exchange energy, ?EST. Measurement of singlet and triplet emission spectra in a large number of conjugated polymers yield an almost constant ?EST value close to 0.7?eV. This is in contrast to the situation in molecules, where the exchange energy is found to depend on molecular size and to vary over a wide range. Quantum-chemical calculations are performed to address the origin of the constant exchange energy in phenylene-based conjugated polymers. The electron–hole separation in the lowest singlet and triplet excited states is found to be independent of the p-conjugated backbone, and saturates for chains longer than a few repeating units, resulting in a constant exchange energy. In shorter conjugated oligomers, confinement of the excitations destabilizes the singlet with respect to the triplet through exchange interactions and leads to a larger and size-dependent singlet–triplet energy separation.Electron–electron interactions in organic semiconductors split the lowest singlet and triplet states by the exchange energy, ?EST. Measurement of singlet and triplet emission spectra in a large number of conjugated polymers yield an almost constant ?EST value close to 0.7?eV. This is in contrast to the situation in molecules, where the exchange energy is found to depend on molecular size and to vary over a wide range. Quantum-chemical calculations are performed to address the origin of the constant exchange energy in phenylene-based conjugated polymers. The electron–hole separation in the lowest singlet and triplet excited states is found to be independent of the p-conjugated backbone, and saturates for chains longer than a few repeating units, resulting in a constant exchange energy. In shorter conjugated oligomers, confinement of the excitations destabilizes the singlet with respect to the triplet through exchange interactions and leads to a larger and size-dependent singlet–triplet energy separation.
ALT Khan, P Sreearunothai, LM Herz, MJ Banach, A Köhler
Phys. Rev. B., 69 (2004) 085201 [DOI]
We have performed a detailed study of the photoluminescence from thin films of blue-light-emitting poly(9,9-dioctylfluorene) containing different fractions of planarized (ß-phase) chains within the glassy polymer film. By choosing solvents with a range of polarities and boiling points we were able to cast films with reliable control of the relative amounts of ß-phase chains present. We analyzed the emission spectra in terms of Franck-Condon progressions and found that, at low temperatures (8 K), the luminescence can be modeled accurately by considering two distinct contributions from the two phases present in the film. The Huang-Rhys parameter for the ß phase is shown to be approximately half the value obtained for the glassy phase, in agreement with a more delocalized exciton in the ß phase. Time-resolved photoluminescence measurements on a film containing roughly 25% of ß phase reveal a fast transfer of excitations from the glassy to the ß phase, indicating that the two phases are well intermixed. Assuming the transfer dynamics to be governed by dipole-dipole coupling, we obtain a Förster radius of 8.2±0.6nm, significantly larger than the radius typically found for excitation transfer within the glassy phase. These results are consistent with the large spectral overlap between the emission of the glassy phase and the absorption of the ß phase and explain why the latter dominates the emission even from films containing only a small fraction of ß-phase chains.We have performed a detailed study of the photoluminescence from thin films of blue-light-emitting poly(9,9-dioctylfluorene) containing different fractions of planarized (ß-phase) chains within the glassy polymer film. By choosing solvents with a range of polarities and boiling points we were able to cast films with reliable control of the relative amounts of ß-phase chains present. We analyzed the emission spectra in terms of Franck-Condon progressions and found that, at low temperatures (8 K), the luminescence can be modeled accurately by considering two distinct contributions from the two phases present in the film. The Huang-Rhys parameter for the ß phase is shown to be approximately half the value obtained for the glassy phase, in agreement with a more delocalized exciton in the ß phase. Time-resolved photoluminescence measurements on a film containing roughly 25% of ß phase reveal a fast transfer of excitations from the glassy to the ß phase, indicating that the two phases are well intermixed. Assuming the transfer dynamics to be governed by dipole-dipole coupling, we obtain a Förster radius of 8.2±0.6nm, significantly larger than the radius typically found for excitation transfer within the glassy phase. These results are consistent with the large spectral overlap between the emission of the glassy phase and the absorption of the ß phase and explain why the latter dominates the emission even from films containing only a small fraction of ß-phase chains.
AJ Sandee, CK Williams, N Evans, JR Davies, CE Boothby, A Köhler, RH Friend and AB Holmes
J. Am. Chem. Soc. 126 (2004) 7041-7048 [DOI]
We report the synthesis and photophysical study of a series of solution-processible phosphorescent iridium complexes. These comprise bis-cyclometalated iridium units [Ir(ppy)2(acac)] or [Ir(btp)2(acac)] where ppy is 2-phenylpyridinato, btp is 2-(2‘-benzo[b]thienyl)pyridinato, and acac is acetylacetonate. The iridium units are covalently attached to and in conjugation with oligo(9,9-dioctylfluorenyl-2,7-diyl) [(FO)n] to form complexes [Ir(ppy-(FO)n)2(acac)] or [Ir(btp-(FO)n)2(acac)], where the number of fluorene units, n, is 1, 2, 3, 10, 20, 30, or 40. All the complexes exhibit emission from a mixed triplet state in both photoluminescence and electroluminescence, with efficient quenching of the fluorene singlet emission. Short-chain complexes, 11-13, [Ir(ppy-(FO)n-FH)2(acac)] where n = 0, 1, or 2, show green light emission, red-shifted through the FO attachment by about 70 meV, but for longer chains there is quenching because of the lower energy triplet state associated with polyfluorene. In contrast, polymer complexes 18-21 [Ir(btp-(FO)n)2(acac)] where n is 5-40 have better triplet energy level matching and can be used to provide efficient red phosphorescent polymer light-emitting diodes, with a red shift due to the fluorene attachment of about 50 meV. We contrast this small (50-70 meV) and short-range modification of the triplet energies through extended conjugation, with the much more substantial evolution of the p-p* singlet transitions, which saturate at about n = 10. These covalently bound materials show improvements in efficiency over simple blends and will form the basis of future investigations into energy-transfer processes occurring in light-emitting diodes.We report the synthesis and photophysical study of a series of solution-processible phosphorescent iridium complexes. These comprise bis-cyclometalated iridium units [Ir(ppy)2(acac)] or [Ir(btp)2(acac)] where ppy is 2-phenylpyridinato, btp is 2-(2‘-benzo[b]thienyl)pyridinato, and acac is acetylacetonate. The iridium units are covalently attached to and in conjugation with oligo(9,9-dioctylfluorenyl-2,7-diyl) [(FO)n] to form complexes [Ir(ppy-(FO)n)2(acac)] or [Ir(btp-(FO)n)2(acac)], where the number of fluorene units, n, is 1, 2, 3, 10, 20, 30, or 40. All the complexes exhibit emission from a mixed triplet state in both photoluminescence and electroluminescence, with efficient quenching of the fluorene singlet emission. Short-chain complexes, 11-13, [Ir(ppy-(FO)n-FH)2(acac)] where n = 0, 1, or 2, show green light emission, red-shifted through the FO attachment by about 70 meV, but for longer chains there is quenching because of the lower energy triplet state associated with polyfluorene. In contrast, polymer complexes 18-21 [Ir(btp-(FO)n)2(acac)] where n is 5-40 have better triplet energy level matching and can be used to provide efficient red phosphorescent polymer light-emitting diodes, with a red shift due to the fluorene attachment of about 50 meV. We contrast this small (50-70 meV) and short-range modification of the triplet energies through extended conjugation, with the much more substantial evolution of the p-p* singlet transitions, which saturate at about n = 10. These covalently bound materials show improvements in efficiency over simple blends and will form the basis of future investigations into energy-transfer processes occurring in light-emitting diodes.
A Hayer, A Köhler, E Arisi, I Bergenti, A Dediu, C Taliani, M Al-Suti, MS Khan
Synth. Met. 147, (2004) 155-158 [DOI]
This study is concerned with the characterisation of the injection properties of the manganite compound La0.7Sr0.3MnO3 (LSMO) and its use as a spin-polarised anode in polymer light-emitting diodes. Charge carrier injection and electroluminescence in a polymer LED with an LSMO anode is achieved. A dependence of the current–voltage characteristics of LEDs with LSMO anodes on the temperature is observed and compared to the behaviour of LEDs with standard ITO anodes. The temperature dependence is shown to be due to improved hole injection at low temperatures, possibly originating from magnetic ordering upon cooling.This study is concerned with the characterisation of the injection properties of the manganite compound La0.7Sr0.3MnO3 (LSMO) and its use as a spin-polarised anode in polymer light-emitting diodes. Charge carrier injection and electroluminescence in a polymer LED with an LSMO anode is achieved. A dependence of the current–voltage characteristics of LEDs with LSMO anodes on the temperature is observed and compared to the behaviour of LEDs with standard ITO anodes. The temperature dependence is shown to be due to improved hole injection at low temperatures, possibly originating from magnetic ordering upon cooling.
MS Khan, MRA Al-Mandhary, MK Al-Suti, FR Al-Battashi, S Al-Saadi, B Ahrens, JK Bjernemose, MF Mahon, PR Raithby, M Younus, N Chawdhury, A Köhler, EA Marseglia, E Tedesco, N Feeder, SJ Teat
Dalton Trans., (15): 2377-2385 2004. [DOI]
A series of protected and terminal dialkynes with extended p-conjugation through a condensed aromatic linker unit in the backbone, 1,4-bis(trimethylsilylethynyl)naphthalene, 2a, 1,4-bis(ethynyl)naphthalene, 2b, 9,10-bis(trimethylsilylethynyl)anthracene 3a, 9,10-bis(ethynyl)anthracene 3b, have been synthesized and characterized spectroscopically. The solid-state structures of 2a and 3a have been confirmed by single crystal X-ray diffraction studies. Reaction of two equivalents of the complex trans-[Ph(Et3P)2PtCl] with an equivalent of the terminal dialkynes 1,4-bis(ethynyl)benzene 1b and 2b–3b, in iPr2NH–CH2Cl2, in the presence of CuI, at room temperature, afforded the platinum(II) di-ynes trans-[Ph(Et3P)2Pt–C ≡ C–R–C ≡ C–Pt(PEt3)2Ph] (R = benzene-1,4-diyl 1c; naphthalene-1,4-diyl 2c and anthracene-9,10-diyl 3c) while reactions between equimolar quantities of trans-[(nBu3P)2PtCl2] and 2b–3b under similar conditions readily afforded the platinum(II) poly-ynes trans-[–(nBu3P)2Pt–C ≡ C–R–C ≡ C–]n (R = naphthalene-1,4-diyl 2d and anthracene-9,10-diyl 3d). The Pt(II) diynes and poly-ynes have been characterized by analytical and spectroscopic methods, and the single crystal X-ray structures of 1c and 2c have been determined. These structures confirm the trans-square planar geometry at the platinum centres and the linear nature of the molecules. The di-ynes and poly-ynes are soluble in organic solvents and readily cast into thin films. Optical spectroscopic measurements reveal that the electron-rich naphthalene and anthracene spacers create strong donor–acceptor interactions between the Pt(II) centres and conjugated ligands along the rigid backbone of the organometallic polymers. Thermogravimetry shows that the di-ynes possess a somewhat higher thermal stability than the corresponding poly-ynes. Both the Pt(II) di-ynes and the poly-ynes exhibit increasing thermal stability along the series of spacers from phenylene through naphthalene to anthracene.A series of protected and terminal dialkynes with extended p-conjugation through a condensed aromatic linker unit in the backbone, 1,4-bis(trimethylsilylethynyl)naphthalene, 2a, 1,4-bis(ethynyl)naphthalene, 2b, 9,10-bis(trimethylsilylethynyl)anthracene 3a, 9,10-bis(ethynyl)anthracene 3b, have been synthesized and characterized spectroscopically. The solid-state structures of 2a and 3a have been confirmed by single crystal X-ray diffraction studies. Reaction of two equivalents of the complex trans-[Ph(Et3P)2PtCl] with an equivalent of the terminal dialkynes 1,4-bis(ethynyl)benzene 1b and 2b–3b, in iPr2NH–CH2Cl2, in the presence of CuI, at room temperature, afforded the platinum(II) di-ynes trans-[Ph(Et3P)2Pt–C ≡ C–R–C ≡ C–Pt(PEt3)2Ph] (R = benzene-1,4-diyl 1c; naphthalene-1,4-diyl 2c and anthracene-9,10-diyl 3c) while reactions between equimolar quantities of trans-[(nBu3P)2PtCl2] and 2b–3b under similar conditions readily afforded the platinum(II) poly-ynes trans-[–(nBu3P)2Pt–C ≡ C–R–C ≡ C–]n (R = naphthalene-1,4-diyl 2d and anthracene-9,10-diyl 3d). The Pt(II) diynes and poly-ynes have been characterized by analytical and spectroscopic methods, and the single crystal X-ray structures of 1c and 2c have been determined. These structures confirm the trans-square planar geometry at the platinum centres and the linear nature of the molecules. The di-ynes and poly-ynes are soluble in organic solvents and readily cast into thin films. Optical spectroscopic measurements reveal that the electron-rich naphthalene and anthracene spacers create strong donor–acceptor interactions between the Pt(II) centres and conjugated ligands along the rigid backbone of the organometallic polymers. Thermogravimetry shows that the di-ynes possess a somewhat higher thermal stability than the corresponding poly-ynes. Both the Pt(II) di-ynes and the poly-ynes exhibit increasing thermal stability along the series of spacers from phenylene through naphthalene to anthracene.
A Köhler and JS Wilson
Organic electronics 4 (2003) 179 – special issue [DOI]
The mechanism for the formation of singlet and triplet states in conjugated polymer-based light-emitting diodes (LEDs) is crucial in determining the overall efficiencies of these devices. If simple spin statistics apply then singlets and triplets should be formed in the ratio 25:75. However, the non-emissive nature of triplet states in these materials, as well as other loss mechanisms within the devices, mean that this ratio is not straightforward to measure. Nevertheless, recent experimental advances have made it possible to determine many of the properties of triplet states. Here we review what is now known about triplet states and their photophysics in conjugated polymers. We place particular emphasis on measurements of the singlet generation fraction in LEDs, and discuss the experimental techniques that have been used, such as direct comparison of photoluminescence and electroluminescence efficiencies, triplet absorption cross section measurements and magnetic resonance measurements. All of these techniques give values for the singlet generation fraction in polymers that are significantly larger than the 25% expected, and many of them have also shown that in shorter oligomers this value decreases to be closer to 25%. We also give a brief overview of recent theories for the processes of singlet and triplet formation in polymer devices.The mechanism for the formation of singlet and triplet states in conjugated polymer-based light-emitting diodes (LEDs) is crucial in determining the overall efficiencies of these devices. If simple spin statistics apply then singlets and triplets should be formed in the ratio 25:75. However, the non-emissive nature of triplet states in these materials, as well as other loss mechanisms within the devices, mean that this ratio is not straightforward to measure. Nevertheless, recent experimental advances have made it possible to determine many of the properties of triplet states. Here we review what is now known about triplet states and their photophysics in conjugated polymers. We place particular emphasis on measurements of the singlet generation fraction in LEDs, and discuss the experimental techniques that have been used, such as direct comparison of photoluminescence and electroluminescence efficiencies, triplet absorption cross section measurements and magnetic resonance measurements. All of these techniques give values for the singlet generation fraction in polymers that are significantly larger than the 25% expected, and many of them have also shown that in shorter oligomers this value decreases to be closer to 25%. We also give a brief overview of recent theories for the processes of singlet and triplet formation in polymer devices.
MB Johnston, LM Herz, ALK Khan, A Köhler, AG Davies, EH Linfield
Chem. Phys. Lett. 377 (2003), 256-262 [DOI]
Following the recent observation of large magnetoresistance at room temperature in polyfluorene sandwich devices, we have performed a comprehensive magnetoresistance study on a set of organic semiconductor sandwich devices made from different π -conjugated polymers and small molecules. The study includes a range of materials that show greatly different chemical structure, mobility, and spin-orbit coupling strength. We study both hole and electron transporters at temperatures ranging from 10 K to 300 K. We observe large negative or positive magnetoresistance (up to 10% at 300 K and 10 mT) depending on material and device operating conditions. We discuss our results in the framework of known magnetoresistance mechanisms and find that none of the Following the recent observation of large magnetoresistance at room temperature in polyfluorene sandwich devices, we have performed a comprehensive magnetoresistance study on a set of organic semiconductor sandwich devices made from different π -conjugated polymers and small molecules. The study includes a range of materials that show greatly different chemical structure, mobility, and spin-orbit coupling strength. We study both hole and electron transporters at temperatures ranging from 10 K to 300 K. We observe large negative or positive magnetoresistance (up to 10% at 300 K and 10 mT) depending on material and device operating conditions. We discuss our results in the framework of known magnetoresistance mechanisms and find that none of the
ALT Khan, MJ Banach and A Köhler
Synth. Met., 139 (2003), 905-907 [DOI]
In the blue light-emitting polymer poly(9,9-dioctylfluorene) (PFO) two distinct morphological phases have been identified, that is the glassy phase and a planar ß-phase. We show that the proportion of the formation of the two phases can be controlled by simply spinning thin films from different solvents such as chloroform and cyclopentanone. We use a Franck–Condon analysis with vibrational modes obtained from Raman spectra to analyze the emission spectra at low temperature. Films spun from cyclopentanone are dominated by from the ß-phase emission while films spun from chloroform have a high fraction of glassy phase emission. Comparison between absorption and emission spectra shows evidence for spectral diffusion from the glassy to the ß-phase. We discuss the Huang–Rhys parameters for both phases.In the blue light-emitting polymer poly(9,9-dioctylfluorene) (PFO) two distinct morphological phases have been identified, that is the glassy phase and a planar ß-phase. We show that the proportion of the formation of the two phases can be controlled by simply spinning thin films from different solvents such as chloroform and cyclopentanone. We use a Franck–Condon analysis with vibrational modes obtained from Raman spectra to analyze the emission spectra at low temperature. Films spun from cyclopentanone are dominated by from the ß-phase emission while films spun from chloroform have a high fraction of glassy phase emission. Comparison between absorption and emission spectra shows evidence for spectral diffusion from the glassy to the ß-phase. We discuss the Huang–Rhys parameters for both phases.
JS Wilson, RJ Wilson, RH Friend, MK Al-Suti, MRA Al-Mandhary, MS Khan, A Köhler
Phys. Rev. B., 67 (2003) 125206 [DOI]
We investigate the polarization of optical transitions associated with the singlet S1 and triplet T1 and Tn excited states in a uniaxially aligned platinum-containing conjugated polymer which contains a 2-methoxy-5-(´-ethyl)-hexyloxy (MEH)-substituted phenyl ring. For the singlet S1 state, which is extended along the polymer chain, we find the corresponding absorption and emission to be polarized parallel to the chain as seen for other conjugated polymers. However, for the triplet excited states, we find that the emission from the highly localized T1 state has components both parallel and perpendicular to the polymer chain, while the absorption from T1 into the delocalized Tn state is polarized entirely parallel to the chain. We discuss this connection between the spatial extent of the excited state and the polarization of the associated optical transitions and consider how the spin-orbit coupling mechanism can influence the polarization of emission from the T1 state.We investigate the polarization of optical transitions associated with the singlet S1 and triplet T1 and Tn excited states in a uniaxially aligned platinum-containing conjugated polymer which contains a 2-methoxy-5-(´-ethyl)-hexyloxy (MEH)-substituted phenyl ring. For the singlet S1 state, which is extended along the polymer chain, we find the corresponding absorption and emission to be polarized parallel to the chain as seen for other conjugated polymers. However, for the triplet excited states, we find that the emission from the highly localized T1 state has components both parallel and perpendicular to the polymer chain, while the absorption from T1 into the delocalized Tn state is polarized entirely parallel to the chain. We discuss this connection between the spatial extent of the excited state and the polarization of the associated optical transitions and consider how the spin-orbit coupling mechanism can influence the polarization of emission from the T1 state.
PJ Brown, DS Thomas, A Köhler, JS Wilson, J-S Kim, CM Ramsdale, H Sirringhaus, RH Friend
Phys. Rev. B., 67 (2003) 064203 [DOI]
The absorption spectrum of polythiophene and its derivative poly(3-hexylthiophene) (P3HT) is usually described in terms of an intrachain exciton coupled to a single phonon mode. We show that this model is too simplistic for highly ordered, regioregular P3HT and that, analogous to the case of charged polarons in this material, interchain interactions must be taken into account to correctly describe the absorption spectrum. We show that the lowest energy feature in the p-p* region of the absorption spectrum is associated with an interchain absorption, the intensity of which is correlated with the degree of order in the polymer. Correspondingly, we show that the emission from P3HT also exhibits contributions from both interchain and intrachain states, in a manner similar to that recently shown for poly(phenylenevinylene). Having reinterpreted the physical origin of the features in the absorption and emission spectra of P3HT, we then model these spectra and show how they evolve as the degree of order in the polymer is changed by varying several physical parameters including temperature and regioregularity of the polymer.The absorption spectrum of polythiophene and its derivative poly(3-hexylthiophene) (P3HT) is usually described in terms of an intrachain exciton coupled to a single phonon mode. We show that this model is too simplistic for highly ordered, regioregular P3HT and that, analogous to the case of charged polarons in this material, interchain interactions must be taken into account to correctly describe the absorption spectrum. We show that the lowest energy feature in the p-p* region of the absorption spectrum is associated with an interchain absorption, the intensity of which is correlated with the degree of order in the polymer. Correspondingly, we show that the emission from P3HT also exhibits contributions from both interchain and intrachain states, in a manner similar to that recently shown for poly(phenylenevinylene). Having reinterpreted the physical origin of the features in the absorption and emission spectra of P3HT, we then model these spectra and show how they evolve as the degree of order in the polymer is changed by varying several physical parameters including temperature and regioregularity of the polymer.
MS Khan, MK Al-Suti, MRA Al-Mandhary, B Ahrens, JK Bjernemose, MF Mahon, L Male, PR Raithby, J Wilson, RH Friend, A Köhler
J. Chem. Soc., Dalton Trans., (2003) 65-73. [DOI]
A new series of rigid rod protected and terminal dialkynes with extended p-conjugation through aromatic and hetero-aromatic linker units in the backbone, 2,5-bis(trimethylsilylethynyl)-1-(2-ethylhexyloxy)-4-methoxybenzene 1a, 2,5-bis(ethynyl)-1-(2-ethylhexyloxy)-4-methoxybenzene 1b, 5,8-bis(trimethylsilylethynyl)quinoline 2a, 5,8-bis(ethynyl)quinoline 2b, 2,3-diphenyl-5,8-bis(trimethylsilylethynyl)quinoxaline 3a, 2,3-diphenyl-5,8-bis(ethynyl)quinoxaline 3b, 4,7-bis(trimethysilylethynyl)-2,1,3-benzothiadiazole 4a and 4,7-bis(ethynyl)-2,1,3-benzothiadiazole 4b, has been synthesised. Treatment of the complex trans-[Pt(Ph)(Cl)(Et3P)2] with half an equivalent of the diterminal alkynes 1b–4b in iPr2NH–CH2Cl2, in the presence of CuI, at room temperature, afforded the platinum(II) di-yne complexes trans-[(Et3P)2(Ph)Pt–C ≡ C–R–C ≡ C–Pt(Ph)(Et3P)2] [R = 1-(2-ethylhexyloxy)-4-methoxybenzene-2,5-diyl 1c, quninoline-5,8-diyl 2c, 2,3-diphenylquinoxaline-5,8-diyl 3c, 2,1,3-benzothiadiazole-4,7-diyl 4c] in good yields. The new acetylide-functionalised ligands and the platinum(II) s-acetylide complexes have been characterised by analytical and spectroscopic methods and X-ray single crystal structure determinations for 2c–4c. The absorption spectra of the complexes 2c–4c show substantial donor–acceptor interaction between the platinum(II) centres and the conjugated ligands. The photoluminescence spectra of 1c–3c show characteristic singlet (S1) and triplet (T1) emissions. Both the singlet and triplet emissions as well as the absorption decrease in energy with increasing electronegativity of the spacer groups along the series 1c–4c.A new series of rigid rod protected and terminal dialkynes with extended p-conjugation through aromatic and hetero-aromatic linker units in the backbone, 2,5-bis(trimethylsilylethynyl)-1-(2-ethylhexyloxy)-4-methoxybenzene 1a, 2,5-bis(ethynyl)-1-(2-ethylhexyloxy)-4-methoxybenzene 1b, 5,8-bis(trimethylsilylethynyl)quinoline 2a, 5,8-bis(ethynyl)quinoline 2b, 2,3-diphenyl-5,8-bis(trimethylsilylethynyl)quinoxaline 3a, 2,3-diphenyl-5,8-bis(ethynyl)quinoxaline 3b, 4,7-bis(trimethysilylethynyl)-2,1,3-benzothiadiazole 4a and 4,7-bis(ethynyl)-2,1,3-benzothiadiazole 4b, has been synthesised. Treatment of the complex trans-[Pt(Ph)(Cl)(Et3P)2] with half an equivalent of the diterminal alkynes 1b–4b in iPr2NH–CH2Cl2, in the presence of CuI, at room temperature, afforded the platinum(II) di-yne complexes trans-[(Et3P)2(Ph)Pt–C ≡ C–R–C ≡ C–Pt(Ph)(Et3P)2] [R = 1-(2-ethylhexyloxy)-4-methoxybenzene-2,5-diyl 1c, quninoline-5,8-diyl 2c, 2,3-diphenylquinoxaline-5,8-diyl 3c, 2,1,3-benzothiadiazole-4,7-diyl 4c] in good yields. The new acetylide-functionalised ligands and the platinum(II) s-acetylide complexes have been characterised by analytical and spectroscopic methods and X-ray single crystal structure determinations for 2c–4c. The absorption spectra of the complexes 2c–4c show substantial donor–acceptor interaction between the platinum(II) centres and the conjugated ligands. The photoluminescence spectra of 1c–3c show characteristic singlet (S1) and triplet (T1) emissions. Both the singlet and triplet emissions as well as the absorption decrease in energy with increasing electronegativity of the spacer groups along the series 1c–4c.
MS Khan, MRA Al-Mandhary, MK Al-Suti, TC Corcoran, Y Al-Mahrooqi, JP Attfield, N Feeder, WIF David, K Shankland, RH Friend, A Köhler, EA Marseglia, E Tedesco, CCTang, PR Raithby, JC Collings, KP Roscoe, AS Batsanov, LM Stimson, TB Marder
N. J. Chem. 27 (2003) 140-149 [DOI]
A series of 1,4-diethynylbenzene (1) derivatives, H–C ≡ C–R–C ≡ C–H with R = C6H3NH2 (2), C6H3F (3), C6H2F2-2,5 (4), C6F4 (5), C6H2(OCH3)2-2,5 (6) and C6H2(OnC8H17)2-2,5 (7) has been synthesised and their crystal structures determined by single crystal (2–5) or powder (6, 7) X-ray diffraction. The C ≡ CH · · · pC ≡ C hydrogen bonds dominating structure 1 are gradually replaced by C ≡ C–H · · · F ones with the increase of fluorination (3 → 5), or completely replaced by C ≡ CH · · · N and NH · · · pC ≡ C bonds in 2, and C ≡ CH · · · O in 6 and 7. The related platinum-based polymers, trans-[–Pt(PnBu3)2–C ≡ C–R–C ≡ C–]n (R = as above and C6H4,) have been prepared and characterised by spectroscopic methods and thermogravimetry, which show that the amino- and methoxy-derivatives have lowest thermal stability while the fluorinated ones exhibit increasing thermal stability with increasing fluorination. Optical spectroscopic measurements reveal that substituents on the aromatic spacer group do not create strong donor–acceptor interactions along the rigid backbone of the organometallic polymers.A series of 1,4-diethynylbenzene (1) derivatives, H–C ≡ C–R–C ≡ C–H with R = C6H3NH2 (2), C6H3F (3), C6H2F2-2,5 (4), C6F4 (5), C6H2(OCH3)2-2,5 (6) and C6H2(OnC8H17)2-2,5 (7) has been synthesised and their crystal structures determined by single crystal (2–5) or powder (6, 7) X-ray diffraction. The C ≡ CH · · · pC ≡ C hydrogen bonds dominating structure 1 are gradually replaced by C ≡ C–H · · · F ones with the increase of fluorination (3 → 5), or completely replaced by C ≡ CH · · · N and NH · · · pC ≡ C bonds in 2, and C ≡ CH · · · O in 6 and 7. The related platinum-based polymers, trans-[–Pt(PnBu3)2–C ≡ C–R–C ≡ C–]n (R = as above and C6H4,) have been prepared and characterised by spectroscopic methods and thermogravimetry, which show that the amino- and methoxy-derivatives have lowest thermal stability while the fluorinated ones exhibit increasing thermal stability with increasing fluorination. Optical spectroscopic measurements reveal that substituents on the aromatic spacer group do not create strong donor–acceptor interactions along the rigid backbone of the organometallic polymers.
MS Khan, MRA Al-Mandhary, MK Al-Suti, B Ahrens, MF Mahon, L Male, PR Raithby, CE Boothby, A Köhler
J. Chem. Soc., Dalton Trans., (2003) 74-84. [DOI]
A series of trimethylsilyl-protected and terminal mono- and bis-alkynes based on 9,9-dioctylfluorene, 2-(trimethylsilylethynyl)-9,9-dioctylfluorene 1a, 2-ethynyl-9,9-dioctylfluorene 1b, 2,7-bis(trimethylsilylethynyl)-9,9-dioctylfluorene 2a, 2,7-bis(ethynyl)-9,9-dioctylfluorene 2b, have been synthesised. Reaction of trans-[(PnBu3)2PtCl2] with 2 equivalents of the terminal ethyne 1b yields the mononuclear platinum(II) diyne 3, reaction of trans-[(Ph)(Et3P)2PtCl] with 0.5 equivalents of the diterminal ethyne 2b gives the dinuclear platinum(II) diyne 4 while 1 : 1 reaction between trans-[(PnBu3)2PtCl2] and 2b gives the platinum(II) poly-yne 5. Treatment of 2,5-dioctyloxy-1,4-diiodobenzene with 1b in 1 : 2 stoichiometry produces the organic di-yne 6 while 1 : 1 reaction between 2,5-dioctyloxy-1,4-diiodobenzene and 2b, 2,7-bis(ethynyl)fluorene or 2,7-bis(ethynyl)fluoren-9-one produces the organic co-poly-ynes 7–9. All the new materials have been characterised by analytical and spectroscopic methods and the single crystal X-ray structures of 2a and 3 have been determined. The diynes and poly-ynes are soluble in organic solvents and are readily cast into thin films. Optical spectroscopic measurements reveal that the attachment of octyl side-chains on the fluorenyl spacer reduces inter-chain interaction in the poly-ynes while a fluorenonyl spacer creates a donor–acceptor interaction along the rigid backbone of the organometallic poly-ynes and organic co-poly-ynes.
A Köhler, JS Wilson, RH Friend
Adv. Mater. 14 (2002) 701-707 and Advanced Engineering Materials 4 (2002) 453-459. [DOI]
Progress reports are a new type of article in Advanced Engineering Materials, dealing with the hottest current topics, and providing readers with a critically selected overview of important progress in these fields. It is not intended that the articles be comprehensive, but rather insightful, selective, critical, opinionated, and even visionary. We have approached scientists we believe are at the very forefront of these fields to contribute the articles, which will appear on an annual basis. The article below describes the latest advances in fluorescence and phosphorescence in organic materials.Progress reports are a new type of article in Advanced Engineering Materials, dealing with the hottest current topics, and providing readers with a critically selected overview of important progress in these fields. It is not intended that the articles be comprehensive, but rather insightful, selective, critical, opinionated, and even visionary. We have approached scientists we believe are at the very forefront of these fields to contribute the articles, which will appear on an annual basis. The article below describes the latest advances in fluorescence and phosphorescence in organic materials.
A Köhler, JS Wilson, RH Friend, MK Al-Suti, MS Khan, A Gerhard, H Bässler
J. Chem. Phys. 116 (2002) 9457-9463. [DOI]
We have studied the evolution of the T1 triplet excited state in an extensive series of phenylene ethynylene polymers and monomers with platinum atoms in the polymer backbone and in an analogous series of all-organic polymers with the platinum(II) tributylphosphonium complex replaced by phenylene. The inclusion of platinum increases spin–orbit coupling so T1 state emission (phosphorescence) is easier to detect. For both, the platinum-containing polymer series and for the all-organic polymers, we find the T1 state to be at a constant separation of 0.7±0.1 eV below the singlet S1 state. It is not possible to change this singlet–triplet splitting by altering the size or the charge-transfer character of the polymer repeat unit or by changing the electron delocalization along the polymer backbone. The S1–T1 gap can be increased by confining the S1 state in oligomers and monomers.We have studied the evolution of the T1 triplet excited state in an extensive series of phenylene ethynylene polymers and monomers with platinum atoms in the polymer backbone and in an analogous series of all-organic polymers with the platinum(II) tributylphosphonium complex replaced by phenylene. The inclusion of platinum increases spin–orbit coupling so T1 state emission (phosphorescence) is easier to detect. For both, the platinum-containing polymer series and for the all-organic polymers, we find the T1 state to be at a constant separation of 0.7±0.1 eV below the singlet S1 state. It is not possible to change this singlet–triplet splitting by altering the size or the charge-transfer character of the polymer repeat unit or by changing the electron delocalization along the polymer backbone. The S1–T1 gap can be increased by confining the S1 state in oligomers and monomers.
MS Khan, MRA Al-Mandhary, M Al-Suti, N Feeder, S Nahar, A Köhler, RH Friend, PJ Wilson, PR Raithby
J. Chem. Soc., Dalton Trans. (2002) 2441-2448. [DOI]
The synthesis and characterisation of a series of novel poly-yne polymers, trans-[–(PnBu3)2Pt(C ≡ C–L–C ≡ C)-]n (L = 2-(2′-thienyl)-pyridine (L1), 2,5-bis(2′-thienyl)pyridine (L2), 6,6′-bis(2?-thienyl)-3,3′-bipyridine (L3)), and the corresponding platinum dimers trans-[(PEt3)2(Ph)Pt(C ≡ CLC ≡ C)Pt(Ph)(PEt3)2] are described. The dimers were prepared by the reaction of two equivalents of trans-[Pt(PEt3)2(Ph)Cl] with one equivalent of the diterminal diyne HC ≡ C–L–C ≡ CH, in CuI catalysed dehydrohalogenation reactions in CH2Cl2–Pri2NH, while the polymers are obtained similarly from the diyne and one equivalent of trans-[Pt(PnBu3)2Cl2]. The optical absorption and photoluminescence spectra of the polymers with L1 and L2 linker groups are reported. The optical gaps are 465 nm (2.67 eV) and 486 nm (2.55 eV), respectively. The photoluminescence spectrum for each polymer exhibits one band at room temperature. At 10 K, low-energy emission bands emerge which are attributed to emission from the triplet excited state. The results of these studies are compared with those obtained for other platinum-containing poly-yne and related organometallic polymers.The synthesis and characterisation of a series of novel poly-yne polymers, trans-[–(PnBu3)2Pt(C ≡ C–L–C ≡ C)-]n (L = 2-(2′-thienyl)-pyridine (L1), 2,5-bis(2′-thienyl)pyridine (L2), 6,6′-bis(2?-thienyl)-3,3′-bipyridine (L3)), and the corresponding platinum dimers trans-[(PEt3)2(Ph)Pt(C ≡ CLC ≡ C)Pt(Ph)(PEt3)2] are described. The dimers were prepared by the reaction of two equivalents of trans-[Pt(PEt3)2(Ph)Cl] with one equivalent of the diterminal diyne HC ≡ C–L–C ≡ CH, in CuI catalysed dehydrohalogenation reactions in CH2Cl2–Pri2NH, while the polymers are obtained similarly from the diyne and one equivalent of trans-[Pt(PnBu3)2Cl2]. The optical absorption and photoluminescence spectra of the polymers with L1 and L2 linker groups are reported. The optical gaps are 465 nm (2.67 eV) and 486 nm (2.55 eV), respectively. The photoluminescence spectrum for each polymer exhibits one band at room temperature. At 10 K, low-energy emission bands emerge which are attributed to emission from the triplet excited state. The results of these studies are compared with those obtained for other platinum-containing poly-yne and related organometallic polymers.
MS Khan, MRA Al-Mandhary, MK Al-Suti, AK Hisahm, PR Raithby, B Ahrens, MF Mahon, L Male, EA Marseglia, E Tedesco, RH Friend, A Köhler, N Feeder, SJ Teat
J. Chem. Soc., Dalton Trans. (2002) 1358-1368. [DOI]
A series of trimethylsilyl-protected bis(ethynyl)oligopyridine derivatives Me3SiC ≡ C–R–C ≡ C–SiMe3 (R = 2,2′-bipyridine-5,5′-diyl (1a), 2,2′-bipyridine-6,6′-diyl (2a), 2,2′:6′,2?-terpyridine-6,6?-diyl (3a), 4′-phenyl-2,2′:6′,2?-terpyridine-6,6?-diyl (4a)) has been synthesised and 2a–4a have been characterised by single crystal X-ray crystallography. The corresponding terminal di-ynes H–C ≡ C–R–C ≡ CH (1b–4b) and their dinuclear platinum(II) complexes trans-[(Et3P)2(Ph)Pt–C ≡ C–R–C ≡ C–Pt(Ph)(Et3P)2] (1M–4M) have been characterised spectroscopically and by single-crystal X-ray crystallography for 2M. Novel platinum(II) poly-yne polymers trans-[Pt(PBun3)2–C ≡ C–R–C ≡ C–]n (1P–4P) containing the oligopyridyl linker groups in the backbone have been synthesised by the CuI-catalysed dehydrohalogenation polycondensation reaction of 1b–4b and trans-[(Bu3P)2PtCl2] in Pri2NH–CH2Cl2. The polymeric materials exhibit decreasing thermal stability with increasing number of pyridine units in the linker group. In the absorption and phosphorescence spectra, the platinum(II) poly-yne and di-yne complexes 1P, 1M show red shifts whereas the complexes 2P–3P, 2M–3M show blue shifts of the S1 and T1 states. At room temperature, the phosphoresence spectra indicate some excimer formation whereas at 10 K, only intra-chain emission occurs. The results of the photophysical studies are compared with those obtained for other platinum(II)-containing poly-ynes and related organometallic polymers.A series of trimethylsilyl-protected bis(ethynyl)oligopyridine derivatives Me3SiC ≡ C–R–C ≡ C–SiMe3 (R = 2,2′-bipyridine-5,5′-diyl (1a), 2,2′-bipyridine-6,6′-diyl (2a), 2,2′:6′,2?-terpyridine-6,6?-diyl (3a), 4′-phenyl-2,2′:6′,2?-terpyridine-6,6?-diyl (4a)) has been synthesised and 2a–4a have been characterised by single crystal X-ray crystallography. The corresponding terminal di-ynes H–C ≡ C–R–C ≡ CH (1b–4b) and their dinuclear platinum(II) complexes trans-[(Et3P)2(Ph)Pt–C ≡ C–R–C ≡ C–Pt(Ph)(Et3P)2] (1M–4M) have been characterised spectroscopically and by single-crystal X-ray crystallography for 2M. Novel platinum(II) poly-yne polymers trans-[Pt(PBun3)2–C ≡ C–R–C ≡ C–]n (1P–4P) containing the oligopyridyl linker groups in the backbone have been synthesised by the CuI-catalysed dehydrohalogenation polycondensation reaction of 1b–4b and trans-[(Bu3P)2PtCl2] in Pri2NH–CH2Cl2. The polymeric materials exhibit decreasing thermal stability with increasing number of pyridine units in the linker group. In the absorption and phosphorescence spectra, the platinum(II) poly-yne and di-yne complexes 1P, 1M show red shifts whereas the complexes 2P–3P, 2M–3M show blue shifts of the S1 and T1 states. At room temperature, the phosphoresence spectra indicate some excimer formation whereas at 10 K, only intra-chain emission occurs. The results of the photophysical studies are compared with those obtained for other platinum(II)-containing poly-ynes and related organometallic polymers.
JS Wilson, AS Dhoot, AJAB Seeley, MS Khan, A Köhler, RH Friend
Nature 413 (2001) 828-831. [DOI]
The efficiency of light-emitting diodes (LEDs) made from organic semiconductors is determined by the fraction of injected electrons and holes that recombine to form emissive spin-singlet states rather than non-emissive spin-triplet states. If the process by which these states form is spin-independent, the maximum efficiency of organic LEDs will be limited to 25 per cent1. But recent reports have indicated fractions of emissive singlet states ranging from 22 to 63 per cent2±5, and the reason for this variation remains unclear. Here we determine the absolute fraction of singlet states generated in a platinum-containing conjugated polymer and its corresponding monomer. The spin-orbit coupling introduced by the platinum atom allows triplet-state emission, so optically and electrically generated luminescence from both singlet and triplet states can be compared directly.We find an average singlet generation fraction of 22 6 1 per cent for the monomer, but 57 6 4 per cent for the polymer. This suggests that recombination is spin-independent for the monomer, but that a spin-dependent process, favouring singlet formation, is effective in the polymer. We suggest that this process is a consequence of the exchange interaction, which will operate on overlapping electron and hole wavefunctions on the same polymer chain at their capture radius.The efficiency of light-emitting diodes (LEDs) made from organic semiconductors is determined by the fraction of injected electrons and holes that recombine to form emissive spin-singlet states rather than non-emissive spin-triplet states. If the process by which these states form is spin-independent, the maximum efficiency of organic LEDs will be limited to 25 per cent1. But recent reports have indicated fractions of emissive singlet states ranging from 22 to 63 per cent2±5, and the reason for this variation remains unclear. Here we determine the absolute fraction of singlet states generated in a platinum-containing conjugated polymer and its corresponding monomer. The spin-orbit coupling introduced by the platinum atom allows triplet-state emission, so optically and electrically generated luminescence from both singlet and triplet states can be compared directly.We find an average singlet generation fraction of 22 6 1 per cent for the monomer, but 57 6 4 per cent for the polymer. This suggests that recombination is spin-independent for the monomer, but that a spin-dependent process, favouring singlet formation, is effective in the polymer. We suggest that this process is a consequence of the exchange interaction, which will operate on overlapping electron and hole wavefunctions on the same polymer chain at their capture radius.
JS Wilson, N Chawdhury, MRA Al-Mandhary, M Younus, MS Khan, PR Raithby, A Köhler, RH Friend
J. Am. Chem. Soc. 123 (2001) 9412-9417. [DOI]
The energy gap law established for aromatic hydrocarbons and rare earth ions relates the nonradiative decay rate to the energy gap of a transition through a multiphonon emission process. We show that this energy gap law can be applied to the phosphoresce of a series of conjugated polymers and monomers for which the radiative decay rate has been enhanced through incorporation of a heavy metal. We find that the nonradiative decay rate from the triplet state T1increases exponentially with decreasing T1-S0 gap for the polymers and monomers at 300 and 20 K. Comparison of the nonradiative decay of polymers with that of their corresponding monomers highlights the role of electron-lattice coupling.
The energy gap law established for aromatic hydrocarbons and rare earth ions relates the nonradiative decay rate to the energy gap of a transition through a multiphonon emission process. We show that this energy gap law can be applied to the phosphoresce of a series of conjugated polymers and monomers for which the radiative decay rate has been enhanced through incorporation of a heavy metal. We find that the nonradiative decay rate from the triplet state T1increases exponentially with decreasing T1-S0 gap for the polymers and monomers at 300 and 20 K. Comparison of the nonradiative decay of polymers with that of their corresponding monomers highlights the role of electron-lattice coupling.
JS Wilson, A Köhler, RH Friend, MK Al-Suti, MRA Al-Mandhary, MS Khan, PR Raithby
J. Chem. Phys. 113 (2000) 7627-7634. [DOI]
By use of optical steady state and time resolved spectroscopy, we studied the evolution of the triplet excited state in a series of six ethynylenic polymers of the structure [-Pt(PBu3n)2 -C ≡ C-R-C ≡ C-]n where the spacer unit R is systematically varied to give optical gaps from 1.7–3.0 eV. The inclusion of platinum in the polymer backbone induces a strong spin-orbit coupling such that triplet state emission (phosphorescence) associated with the conjugated system can be detected. Throughout the series we find the S1-T1 (singlet-triplet) energy splitting to be independent of the spacer R, such that the T1 state is always 0.7±0.1?eV below the S1 state. With decreasing optical gap, the intensity and lifetime of the triplet state emission were seen to reduce in accordance with the energy gap law.
By use of optical steady state and time resolved spectroscopy, we studied the evolution of the triplet excited state in a series of six ethynylenic polymers of the structure [-Pt(PBu3n)2 -C ≡ C-R-C ≡ C-]n where the spacer unit R is systematically varied to give optical gaps from 1.7–3.0 eV. The inclusion of platinum in the polymer backbone induces a strong spin-orbit coupling such that triplet state emission (phosphorescence) associated with the conjugated system can be detected. Throughout the series we find the S1-T1 (singlet-triplet) energy splitting to be independent of the spacer R, such that the T1 state is always 0.7±0.1?eV below the S1 state. With decreasing optical gap, the intensity and lifetime of the triplet state emission were seen to reduce in accordance with the energy gap law.
N Chawdhury, A Köhler, RH Friend, W-Y Wong, M Younus, PR Raithby, J Lewis, MRA Al-Mandhury, YC Corcoran, MS Khan
J. Chem. Phys. 110 (1999) 4963-4970. [DOI]
Soluble, rigid-rod organometallic polymers trans-[-Pt(PBu3n)2–C ≡ C–R–C ≡ C–]8 (R ≡ bithienyl 2, terthienyl 3) have been synthesized in good yields by the CuI-catalyzed dehydrohalogenation reaction of trans-[-Pt(PBu3n)2Cl2] with one equivalent of the diterminal alkynyl oligothiophenes H–C ≡ C–R–C ≡ C–H in CH2Cl2/iPr2NH at room temperature. We report the thermal properties, and the optical absorption, photoluminescence, and photocurrent action spectra of 1 (trans-[–Pt(PBu3n)2–C ≡ C–R–C ≡ C–]8, R ≡ thienyl), 2 and 3 as a function of the number of thiophene rings within the bridging ligand. With increasing thiophene content, the optical gap is reduced and the vibronic structure of the singlet emission changes toward that typical for oligothiophenes. We also find the intersystem crossing from the singlet excited state to the triplet excited state to become reduced, while the singlet–triplet energy gap remains unaltered. The latter implies that, in these systems, the T1 triplet excited state is extended over several thiophene rings. The photoconducting properties do not depend on the size of the thiophene fragment. We discuss and compare our results with studies on oligothiophenes and related organometallic polymers.
Soluble, rigid-rod organometallic polymers trans-[-Pt(PBu3n)2–C ≡ C–R–C ≡ C–]8 (R ≡ bithienyl 2, terthienyl 3) have been synthesized in good yields by the CuI-catalyzed dehydrohalogenation reaction of trans-[-Pt(PBu3n)2Cl2] with one equivalent of the diterminal alkynyl oligothiophenes H–C ≡ C–R–C ≡ C–H in CH2Cl2/iPr2NH at room temperature. We report the thermal properties, and the optical absorption, photoluminescence, and photocurrent action spectra of 1 (trans-[–Pt(PBu3n)2–C ≡ C–R–C ≡ C–]8, R ≡ thienyl), 2 and 3 as a function of the number of thiophene rings within the bridging ligand. With increasing thiophene content, the optical gap is reduced and the vibronic structure of the singlet emission changes toward that typical for oligothiophenes. We also find the intersystem crossing from the singlet excited state to the triplet excited state to become reduced, while the singlet–triplet energy gap remains unaltered. The latter implies that, in these systems, the T1 triplet excited state is extended over several thiophene rings. The photoconducting properties do not depend on the size of the thiophene fragment. We discuss and compare our results with studies on oligothiophenes and related organometallic polymers.
N Chauwdhury, A Köhler, MG Harrison, DH Hwang, AB Holmes, RH Friend
Synth. Met. 102 (1999) 871-872. [DOI]
Photocurrent (PC) and current-voltage measurements were taken on MEH-PPV [poly(2-methoxy-5-(2′-ethyl-hexyloxy)-paraphenylene vinylene] in an as-made photocell, ITO / MEH-PPV (265 nm) / Al, in the photocell under ambient air, under a mixture of oxygen + nitrogen, and in vacuum after annealing. We discuss the different spectral responses and current-voltage characteristics obtained for the different atmospheres.
Photocurrent (PC) and current-voltage measurements were taken on MEH-PPV [poly(2-methoxy-5-(2′-ethyl-hexyloxy)-paraphenylene vinylene] in an as-made photocell, ITO / MEH-PPV (265 nm) / Al, in the photocell under ambient air, under a mixture of oxygen + nitrogen, and in vacuum after annealing. We discuss the different spectral responses and current-voltage characteristics obtained for the different atmospheres.
A Köhler, M Younus, MRA Al-Mandhary, PR Raithby, MS Khan, RH Friend
Synth. Met. 101 (1999) 246-247. [DOI]
We compare the spectroscopic properties of donor-acceptor type poly-ynes of the type [D-C=C-A-C=C-]n with a fluorine-substituted phenylene or a thieno-pyrazine unit as acceptor, and platinum or alkoxy-substituted phenylene as donor.
We compare the spectroscopic properties of donor-acceptor type poly-ynes of the type [D-C=C-A-C=C-]n with a fluorine-substituted phenylene or a thieno-pyrazine unit as acceptor, and platinum or alkoxy-substituted phenylene as donor.
A Köhler, DAd Santos, D Beljonne, Z Shuai, J-L Brédas, RH Friend, AB Holmes, A Kraus, K Müllen
Nature 392 (1998) 903-906. [DOI]
Conjugated polymers such as poly(p-phenylene vinylene)s (PPVs) allow low-cost fabrication of thin semiconducting films by solution processing onto substrates. Several polymeric optoelectronic devices have been developed in recent years, including field-effect transistors, light-emitting diodes, photocells and lasers. It is still not clear, however, whether the description of electronic excitations in these materials is most appropriately formulated within a molecular or semiconductor (band-theory) picture. In the former case, excited states are localized and are described as excitons; in the latter they are delocalized and described as free electron–hole pairs. Here we report studies of the electronic states associated with optical excitations in the visible and ultraviolet range for the conjugated polymer poly(2-methoxy-5-(2′-ethyl-hexyloxy)-p-phenylene vinylene) (MEH-PPV), by means of photocurrent measurements and quantum-chemical calculations. We find several photocurrent spectral features between 3 and 5 eV which are coupled with bands in the absorption spectrum. On modelling the excited states in this energy range, we have discovered an important feature that is likely to be general for materials composed of coupled molecular units: that mixing of delocalized conduction- and valence-band states with states localized on the molecular units produces a sequence of excited states in which positive and negative charges can be separated further at higher energies. In other words, these excited states facilitate charge separation, and provide a conceptual bridge between the molecular (localized) and semiconductor (delocalized) pictures.
Conjugated polymers such as poly(p-phenylene vinylene)s (PPVs) allow low-cost fabrication of thin semiconducting films by solution processing onto substrates. Several polymeric optoelectronic devices have been developed in recent years, including field-effect transistors, light-emitting diodes, photocells and lasers. It is still not clear, however, whether the description of electronic excitations in these materials is most appropriately formulated within a molecular or semiconductor (band-theory) picture. In the former case, excited states are localized and are described as excitons; in the latter they are delocalized and described as free electron–hole pairs. Here we report studies of the electronic states associated with optical excitations in the visible and ultraviolet range for the conjugated polymer poly(2-methoxy-5-(2′-ethyl-hexyloxy)-p-phenylene vinylene) (MEH-PPV), by means of photocurrent measurements and quantum-chemical calculations. We find several photocurrent spectral features between 3 and 5 eV which are coupled with bands in the absorption spectrum. On modelling the excited states in this energy range, we have discovered an important feature that is likely to be general for materials composed of coupled molecular units: that mixing of delocalized conduction- and valence-band states with states localized on the molecular units produces a sequence of excited states in which positive and negative charges can be separated further at higher energies. In other words, these excited states facilitate charge separation, and provide a conceptual bridge between the molecular (localized) and semiconductor (delocalized) pictures.
M Younus, A Köhler, S Cron, N Chawdhury, MRA Al-Mandhary, MS Khan, J Lewis, NJ Long, RH Friend, PR Raithby
Angew. Chemie, Internat. Ed. 37 (1998) 3036-3039 [DOI]
The smallest band gap observed so far (1.77 eV) for an organometallic polymer is exhibited by the blue, rigid-rod polymer 2, which is prepared by the reaction of trans-[PtCl2(PnBu3)2] with one equivalent of 1.
The smallest band gap observed so far (1.77 eV) for an organometallic polymer is exhibited by the blue, rigid-rod polymer 2, which is prepared by the reaction of trans-[PtCl2(PnBu3)2] with one equivalent of 1.
N Chauwdhury, A Köhler, RH Friend, M Younus, NJ Long, PR Raithby, J Lewis
Macromolecules 31 (1998) 722-727. [DOI]
We have studied the dependence of intersystem crossing and the spatial extent of singlet and triplet excitons in platinum-containing poly-yne polymers with the general formula [Pt(PR3)2C ≡ CLC ≡ C]n (R = Et, nBu; L = pyridine, phenylene, or thiophene) as a function of electron delocalization in the spacer group L. We also report the synthesis route of those compounds. The optical absorption, photoluminescence, and photoinduced absorption of the corresponding polymers and monomers have been measured. We find that conjugation is increased but intersystem crossing is reduced by the electron-rich thiophene unit, while the opposite occurs for the electron-deficient pyridine unit as compared to the phenylene unit. For all investigated systems, we find that the singlet excited state and a higher lying Tn triplet excited state extend over more than a repeat unit while the T1 triplet state remains localized to less then one repeat unit.
We have studied the dependence of intersystem crossing and the spatial extent of singlet and triplet excitons in platinum-containing poly-yne polymers with the general formula [Pt(PR3)2C ≡ CLC ≡ C]n (R = Et, nBu; L = pyridine, phenylene, or thiophene) as a function of electron delocalization in the spacer group L. We also report the synthesis route of those compounds. The optical absorption, photoluminescence, and photoinduced absorption of the corresponding polymers and monomers have been measured. We find that conjugation is increased but intersystem crossing is reduced by the electron-rich thiophene unit, while the opposite occurs for the electron-deficient pyridine unit as compared to the phenylene unit. For all investigated systems, we find that the singlet excited state and a higher lying Tn triplet excited state extend over more than a repeat unit while the T1 triplet state remains localized to less then one repeat unit.
RH Friend, GJ Denton, JJM Halls, NT Harrisson, AB Holmes, A Köhler, A Lux, SC Moratti, K Pichler, N Tessler, K Towns, HF Wittmann
Solid State Commun. 102 (1997) 249-258. [DOI]
We report progress in the processing and application of poly(phenylene vinylene), PPV, as the emissive layer in electroluminescent diodes, LEDs. Photoluminescence efficiencies above 60% for solid films of PPV are now achieved and single-layer EL diodes achieve luminous efficiencies above 2 Lumen W-1 and peak brightnesses up to 90 000 cd m-2. We discuss measurements of photoconductivity, photovoltaic response, photoluminescence excitation spectra and stimulated emission in films of PPV. We consider that the photoexcited state in these films of PPV is the intrachain singlet exciton. We demonstrate that PPV of this type can show stimulated emission in sub-picosecond pump-probe experiments and can be used as the active lasing medium when incorporated in suitable microcavity structures.
We report progress in the processing and application of poly(phenylene vinylene), PPV, as the emissive layer in electroluminescent diodes, LEDs. Photoluminescence efficiencies above 60% for solid films of PPV are now achieved and single-layer EL diodes achieve luminous efficiencies above 2 Lumen W-1 and peak brightnesses up to 90 000 cd m-2. We discuss measurements of photoconductivity, photovoltaic response, photoluminescence excitation spectra and stimulated emission in films of PPV. We consider that the photoexcited state in these films of PPV is the intrachain singlet exciton. We demonstrate that PPV of this type can show stimulated emission in sub-picosecond pump-probe experiments and can be used as the active lasing medium when incorporated in suitable microcavity structures.
A Köhler, DAd Santos, D Beljonne, Z Shuai, J-L Brédas, RH Friend, SC Moratti, AB Holmes
Synth. Met. 84 (1997) 675-676. [DOI]
We present photocurrent measurements of poly(p-phenylene vinylene) (PPV) and derivatives for photon energies up to 5.0 eV. We observe photocurrent peaks related to the first, second and third absorption peaks, which we associate with the dissociation of a succession of increasingly energetic excitons. We have performed INDO/SCI calculations for the five-ring PPV oligomer, which show different distributions of the electronic charge of the exciton wavefunction over the chain at different excitation energies. We discuss the significance of these states for the photoconduction in PPV and question the applicability of a band-based model.
We present photocurrent measurements of poly(p-phenylene vinylene) (PPV) and derivatives for photon energies up to 5.0 eV. We observe photocurrent peaks related to the first, second and third absorption peaks, which we associate with the dissociation of a succession of increasingly energetic excitons. We have performed INDO/SCI calculations for the five-ring PPV oligomer, which show different distributions of the electronic charge of the exciton wavefunction over the chain at different excitation energies. We discuss the significance of these states for the photoconduction in PPV and question the applicability of a band-based model.
RH Friend, GJ Denton, JJM Halls, NT Harrisson, AB Holmes, A Köhler, A Lux, SC Moratti, K Pichler, N Tessler, K Towns, HF Wittmann
Synth. Met. 84 (1997) 463-470. [DOI]
We report progress in the processing and application of poly(phenylene vinylene), PPV, as the emissive layer in electroluminescent diodes, LEDs. Photoluminescence efficiencies above 60% for solid films of PPV are now achieved, and single-layer EL diodes achieve luminous efficiencies above 2 Lumens/W and peak brightnesses up to 90,000 cd/m2. We demonstrate that PPV of this type can show stimulated emission in sub-picosecond pump-probe experiments, and can be used as the active lasing medium when incorporated in suitable microcavity structures.
We report progress in the processing and application of poly(phenylene vinylene), PPV, as the emissive layer in electroluminescent diodes, LEDs. Photoluminescence efficiencies above 60% for solid films of PPV are now achieved, and single-layer EL diodes achieve luminous efficiencies above 2 Lumens/W and peak brightnesses up to 90,000 cd/m2. We demonstrate that PPV of this type can show stimulated emission in sub-picosecond pump-probe experiments, and can be used as the active lasing medium when incorporated in suitable microcavity structures.
D Beljonne, HF Wittmann, A Köhler, S Graham, M Younus, J Lewis, PR Raithby, MS Khan, RH Friend, JL Brédas
J. Chem. Phys. 105 (1996) 3868-3877. [DOI]
We present a joint experimental and theoretical investigation of the electronic excitations in transition metal-containing phenylene ethynylenes. The influence of the metal on the nature of the lowest singlet and triplet excited states is characterized. We find that p conjugation occurs through the metal sites, which deeply modifies the optical properties of the conjugated chains. We also analyze the chain-length dependence of the singlet–singlet, S0?S1, singlet–triplet, S0?T1, and triplet–triplet, T1?Tn, transition energies; both experimental data and theoretical results indicate that the lowest triplet exciton, T1, is strongly localized on a single phenylene ring while the S1 and Tn states extend over a few repeating units. Finally, we estimate the geometric relaxation phenomena occurring in the lowest excited states and perform a Huang–Rhys analysis of the triplet emission spectrum in model systems.
We present a joint experimental and theoretical investigation of the electronic excitations in transition metal-containing phenylene ethynylenes. The influence of the metal on the nature of the lowest singlet and triplet excited states is characterized. We find that p conjugation occurs through the metal sites, which deeply modifies the optical properties of the conjugated chains. We also analyze the chain-length dependence of the singlet–singlet, S0?S1, singlet–triplet, S0?T1, and triplet–triplet, T1?Tn, transition energies; both experimental data and theoretical results indicate that the lowest triplet exciton, T1, is strongly localized on a single phenylene ring while the S1 and Tn states extend over a few repeating units. Finally, we estimate the geometric relaxation phenomena occurring in the lowest excited states and perform a Huang–Rhys analysis of the triplet emission spectrum in model systems.
A Köhler, HF Wittmann, RH Friend, MS Khan, J Lewis
Synth. Met. 77 (1996) 147-150. [DOI]
We report photocurrent and photoluminescence measurements on blends of the organometallic polymer Pt-poly-yne and C60. Due to efficient intersystem crossing, triplet excitons with a binding energy of at least 0.8 eV are created after photoexcitation of Pt-poly-yne. We find that electrons are transferred from Pt-poly-yne onto C60 by efficient ionization of the triplet exciton. This process gives rise to a photocurrent quantum yield of up to 1–2% in photocells fabricated in a layer structure of indium-tin oxide (ITO)/Pt-poly-yne and 7 wt.% C60/aluminium. Evidence for the ionization of the strongly bound triplet excitons is provided by studies of luminescence in the blends. There is only partial quenching of the singlet emission band, but complete quenching of the triplet emission band, and the lifetime of the triplet emission at room temperature is reduced from 2 to 0.1 µs upon addition of 7 wt.% C60.
We report photocurrent and photoluminescence measurements on blends of the organometallic polymer Pt-poly-yne and C60. Due to efficient intersystem crossing, triplet excitons with a binding energy of at least 0.8 eV are created after photoexcitation of Pt-poly-yne. We find that electrons are transferred from Pt-poly-yne onto C60 by efficient ionization of the triplet exciton. This process gives rise to a photocurrent quantum yield of up to 1–2% in photocells fabricated in a layer structure of indium-tin oxide (ITO)/Pt-poly-yne and 7 wt.% C60/aluminium. Evidence for the ionization of the strongly bound triplet excitons is provided by studies of luminescence in the blends. There is only partial quenching of the singlet emission band, but complete quenching of the triplet emission band, and the lifetime of the triplet emission at room temperature is reduced from 2 to 0.1 µs upon addition of 7 wt.% C60.
R Cervini, AB Holmes, SC Moratti, A Köhler, RH Friend
Synth. Met. 76 (1996) 169-171. [DOI]
Results are presented which explore the synthesis, characterization and photoluminescence of new types of conjugated copolymers which incorporate fused thiophene units. Such materials possess intense purple-red colours and some absorb in the near-infrared. The redox processes showed that the polymers were both p- and n-dopable.Results are presented which explore the synthesis, characterization and photoluminescence of new types of conjugated copolymers which incorporate fused thiophene units. Such materials possess intense purple-red colours and some absorb in the near-infrared. The redox processes showed that the polymers were both p- and n-dopable.
A Köhler, J Gruener, RH Friend, K Müllen, U Scherf
Chem. Phys. Lett. 243 (1995) 456-461. [DOI]
We report measurements of the photovoltaic effect on single layer devices made with a ladder-type poly-(paraphenylene) (LPPP). Besides the photocurrent in the blue spectral range associated with p to p* intra-chain absorption we observe an additional response in the yellow part of the spectrum centered at 2.25 eV. We also observe a weak absorption feature at the same energy, and we consider that both arise from absorption into p electron states formed over several aggregated polymer chains. The photocurrent due to excitation of these states is enhanced by two orders of magnitude compared to blue excitation and vanishes under reverse bias (i.e. ITO negative). We find that the photocurrent response due to the aggregate states is more sensitive to oxygen exposure than the response due to intra-chain absorption.We report measurements of the photovoltaic effect on single layer devices made with a ladder-type poly-(paraphenylene) (LPPP). Besides the photocurrent in the blue spectral range associated with p to p* intra-chain absorption we observe an additional response in the yellow part of the spectrum centered at 2.25 eV. We also observe a weak absorption feature at the same energy, and we consider that both arise from absorption into p electron states formed over several aggregated polymer chains. The photocurrent due to excitation of these states is enhanced by two orders of magnitude compared to blue excitation and vanishes under reverse bias (i.e. ITO negative). We find that the photocurrent response due to the aggregate states is more sensitive to oxygen exposure than the response due to intra-chain absorption.
A Köhler, HF Wittmann, RH Friend, MS Khan, J Lewis
Synth. Met. 67 (1994) 245-249 [DOI]
We have carried out measurements of the photovoltaic effect in a platinum-containing poly-yne. A photocell was fabricated with the platinum poly-yne sandwiched between indium-tin oxide (ITO) and aluminium electrodes. A strong photoresponse was seen at the threshold of the singlet exciton absorption near 3.2 eV, with a quantum yield for carrier generation of up to 0.6%. This is comparable to that found in similar devices made with poly(phenylenevinylene) (PPV). It is known that the presence of the platinum atom gives very efficient crossover from singlet to triplet exciton, and we discuss here the effect of triplet excitons on the photogeneration of charge carriers. We also analyse the spectral response of the photocurrent in terms of charge carrier ranges.We have carried out measurements of the photovoltaic effect in a platinum-containing poly-yne. A photocell was fabricated with the platinum poly-yne sandwiched between indium-tin oxide (ITO) and aluminium electrodes. A strong photoresponse was seen at the threshold of the singlet exciton absorption near 3.2 eV, with a quantum yield for carrier generation of up to 0.6%. This is comparable to that found in similar devices made with poly(phenylenevinylene) (PPV). It is known that the presence of the platinum atom gives very efficient crossover from singlet to triplet exciton, and we discuss here the effect of triplet excitons on the photogeneration of charge carriers. We also analyse the spectral response of the photocurrent in terms of charge carrier ranges.